请点击上方蓝色字体“邹生书数学”,订阅本微信公众号;请点击右上角的“…”,发送给朋友或分享到朋友圈。
公众号“邹生书数学”创建于2018年8月28日。
开号宗旨:为热爱学习和研究的高中数学教师和教研员搭建学习交流平台,提升教学能力,促进专业发展。本公众号致力传播数学文化,发表教研成果,交流教学经验,探讨数学问题,展示解题方法,分享教学资源,为服务高中教学作贡献。
邹生书,男,1962年12月出生,本科学历,理学士学位,中学数学高级教师,黄石市高中数学骨干教师。主要从事高中数学教学、高中数学解题研究和探究性学习等。从2007年8月到2018年8月,在《数学通讯》《数学通报》《数学教学》《中学数学》《中学数学教学》等,二十多种学术期刊上发表解题和探究性学习文章300余篇。
公众号“邹生书数学”诚请高中数学教师、教研员和热爱数学的朋友不吝赐稿。来稿请注明真实姓名、工作单位和联系方式,一般只接受word文档格式的电子稿件,文稿请认真审查,防止错漏,确保无误,文责自负。
本公众号对优秀作者和名师一般会附上“作者简介”,以让广大读者更好地了解作者的研究成果和方向,以便进一步学习作者的相关数学思想或解题方法。
投稿邮箱:zoushengshu@163.com;
商务联系:13297228197。
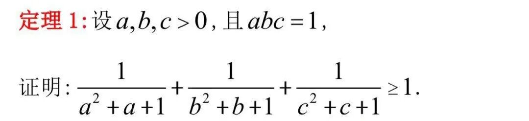
一类条件为abc=1的不等式
广东省中山纪念中学(528454)邓启龙
在不等式中,经常遇到条件为abc=1的不等式,比如越南不等式专家Can-Hang的一个经典结论,本文称之为定理1.
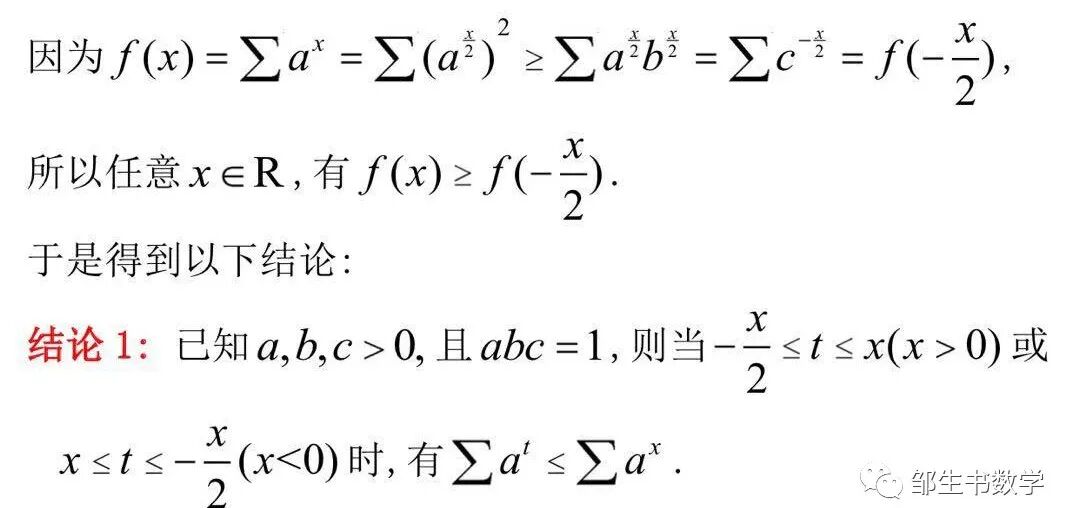
在证明定理1之前,首先给出本文要用到的不等式.
