请点击上方蓝色字体“邹生书数学”,订阅本微信公众号;请点击右上角的“…”,发送给朋友或分享到朋友圈。
公众号“邹生书数学”创建于2018年8月28日。
开号宗旨:为热爱学习和研究的高中数学教师和教研员搭建学习交流平台,提升教学能力,促进专业发展。本公众号致力传播数学文化,发表教研成果,交流教学经验,探讨数学问题,展示解题方法,分享教学资源,为服务高中教学作贡献。
邹生书,男,1962年12月出生,本科学历,理学士学位,中学数学高级教师,黄石市高中数学骨干教师。主要从事高中数学教学、高中数学解题研究和探究性学习等。从2007年8月到2018年8月,在《数学通讯》《数学通报》《数学教学》《中学数学》《中学数学教学》等,二十多种学术期刊上发表解题和探究性学习文章300余篇。
公众号“邹生书数学”诚请高中数学教师、教研员和热爱数学的朋友不吝赐稿。来稿请注明真实姓名、工作单位和联系方式,一般只接受word文档格式的电子稿件,文稿请认真审查,防止错漏,确保无误,文责自负。
本公众号对优秀作者和名师一般会附上“作者简介”,以让广大读者更好地了解作者的研究成果和方向,以便进一步学习作者的相关数学思想或解题方法。
投稿邮箱:zoushengshu@163.com;
商务联系:13297228197。
一个函数值域的多种求法
山西省朔州市朔城区一中 柴淑兰
西南大学在读大四学生 王丽敏 编辑
其间还使用了“换元法”,利用了“对勾函数单调性”“不等式性质”等
【解法三】求导法
方法1:直接求导
此法要求求导功底要好,否则难以求出准确结果。
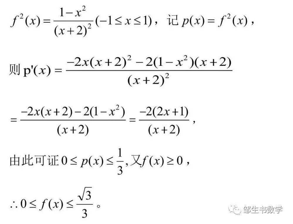
方法2:先平方再求导
总之,学了导数以后,求值域的在原有的方法的基础上有多了一种方法-----求导法,但并不是求导法比任何其它方法都好,也不能用求导法代替所有其它解法,而且还要注意灵活应用,比如此题,先平方再求导更简单,凡事要讲求方式方法,不能蛮干。
柴淑兰,山西省朔州市朔城区一中数学教师,副高级职称,省学科带头人,区教学能手,学科名师、优秀班主任、师德标兵,从教29年,坚持工作在教学第一线,主持年级教学工作,兼任班主任,工作踏实,教学风格严谨细致,注重基础,追本溯源,管理班级粗中有细游刃有余,深得学生敬重和家长好评。
作者往期文章链接:
柴淑兰、王丽敏:一道训练“配凑法”使用基本不等式求最值的题目
柴淑兰——关于“高中数学必修1第一章”难点处理策略(“待续”完整版)
公众号邹生书数学
2020年9月至2020年12月
最受读者欢迎的数学解题文章链接
48.柴淑兰、王丽敏——抓好“概念、方程和几何性质”解决椭圆常规问题
46.越做越起劲的100道高中数学函数压轴题, 你敢来试试吗?
45.庞景生——2012年广东高考理科数列第19题的深度思考
36.彭光焰——向量数量积不等式|a|∧2|b|∧2≥(a•b)∧2的解题探究
31.黄贤锋:一道三角函数题的多解探究
26.彭光焰:从“路径依赖”到“另辟蹊径” ———从几道三角题的解法谈起
25.彭光焰:全面理解 多方转化——一道分式函数最值问题的多角度审视
24.曹凤山:基于核心素养提升的高考数学备考策略——以函数与导数内容为例
11.赵志岗——深度解析2020年全国1卷理数第21题的命题方式与背景
9.甘大旺——2019 年浙江大学一道开平方自招题的 4 种解法
长按或扫描二维码关注本公众号!
投稿邮箱:zoushengshu@163.com;
商务联系:13297228197。