公众号“邹生书数学”创建于2018年8月28日。
开号宗旨:为热爱学习和研究的高中数学教师和教研员搭建学习交流平台,提升教学能力,促进专业发展。本公众号致力传播数学文化,发表教研成果,交流教学经验,探讨数学问题,展示解题方法,分享教学资源,为服务高中教学作贡献。
邹生书,男,1962年12月出生,本科学历,理学士学位,中学数学高级教师,黄石市高中数学骨干教师。主要从事高中数学教学、高中数学解题研究和探究性学习等。从2007年8月到2018年8月,在《数学通讯》《数学通报》《数学教学》《中学数学》《中学数学教学》等,二十多种学术期刊上发表解题和探究性学习文章300余篇。
公众号“邹生书数学”诚请高中数学教师、教研员和热爱数学的朋友不吝赐稿。来稿请注明真实姓名、工作单位和联系方式,一般只接受word文档格式的电子稿件,文稿请认真审查,防止错漏,确保无误,文责自负。
本公众号对优秀作者和名师一般会附上“作者简介”,以让广大读者更好地了解作者的研究成果和方向,以便进一步学习作者的相关数学思想或解题方法。
投稿邮箱:zoushengshu@163.com;
商务联系:13297228197。
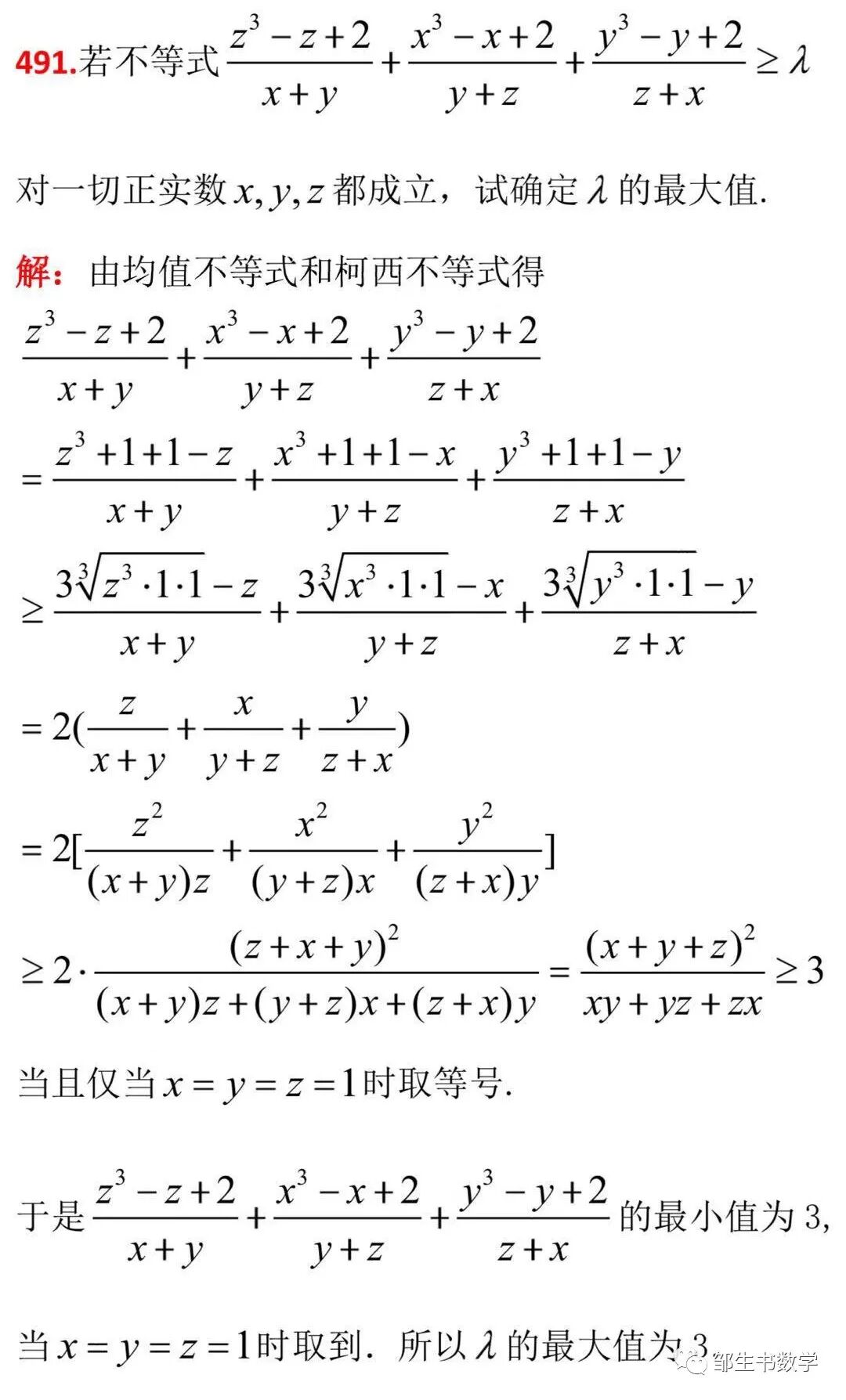
数学通讯2021第5期问题491和492解答
广东省中山纪念中学(528454)邓启龙
邓启龙,男,1987年3月出生,2005年9月至2009年6月就读于南昌大学数学与应用数学专业,2009年9月至2012年6月就读于中国科学技术大学概率论与数理统计专业,2012年至今任教于广东省中山纪念中学。在《数学通讯》《理科考试研究》《中学数学教学》《中学数学研究(广东)》《中学数学研究(江西)》发表论文近二十篇。
邓启龙老师往期文章链接:
13.邓启龙——2020年全国Ⅰ卷理科数学第20题的探究与推广
