请点击上方蓝色字体“邹生书数学”,订阅本微信公众号;请点击右上角的“…”,发送给朋友或分享到朋友圈。
公众号“邹生书数学”创建于2018年8月28日。
开号宗旨:为热爱学习和研究的高中数学教师和教研员搭建学习交流平台,提升教学能力,促进专业发展。本公众号致力传播数学文化,发表教研成果,交流教学经验,探讨数学问题,展示解题方法,分享教学资源,为服务高中教学作贡献。
邹生书,男,1962年12月出生,本科学历,理学士学位,中学数学高级教师,黄石市高中数学骨干教师。主要从事高中数学教学、高中数学解题研究和探究性学习等。从2007年8月到2018年8月,在《数学通讯》《数学通报》《数学教学》《中学数学》《中学数学教学》等,二十多种学术期刊上发表解题和探究性学习文章300余篇。
公众号“邹生书数学”诚请高中数学教师、教研员和热爱数学的朋友不吝赐稿。来稿请注明真实姓名、工作单位和联系方式,一般只接受word文档格式的电子稿件,文稿请认真审查,防止错漏,确保无误,文责自负。
投稿邮箱:zoushengshu@163.com;
商务联系:13297228197。
习以为常的“完美公式”真的完美吗
山西省垣曲中学 张甜甜
高中数学人教A版必修四的主要内容为几何,其中第三章的《直线与方程》一章中少不了要探究两条直线的位置关系,这也是解析几何的常见问题。比如说探究直线l1与l2的平行、垂直等特殊的位置关系,运用点斜式中斜率和截距肯定是非常直观易懂的,但是劣势在于用一般式表达l1与l2方程且含有参数时,学生往往忽略讨论分母为零,即斜率不存在的情形,从而导致参数值的计算出错。在次情形下,大多一线教师往往给学生推理,也大量出现在教辅资料上的系数关系公式:
这一组公式既避免了化为斜截式的计算,又避开了斜率不存在时的“陷阱”,确实非常实用,堪称“完美”。然而这组公式真的能毫无纰漏地解决此类直线平行的问题吗?不妨我们看下下面的例子:
但是事实真的是这样的吗?当我们把a=0代入上述直线时,可以得到x-1=0与x+1=0,显然是平行的,足以说明上面的公式②是有“瑕疵”的。同理代入公式①的学生貌似做出了正确答案a=1/6或a=0,但也仅仅是侥幸而已,因为命题人只需将题干改为:直线2ax+y-1=0与-ax+(3a-1)y-1=0平行,代入公式①的学生一样会在悄无声息中“翻车”。
下面我们来研究一下这两组学生们一直在用,也铺天盖地出现在教辅资料中的“完美公式”出现瑕疵的原因。
但是很遗憾这个正确解却被公式②中的第二个条件舍弃掉了,也就是说公式②是两直线平行的充分不必要条件,而绝非等价条件,所以有时候会舍掉原本正确的参数值,公式①的问题同理不再赘述。
综上所述,上面的公式需要进行些修改才能更加完善、严谨。事实上,
数学是一切自然学科的基础,是思维的体操,追求一丝不苟的科学态度是学生应该养成的习惯,也是这门课的基本素养之一。
肤浅的一些认识,我们共同探讨进步。
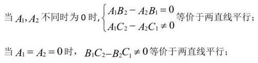
【编者按】1.张老师文章最后小结归纳的两直线平行的充要条件分成四种情形,实际上
还可进一步概括归纳整合成如下两种情形:
2.对于已知含有参数的直线方程,当两直线平行时求参数的取值,这类问题编者认为将问题解法“公式化”,没有多大实际意义。一旦问题公式化,解答就变成了套用公式了。这类问题还是采用课本的解法好,对两直线能否化为斜截式进行分类讨论。也可以用直线的法向量进行解答,这样可以避免对直线斜率存在性的讨论。解法的特点是:先必要,后充分(检验)。
下附这个例题的两种解法如下:
用直线的法向量判断两直线平行与垂直有如下结论:
有关直线法向量解题文章链接:
近期20篇热点文章链接:
12.2020年高考725分理科状元唐楚玥的学习方法演讲!快点转给孩子!
10.马力仲2020年高考数学试题分析讲座第四讲——整体把握结构稳定 着眼细节字母可变
9.万志红、张长新||2020年全国一卷文科导数题——如何找点?
6.张国川:游离在高考岸边的“数学美”——斜率问题的齐次化构造解法
5.万志红、张长新、黎良琛——2020年新课标Ⅰ卷 · 理20 · 一题多解
3.马力仲——2020年高考试题分析第一讲:知识背景成解题障碍,五音不全怎理解和弦
1.邹生书——2020年高考全国一卷第20题直线过定点问题的 简证与变式 拓展与背景
长按或扫描二维码关注本公众号!
投稿邮箱:zoushengshu@163.com;
商务联系:13297228197。