1.三元均值不等式及常见结论:
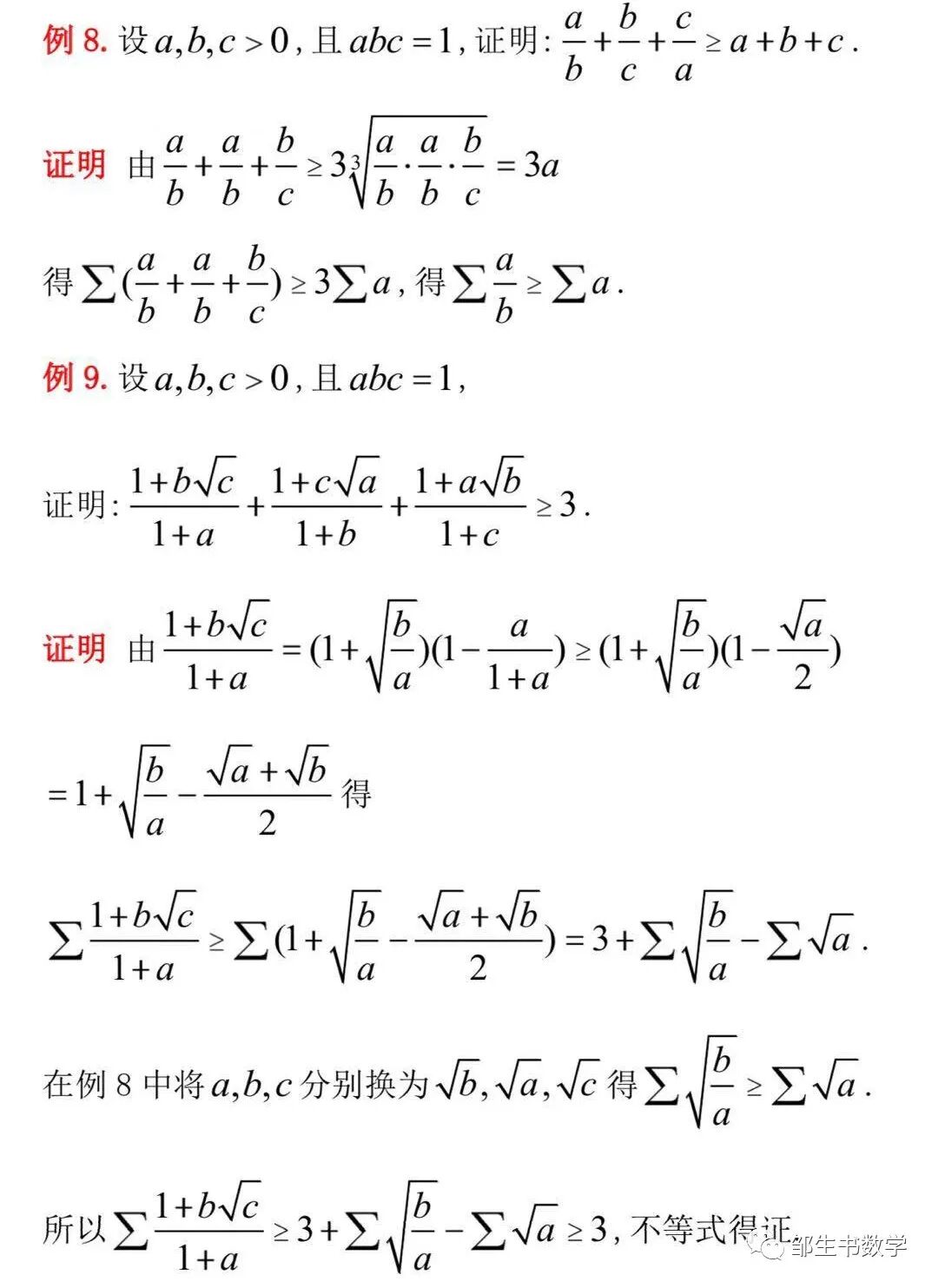
有了结论1,笔者利用柯西不等式并结合待定系数法来证明定理1.