8.邓启龙——构造函数法在与导数有关的抽象函数不等式问题中的应用
5.邓启龙 ——2019年全国卷Ⅰ理科数学第23题的探究与推广
3.邓启龙——《数学通讯》2021年第4期问题489与490的解法
2.邓启龙——《数学通讯》2021年第4期问题488的三个解法
邹生书数学
2021年第一季度
最受读者欢迎的51篇数学解题文章
51.邹生书——湖北十一校联考抛物线大题的解法与极点极线背景
49.枯木逢春又再发 陈题改编创意新——兼谈多项选择题的解题技巧和命题建议
47.张国川——泉州市2021届高三质检立几题的命制与多种解法
46.洪一平等——2021汕头市高三质量检测压轴题解法大比拼
37.邹生书——圆锥曲线倾斜角互补的割线化切性质与相关问题处理技巧
35.邹生书——得分率很低的抛物线切点弦试题的多种处理方法赏析
27.邹生书:从一道抛物线试题的多种解法到圆锥曲线“伴侣点”的一个和谐性质
24.高中数学【立体几何】难点:外接球与内切球!你全部掌握了么?
23.洪 一平、邹生书——2021年广东四校联考理科第10题的解法再探讨
22.彭赛列闭合定理背景下的圆锥曲线内接三角形之内切圆半径问题
21.邹生书——从八省联考第7题例析圆锥曲线双切线问题的处理方法(完整版)
21.邹生书——从八省联考第7题例析圆锥曲线双切线问题的处理方法
19.八省联考数学试题评价与复习备考对策(附:数学试题官方参考答案)
15.邹生书——从八省联考数列大题研讨二阶线性递推数列通项公式
9.数形结合思想在高中数学中到底有多重要——读完之后我震惊了!!!
7.数学:听课感觉能听懂,为什么一做题就蒙圈?这是最好的答案!
6.邹生书——2008年高考江苏卷理科第14题的解法与背景 变式及应用
3.邹生书——圆锥曲线极点极线背景下高三百校联合测评选择题解法研讨
投稿邮箱:zoushengshu@163.com;
商务联系:13297228197。