请点击上方蓝色字体“邹生书数学”,订阅本微信公众号;请点击右上角的“…”,发送给朋友或分享到朋友圈。
公众号“邹生书数学”创建于2018年8月28日。
开号宗旨:为热爱学习和研究的高中数学教师和教研员搭建学习交流平台,提升教学能力,促进专业发展。本公众号致力传播数学文化,发表教研成果,交流教学经验,探讨数学问题,展示解题方法,分享教学资源,为服务高中教学作贡献。
邹生书,男,1962年12月出生,本科学历,理学士学位,中学数学高级教师,黄石市高中数学骨干教师。主要从事高中数学教学、高中数学解题研究和探究性学习等。从2007年8月到2018年8月,在《数学通讯》《数学通报》《数学教学》《中学数学》《中学数学教学》等,二十多种学术期刊上发表解题和探究性学习文章300余篇。
公众号“邹生书数学”诚请高中数学教师、教研员和热爱数学的朋友不吝赐稿。来稿请注明真实姓名、工作单位和联系方式,一般只接受word文档格式的电子稿件,文稿请认真审查,防止错漏,确保无误,文责自负。
投稿邮箱:zoushengshu@163.com;
商务联系:13297228197。
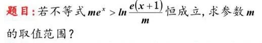
同构和反函数法解一道不等式恒成立问题
广东广州 杨 俊
分析:注意到这两个函数之间恰好存在互为反函数的关系,同时结构非常的相似,故从反函数和同构两个角度来尝试解决这个问题。
法一:反函数法
法二:同构方法
杨俊老师公众号发文链接:
2.杨俊、张长新、洪一平、李启印——解答一道与阿氏圆有关的双根式最小值征解题
1.杨俊——2019年中国数学奥林匹克希望联盟夏令营试题二 第11题背景探源与解答(内附全部试题)
2020年高考试题与解答研究文章链接:
张国川:游离在高考岸边的“数学美”——斜率问题的齐次化构造解法
马力仲、邹生书——2020高考浙江数学卷解析几何压轴题的两个漂亮解法
张云华——2020年高考数学北京卷第(19)题第(2)问另解
万志红、张长新、黎良琛——2020年新课标Ⅰ卷 · 理20 · 一题多解
洪一平——2020年浙江省数学高考压轴题的 创新解法与命题建议
马力仲——2020年高考试题分析第一讲:知识背景成解题障碍,五音不全怎理解和弦
邹生书——2020年高考全国一卷第20题直线过定点问题的 简证与变式 拓展与背景
张国川——从2020新课标1卷理数20题 谈一类与斜率有关的解析几何问题的统一解法
陈 辉:函数搭台 数列与不等式唱戏——解2020年全国(Ⅱ)卷理科21题
长按或扫描二维码关注本公众号!
投稿邮箱:zoushengshu@163.com;
商务联系:13297228197。