由柯西不等式有
柯西不等式是不等式证明的强有力的工具,但在处理一些复杂的不等式问题时,往往难以直接应用柯西不等式,这就需要根据题目的结构特点来进行适当的配凑,其中关键的系数可由待定系数法得到.本文正是利用柯西不等式结合待定系数法,并由结论1得到了关键的系数-4/3,才获得了定理1的非常巧妙的证明.下面给出几个例子来说明柯西不等式结合待定系数法的思路在此类条件为abc=1的不等式证明中的应用.
利用柯西不等式证明此类条件为abc=1的不等式的关键是创设应用柯西不等式的条件,配合一定的变形、构造技巧,这样可使复杂问题简单化,达到事半功倍的效果.若所证不等式的结构较简单,注意到柯西不等式的结论中分子部分的指数为偶数,此时无需利用待定系数法,经过简单尝试和配凑即可利用柯西不等式变形,并利用结论1或均值不等式解决问题.
不等式证明往往没有通法,也没有固定的模式,方法巧妙而灵活.均值不等式和柯西不等式是两个非常重要的不等式,也是证明其他不等式常用的方法和工具.下面再给出几个条件为abc=1的不等式问题,并利用均值不等式和柯西不等式来证明.
下面摘选一些条件为abc=1的不等式,留给有兴趣的读者.
参考文献:
[1] 王永喜,李奋平.一类条件为abc=1型的竞赛题[J].中等数学,2016(11):9-11.
邓启龙,男,1987年3月出生,2005年9月至2009年6月就读于南昌大学数学与应用数学专业,2009年9月至2012年6月就读于中国科学技术大学概率论与数理统计专业,2012年至今任教于广东省中山纪念中学。在《数学通讯》《理科考试研究》《中学数学教学》《中学数学研究(广东)》《中学数学研究(江西)》发表论文近二十篇。
邓启龙老师往期文章链接:
13.邓启龙——2020年全国Ⅰ卷理科数学第20题的探究与推广
8.邓启龙——构造函数法在与导数有关的抽象函数不等式问题中的应用
5.邓启龙 ——2019年全国卷Ⅰ理科数学第23题的探究与推广
3.邓启龙——《数学通讯》2021年第4期问题489与490的解法
2.邓启龙——《数学通讯》2021年第4期问题488的三个解法
邹生书数学
2021年第一季度
最受读者欢迎的51篇数学解题文章
51.邹生书——湖北十一校联考抛物线大题的解法与极点极线背景
49.枯木逢春又再发 陈题改编创意新——兼谈多项选择题的解题技巧和命题建议
47.张国川——泉州市2021届高三质检立几题的命制与多种解法
46.洪一平等——2021汕头市高三质量检测压轴题解法大比拼
37.邹生书——圆锥曲线倾斜角互补的割线化切性质与相关问题处理技巧
35.邹生书——得分率很低的抛物线切点弦试题的多种处理方法赏析
27.邹生书:从一道抛物线试题的多种解法到圆锥曲线“伴侣点”的一个和谐性质
24.高中数学【立体几何】难点:外接球与内切球!你全部掌握了么?
23.洪 一平、邹生书——2021年广东四校联考理科第10题的解法再探讨
22.彭赛列闭合定理背景下的圆锥曲线内接三角形之内切圆半径问题
21.邹生书——从八省联考第7题例析圆锥曲线双切线问题的处理方法(完整版)
21.邹生书——从八省联考第7题例析圆锥曲线双切线问题的处理方法
19.八省联考数学试题评价与复习备考对策(附:数学试题官方参考答案)
15.邹生书——从八省联考数列大题研讨二阶线性递推数列通项公式
9.数形结合思想在高中数学中到底有多重要——读完之后我震惊了!!!
7.数学:听课感觉能听懂,为什么一做题就蒙圈?这是最好的答案!
6.邹生书——2008年高考江苏卷理科第14题的解法与背景 变式及应用
3.邹生书——圆锥曲线极点极线背景下高三百校联合测评选择题解法研讨
投稿邮箱:zoushengshu@163.com;
商务联系:13297228197。