请点击上方蓝色字体“邹生书数学”,订阅本微信公众号;请点击右上角的“…”,发送给朋友或分享到朋友圈。
公众号“邹生书数学”创建于2018年8月28日。
开号宗旨:为热爱学习和研究的高中数学教师和教研员搭建学习交流平台,提升教学能力,促进专业发展。本公众号致力传播数学文化,发表教研成果,交流教学经验,探讨数学问题,展示解题方法,分享教学资源,为服务高中教学作贡献。
邹生书,男,1962年12月出生,本科学历,理学士学位,中学数学高级教师,黄石市高中数学骨干教师。主要从事高中数学教学、高中数学解题研究和探究性学习等。从2007年8月到2018年8月,在《数学通讯》《数学通报》《数学教学》《中学数学》《中学数学教学》等,二十多种学术期刊上发表解题和探究性学习文章300余篇。
公众号“邹生书数学”诚请高中数学教师、教研员和热爱数学的朋友不吝赐稿。来稿请注明真实姓名、工作单位和联系方式,一般只接受word文档格式的电子稿件,文稿请认真审查,防止错漏,确保无误,文责自负。
投稿邮箱:zoushengshu@163.com;
商务联系:13297228197。
余弦定理解三角形的一个“新发现”
山西省垣曲中学 张甜甜
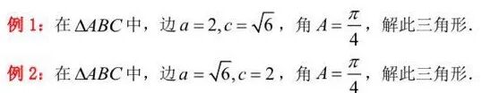
众所周知,在人教A版必修五解三角形中,有一类基础性的问题,用正弦定理和余弦定理都是可以解的,比如下面的两个例题:
明显,上述例题中,可以用正弦定理先解出sinC,进而得到角C,再次得到角B,最后正弦定理求边b,整个问题就会解决。可在过程中的一个小难点是得到sinC后得角C,也就是所谓的正弦定理解三角形几个解的问题,经常会搞“晕菜”不少特殊角不熟练,原理不明的学生,一线教师往往提倡用余弦定理这么解:
判断就可知仅有一解,也就是说有两解的情况,余弦定理一定可以从一元二次方程中得到两个不等根;反之仅一解时从一元二次方程必得到一正一负根,可以自然舍掉,这样就可以完美地避开分析解的个数的易错点。
然而,在最近我校组织的一次月考中的一题,却让我有一些“新发现”,不得不重新审视我们的观点,原题如下:
这个案例引起了我的反思,想想出错的原因,和一些学生一样, 常常在以往的经验基础上得到一些并非真理的结论,还一直奉为金科玉律,希望在今后的工作、学习中能理性思辨,少犯一些上述“经验主义”的低级错误。
长按或扫描二维码关注本公众号!
投稿邮箱:zoushengshu@163.com;
商务联系:13297228197。
公众号《邹生书数学》
近期最受读者欢迎的部分文章链接
0.李鸿昌——函数f(x)=2sinx+sin2x最小值的多解与变式探究
2.老唐说题——导数压轴题之同构式的三“生”三“释”+8个典型试题教你学同构
5.李鸿昌——绕开洛必达,回归导数概念,求解“0/0”端点效应高考压轴题
6.圆锥曲线极点与极线的性质及其在解答高考题中的应用文章三篇
10.袁方、洪一平、邹生书——运用“等积线”求解一类条件最值问题
17.洪一平、邹生书——三角形面积最大值问题的两个新解法与几何背景
18.深度好文|用通性、通法解导数压轴题——全国理数一卷近三年导数题研究及2020年导数题预测
20.洛必塔法则 零点定理取点 函数凹凸性 三种法解一道“端点效应”难题
21.阳友雄:拉格朗日中值定理及其应用——不等式证明的又一大利器!!!
25.九市联盟2020届数学理科核心模拟卷三份及参考答案与评分细则
27.高考数学冲刺专题——解析几何(正高级,特级教师夏远景)
28.巧用“等和线”解决平面向量问题,怎一个“妙”字了得!!!
29.解答高考选择题的八大策略——教你如何灵活、高效、精准拿分!!!
37.直线恒过定点存在性探索题的几个新解法(包含二级结论秒杀法)