请点击上方蓝色字体“邹生书数学”,订阅本微信公众号;请点击右上角的“…”,发送给朋友或分享到朋友圈。
公众号“邹生书数学”创建于2018年8月28日。
开号宗旨:为热爱学习和研究的高中数学教师和教研员搭建学习交流平台,提升教学能力,促进专业发展。本公众号致力传播数学文化,发表教研成果,交流教学经验,探讨数学问题,展示解题方法,分享教学资源,为服务高中教学作贡献。
邹生书,男,1962年12月出生,本科学历,理学士学位,中学数学高级教师,黄石市高中数学骨干教师。主要从事高中数学教学、高中数学解题研究和探究性学习等。从2007年8月到2018年8月,在《数学通讯》《数学通报》《数学教学》《中学数学》《中学数学教学》等,二十多种学术期刊上发表解题和探究性学习文章300余篇。
公众号“邹生书数学”诚请高中数学教师、教研员和热爱数学的朋友不吝赐稿。来稿请注明真实姓名、工作单位和联系方式,一般只接受word文档格式的电子稿件,文稿请认真审查,防止错漏,确保无误,文责自负。
本公众号对优秀作者和名师一般会附上“作者简介”,以让广大读者更好地了解作者的研究成果和方向,以便进一步学习作者的相关数学思想或解题方法。
投稿邮箱:zoushengshu@163.com;
商务联系:13297228197。
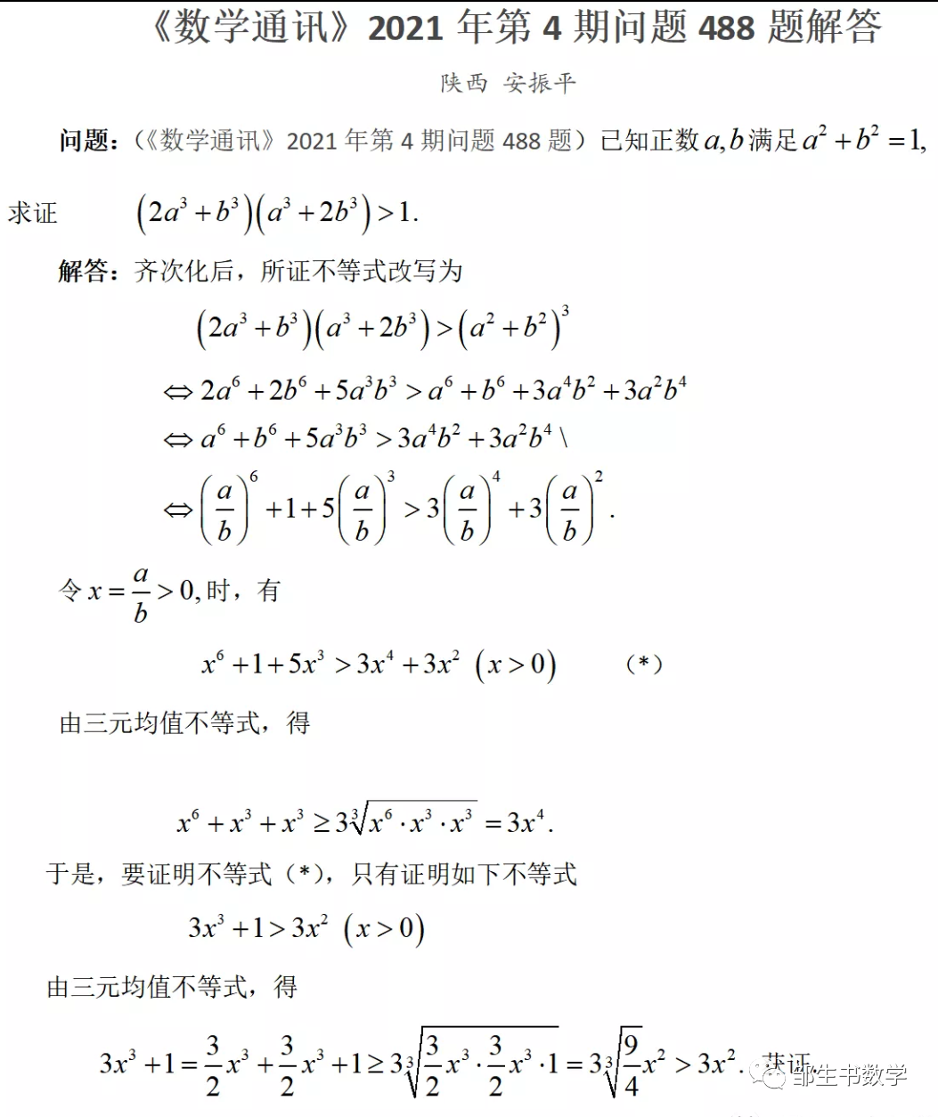
数学通讯2021年第4期问题488的一个简解
浙江省平阳中学 洪一平
下附:安振平老师的解法(来源:量级研究与数学学习)
洪一平老师在高中数学解题交流二群中交流此题解法时指出:
展示原创,丰富解法,各展所长,各取所需,也是解题交流的目的。
相关文章链接:
【作者简介】洪一平,男, 1962年4月出生, 1979年考上浙江大学应用数学系并于83年毕业, 获理学士学位, 毕业后分配到杭州商学院担任高数助教二年, 85年考上浙江大学应用数学系攻读计算机辅助几何设计专业硕士研究生学位, 89年获得理学硕士学位, 毕业后回家乡任教于浙江省平阳中学, 96年评上高中数学高级教师职称, 曾连续二十多年担任高中数学竞赛及培优辅导员。
长按或扫描二维码关注本公众号!
