请点击上方蓝色字体“邹生书数学”,订阅本微信公众号;请点击右上角的“…”,发送给朋友或分享到朋友圈。
公众号“邹生书数学”创建于2018年8月28日。
开号宗旨:为热爱学习和研究的高中数学教师和教研员搭建学习交流平台,提升教学能力,促进专业发展。本公众号致力传播数学文化,发表教研成果,交流教学经验,探讨数学问题,展示解题方法,分享教学资源,为服务高中教学作贡献。
邹生书,男,1962年12月出生,本科学历,理学士学位,中学数学高级教师,黄石市高中数学骨干教师。主要从事高中数学教学、高中数学解题研究和探究性学习等。从2007年8月到2018年8月,在《数学通讯》《数学通报》《数学教学》《中学数学》《中学数学教学》等,二十多种学术期刊上发表解题和探究性学习文章300余篇。
公众号“邹生书数学”诚请高中数学教师、教研员和热爱数学的朋友不吝赐稿。来稿请注明真实姓名、工作单位和联系方式,一般只接受word文档格式的电子稿件,文稿请认真审查,防止错漏,确保无误,文责自负。
投稿邮箱:zoushengshu@163.com;
商务联系:13297228197。
解答两道双曲线离心率试题
山西省朔州市朔城区一中 柴淑兰
湖北省阳新县高级中学 邹生书
题目1:2020年9月武汉市高三起点质量检测第16题
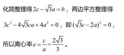
双曲线E:x2/a2-y2/b2=1(a>0,b>0)的左焦点为F ,过F作x轴的垂线交E于点A,过F作与E的一条渐近线平行的直线交E于点B,且A,B在x轴的同侧,若∠FAB=30°,则E的离心率为___
解:如图,设点A,B都在x轴上方。
题目2:已知双曲线C:x2/a2-y2/b2=1(a>0,b>0)的右焦点为F,过原点的直线交双曲线 C于A,B两点,且∠AFB=120°,延长AF交双曲线C于点M,若MF=2AF,则双曲线 C的离心率为( )
解 :山西省朔州市朔城区一中 柴淑兰 提供
如图,设双曲线左焦点为G,连接AG,BG,MG.
设AG=R,AF=r,由双曲线定义得AG-AF=2a,
即R-r=2a. 又MG-MF=2a,
所以GM=MF+2a=2r+(R-r)= R+r,
易知AGBF为平行四边形,
由∠AFB=120°,得∠GAM=60°,
在△AGM中,由余弦定理得
GM2=R2+(3r)2-2 R(3r)cos60°=( R+r)2
化简整理得8r=5R,不妨取r=5,R=8,则2a=3,
在△AGF中,由余弦定理得
4c2=R2+r2-2 Rrcos60°=49,所以2c=7,
于是离心率e=2c/2a=7/3,故选B.
点评:上述两道求双曲线离心率试题从解法看,综合性强,有一定难度,对运算求解能力的要求较高。其中题1解法主要用到直线方程和解方程组等知识;题2的解法综合运用了双曲线的定义和解三角形中的余弦定理等有关知识。
公众号《邹生书数学》
最受读者欢迎的柒拾篇解题文章链接
(20191018——20200618)
2.“端点效应”模考压轴题的三种解法——分类讨论 洛必塔 导数定义(修正版)
4.刘锐——六构函数解答一道“指对混合”方程参数取值范围难题
6.李鸿昌——函数f(x)=2sinx+sin2x最小值的多解与变式探究
7.老唐说题——导数压轴题之同构式的三“生”三“释”+8个典型试题教你学同构
10.李鸿昌——绕开洛必达,回归导数概念,求解“0/0”端点效应高考压轴题
13.袁方、洪一平、邹生书——运用“等积线”求解一类条件最值问题
18.深度好文|用通性、通法解导数压轴题——全国理数一卷近三年导数题研究及2020年导数题预测
20.洛必塔法则 零点定理取点 函数凹凸性 三种法解一道“端点效应”难题
21.阳友雄:拉格朗日中值定理及其应用——不等式证明的又一大利器!!!
24.九市联盟2020届数学理科核心模拟卷三份及参考答案与评分细则
26.高考数学冲刺专题——解析几何(正高级,特级教师夏远景)
27.巧用“等和线”解决平面向量问题,怎一个“妙”字了得!!!
28.解答高考选择题的八大策略——教你如何灵活、高效、精准拿分!!!
43.曾蓉——轨迹法处理一类解三角形最值问题之一 阿波罗尼斯圆
53.曹凤山:年年考向量 岁岁数与形 ———浙江省自主命题以来向量试题特点评析
55.万尔遐、汪跃中——探讨高考数学命题人如何编定概率统计的试题
62.魏立国——不等式e^x ≥ x+1和+ln(x+1)≤X的应用
63.一道取值范围试题的七个解法四个结果!谁对谁错?问题出在哪?
64.【美不胜收】求解动点轨迹方程的的七种解法------全方位,无死角!!!
长按或扫描二维码关注本公众号!
投稿邮箱:zoushengshu@163.com;
商务联系:13297228197。