请点击上方蓝色字体“邹生书数学”,订阅本微信公众号;请点击右上角的“…”,发送给朋友或分享到朋友圈。
公众号“邹生书数学”创建于2018年8月28日。
开号宗旨:为热爱学习和研究的高中数学教师和教研员搭建学习交流平台,提升教学能力,促进专业发展。本公众号致力传播数学文化,发表教研成果,交流教学经验,探讨数学问题,展示解题方法,分享教学资源,为服务高中教学作贡献。
邹生书,男,1962年12月出生,本科学历,理学士学位,中学数学高级教师,黄石市高中数学骨干教师。主要从事高中数学教学、高中数学解题研究和探究性学习等。从2007年8月到2018年8月,在《数学通讯》《数学通报》《数学教学》《中学数学》《中学数学教学》等,二十多种学术期刊上发表解题和探究性学习文章300余篇。
公众号“邹生书数学”诚请高中数学教师、教研员和热爱数学的朋友不吝赐稿。来稿请注明真实姓名、工作单位和联系方式,一般只接受word文档格式的电子稿件,文稿请认真审查,防止错漏,确保无误,文责自负。
投稿邮箱:zoushengshu@163.com;
商务联系:13297228197。
2020年北京朝阳区二模解析几何问题溯源
北京市陈经纶中学 孙丕训
湖北省阳新县高级中学 邹生书
【试题回顾】(2020.6北京朝阳二模)
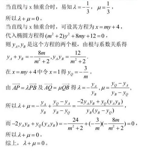
另解:对直线与x轴的位置关系进行分类讨论,当直线不与x轴重合或平行时,用直线的方程x=my+n求解。
【问题推广】
【寻根溯源】
本题是由椭圆如下的一个结论稍作改编得到:
这样对椭圆方程即点M的坐标取特殊化,即改编成为了北京朝阳二模试题.
孙丕训,数学特级教师,北京市朝阳区兼职教研员。1970年4月出生,1990年参加工作,已教过14届毕业班。2011年8月被北京市朝阳区人才引进到北京市陈经纶中学任教。曾获黑龙江省模范教师、鸡西市第七批专业技术拔尖人才、省骨干教师、市首届名师、市优秀教师、市百名优秀青年、市课堂教学大赛一等奖、市优秀共产党员、省优质课教师等荣誉称号。多次做朝阳区教材分析和专题讲座,在公开杂志上发表文章十余篇。
长按或扫描二维码关注本公众号!
投稿邮箱:zoushengshu@163.com;
商务联系:13297228197。
公众号《邹生书数学》
近期最受读者欢迎的部分文章链接
0.李鸿昌——函数f(x)=2sinx+sin2x最小值的多解与变式探究
2.老唐说题——导数压轴题之同构式的三“生”三“释”+8个典型试题教你学同构
5.李鸿昌——绕开洛必达,回归导数概念,求解“0/0”端点效应高考压轴题
6.圆锥曲线极点与极线的性质及其在解答高考题中的应用文章三篇
10.袁方、洪一平、邹生书——运用“等积线”求解一类条件最值问题
17.洪一平、邹生书——三角形面积最大值问题的两个新解法与几何背景
18.深度好文|用通性、通法解导数压轴题——全国理数一卷近三年导数题研究及2020年导数题预测
20.洛必塔法则 零点定理取点 函数凹凸性 三种法解一道“端点效应”难题
21.阳友雄:拉格朗日中值定理及其应用——不等式证明的又一大利器!!!
25.九市联盟2020届数学理科核心模拟卷三份及参考答案与评分细则
27.高考数学冲刺专题——解析几何(正高级,特级教师夏远景)
28.巧用“等和线”解决平面向量问题,怎一个“妙”字了得!!!
29.解答高考选择题的八大策略——教你如何灵活、高效、精准拿分!!!