投稿邮箱:zoushengshu@163.com;
商务联系:13297228197。
洪一平解难题文章专集链接
123.洪一平——用重要不等式的一个变式和待定系数法求一道二元分式的最小值
122.洪一平:一道双参数取值难题的解法
118.洪一平——半分参与倒数换元 巧解百师联盟开年摸底联考第12题
116.洪一平等——2021汕头市高三质量检测压轴题解法大比拼
114.洪一平——抛物线双切线双三角形外心条件下的数量积最大值试题的解法
111.洪一平、邓名武——武汉市三月调考导数压轴题的几个新解法
110.洪一平——辽宁省名校联盟2021届高三三月份联合考试数学压轴题的简解
109.邹生书、洪一平——武汉市2021届三月调考第12题的两个解法
108.魏拴文、洪一平:一道指对函数不等式恒成立参数取值范围试题的两个解法
106.洪一平:函数在区间内有最大值和最小值参数取值范围试题与解法
104.个屋院、洪一平等:一道三元分式最小值问题的解法与推广
94.洪一平、勒小平——比例赋值法简解约束条件下目标函数最值题
92.洪一平——以椭圆短轴端点为直角顶点的内接等腰直角三角形有三个的离心率取值范围
90.洪一平、魏拴文等:一道向量等式条件下最值难题的几种解法
89.张联忠等——用圆锥曲线的配极原理证明三角形外接圆恒过定点试题
85.魏拴文、洪一平:解答一道二次函数条件下最大值中的最小值
83.洪一平:一道双参数双量词绝对值不等式恒成立 求参数取值范围问题的两个解法
81.洪一平、刘锐——圆中同起点动弦向量数量积最小值难题的八种解法 你知道几种?
79.洪一平、杨俊等——三线段长度最大值的最小值试题解法研讨
78.洪一平——不等式恒成立 求双参数积最大值试题的两个解法
76.洪一平——2020湖北高三5月调研模拟理科数学第10题解析
71.洪一平——这个怪异丑陋的三角不等式征解题 原来的样子很优美
69.洪一平——解答一道综合性较强的最值选择题
65.洪一平——隐极值点法和参数分离法解一道不等式恒成立试题
61.洪一平——2011年印度数学奥林匹克抽象函数竞赛题的严谨解法
59.洪一平、邹生书——六种方法解答一道含有参数的向量模之和的最小值试题
57.洪一平、李有贵——再解一道二元不等式条件下的取值范围试题
56.袁方、洪一平、邹生书——运用“等积线”求解一类条件最值问题
52.洪一平、邹生书:一道与椭圆焦点弦相关的向量模取值范围 难题的两个解法
51.洪一平、邹生书——三角形面积最大值问题的两个新解法与几何背景
48.洪一平——对一道二次根式线性和取值范围问题的解法再探讨
47.洪一平、张红生——涉及二次函数零点的系数线性和最值问题及其解法
40.洪一平——2019年5月浙江五校联考试题第9题的四种解法
39.洪一平——六种方法解答一道四边形中的三角形面积最大值问题
30.洪一平、 杨飞、邹生书——解答一道以椭圆为载体的轨迹方程与面积最值征解难题
27.胡长淼、洪一平——一道已知函数的最小值求参数取值试题的三种解法
24.洪一平——2019届南通海安上学期期末考试第14题的两个解法
23.洪一平——用高线法解2019年江苏省数学夏令营测试卷第7题
22.杨俊、张长新、洪一平、李启印——解答一道与阿氏圆有关的双根式最小值征解题
19.洪一平——第十六届东南杯数学奥林匹克高一试题第一题的两个新解法
17.洪一平、张智刚、霍忠林——一道涉及三角形内心的向量系数和最值问题的几个简解
16.洪一平——一道二元三次条件等式一次最小值问题的几种解法
14.洪一平——2017年福建高中数学竞赛第8题的几个精彩解法
13.洪一平、邹生书——两个二元条件指数式取值范围问题及其解法
12.洪一平——解答《数学通讯》第6期问题征解401与402号题
9.洪一平、张智刚、邹生书——一道三次函数零点个数试题的解法与反思
6.洪一平:一道含有双参数绝对值全称量词和特称量词综合小题的四种解法
长按或扫描二维码关注本公众号!
投稿邮箱:zoushengshu@163.com;
商务联系:13297228197。