请点击上方蓝色字体“邹生书数学”,订阅本微信公众号;
请点击右上角的“…”,发送给朋友或分享到朋友圈。
公众号“邹生书数学”创建于2018年8月28日。
开号宗旨:为热爱学习和研究的高中数学教师和教研员搭建学习交流平台,提升教学能力,促进专业发展。本公众号致力传播数学文化,发表教研成果,交流教学经验,探讨数学问题,展示解题方法,分享教学资源,为服务高中教学作贡献。
邹生书,男,1962年12月出生,中学数学高级教师。主要从事高中数学教学、高中数学解题研究和探究性学习等。从2007年8月到2018年8月,在《数学通讯》《数学教学》《中学数学》《中学数学教学》等,二十多种学术期刊上发表解题和探究性学习文章300余篇。
公众号“邹生书数学”诚请高中数学教师、教研员和热爱数学的朋友不吝赐稿。来稿请注明真实姓名、工作单位和联系方式,一般只接受word文档格式的电子稿件,文稿请认真审查,防止错漏,文责自负。
投稿邮箱:zoushengshu@163.com;
投稿微信号:13297228197。
本公众号对优秀作者和名师实行“双推学习”,在分享文章的同时推介作者简历,让读者朋友更好的了解作者的研究成果和研究方向,以便进一步研读作者的相关文章。
欢迎转载本公众号文章,转载请注明:
“文章来源:邹生书数学”等字样。
【来源】解忧数学杂货店
——对称化构造(解题方法)
三张图教你直观认识极值点偏移:
1
1
1
1
2
1
1
3
1
例题展示
点评:该题的三问由易到难,层层递进,完整展现了处理极值点偏移问题的一般方法——对称化构造的全过程,直观展示如下:
把握以上三个关键点,就可以轻松解决一些极值点偏移问题.
小结:用对称化构造的方法解决极值点偏移问题大致分为以下三步:
牛刀小试
——函数的选取(操作细节)
例题展示
点评
点评
注1
注2
思考:上一讲极值点偏移问题(1)中练习1应该用哪一个函数来做呢?
——变更结论(操作细节)
例题展示
解法一(换元法)
解法二(加强命题)
剧透:下一讲中我们还会给出这道题的第三种证法.
能否将双变量的条件不等式化为单变量的函数不等式呢?
答案是肯定的,以笔者的学习经验为线索,我们先看一个例子.
引例
证明
发现
能否一开始就做这个代换呢?
这样一种比值代换在极值点偏移问题中也大有可为.
下面就用这种方法再解前面举过的例子.
再解例1(3):
再解例3:
再解练习1:
再解例4:
再解例5:
再解例7:
再解例8:
行文至此,相信读者已经领略到比值代换的威力.用比值代换解极值点偏移问题方便、快捷,简单得很.只需通过一个代换就可“双元”化“单元”,变为单变量的函数不等式,可证.那是不是可以就此忘掉前面三讲的内容呢?只需比值代换,就可偏移无忧?
这里,笔者必须指出,前面再解的过程中有意地略去了一些例子(不知细心的你是否发现),这就补上,请读者明察.
试再解例2:
试再解例6:
试再解练习2:
这是比值代换的败笔,又是最精彩之处.没有任何一种方法是万能的,我们不仅要熟悉它的优势,熟练它的操作,还要清醒地认识到它的缺陷,运用时要注意哪些问题,这其实是为了更好的运用.
最后,我们来看比值代换另一个应用.
牛刀小试
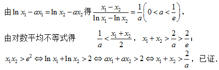
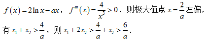
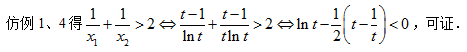
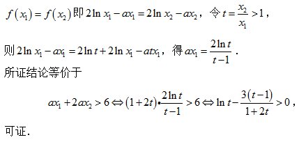
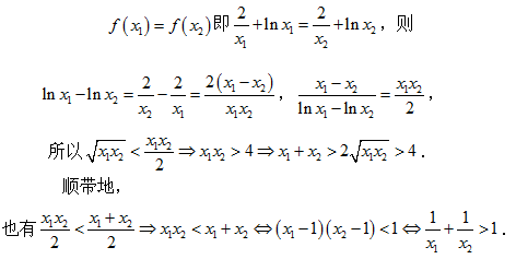
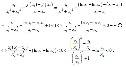
——对数平均不等式(本质回归)
回顾
本讲要给的对数平均不等式是对基本不等式的加细.
对数平均不等式:
先给出对数平均不等式的多种证法.
证法1(对称化构造):
证法2(比值代换):
证法3(主元法):
证法4(积分形式的柯西不等式):
证法5(几何图示法):
图1
图2
应用
由对数平均不等式的证法1、2即可看出它与极值点偏移问题间千丝万缕的联系,下面就用对数平均不等式解前面举过的例题.
再解例1:
再解例2:
再解例3:
再解练习1:
再解例4:同本节例1
再解例5:同本节例1
再解例7(2):
再解例8:
再解练习2:
解练习3选项D:
总 结
极值点偏移问题,多与指数函数或对数函数有关,用对数平均不等式解题的关键有以下几步:
细心的读者不难发现,用对数平均不等式来解极值点偏移问题的方法也有一定局限性,也不是万能的(再解过程中漏掉了例6,读者可尝试),其中能否简洁地表示出对数平均数是关键中的关键.
最后再举一例.
证法1
证法2
——泰勒展开(本质回归)
这一讲我们回到极值点偏移的直观图形上来,揭示极值点偏移问题的高等数学背景.以极小值点的偏移为例进行说明。
图1
图2
以上只是直观(或者说非常粗略)的分析,下面拟用高等数学中的泰勒展开式进行严格证明,算作极值点偏移问题的另一种本质回归.
极大值点的情形,推导过程同上,但结果却恰好相反,不再详述.
至此,我们得到极值点偏移问题的如下判定定理:
注意:
应用
下面就用这个判定定理再解前面举过的例题.
再解例1:
再解例2:
再解例4:
再解例6:
再解例8:
再解例10:
——练习题及解答
图1
练习题:
提示与答案:
长按或扫描二维码关注本公众号!
近期好文荐读:
深度好文|用通性、通法解导数压轴题——全国理数一卷近三年导数题研究及2020年导数题预测
洛必塔法则 零点定理取点 函数凹凸性 三种法解一道“端点效应”难题
阳友雄:拉格朗日中值定理及其应用——不等式证明的又一大利器!!!
九市联盟2020届数学理科核心模拟卷三份及参考答案与评分细则
解答高考选择题的八大策略——教你如何灵活、高效、精准拿分!!!
熊昌进:数学教学我们永远在路上——从学生的思维出发进行教学指导一例
曾蓉——轨迹法突破一类解三角形面积最值问题之二 原来也有“圆”
曹凤山:年年考向量 岁岁数与形 ———浙江省自主命题以来向量试题特点评析
魏立国——不等式e^x ≥ x+1和+ln(x+1)≤X的应用
【博学多才】筷子夹汤圆,夹出一个美丽的"蒙日圆",真是太神奇了!!!
【美不胜收】求解动点轨迹方程的的七种解法------全方位,无死角!!!
洪一平、 杨飞、邹生书——解答一道以椭圆为载体的轨迹方程与面积最值征解难题
单壿、石中海、赵春等:一道莫斯科绝对值最小值高考题的解法研究文章荟萃