请点击上方蓝色字体“邹生书数学”,订阅本微信公众号;请点击右上角的“…”,发送给朋友或分享到朋友圈。
公众号“邹生书数学”创建于2018年8月28日。
开号宗旨:为热爱学习和研究的高中数学教师和教研员搭建学习交流平台,提升教学能力,促进专业发展。本公众号致力传播数学文化,发表教研成果,交流教学经验,探讨数学问题,展示解题方法,分享教学资源,为服务高中教学作贡献。
邹生书,男,1962年12月出生,本科学历,理学士学位,中学数学高级教师,黄石市高中数学骨干教师。主要从事高中数学教学、高中数学解题研究和探究性学习等。从2007年8月到2018年8月,在《数学通讯》《数学通报》《数学教学》《中学数学》《中学数学教学》等,二十多种学术期刊上发表解题和探究性学习文章300余篇。
公众号“邹生书数学”诚请高中数学教师、教研员和热爱数学的朋友不吝赐稿。来稿请注明真实姓名、工作单位和联系方式,一般只接受word文档格式的电子稿件,文稿请认真审查,防止错漏,确保无误,文责自负。
本公众号对优秀作者和名师一般会附上“作者简介”,以让广大读者更好地了解作者的研究成果和方向,以便进一步学习作者的相关数学思想或解题方法。
投稿邮箱:zoushengshu@163.com;
商务联系:13297228197。
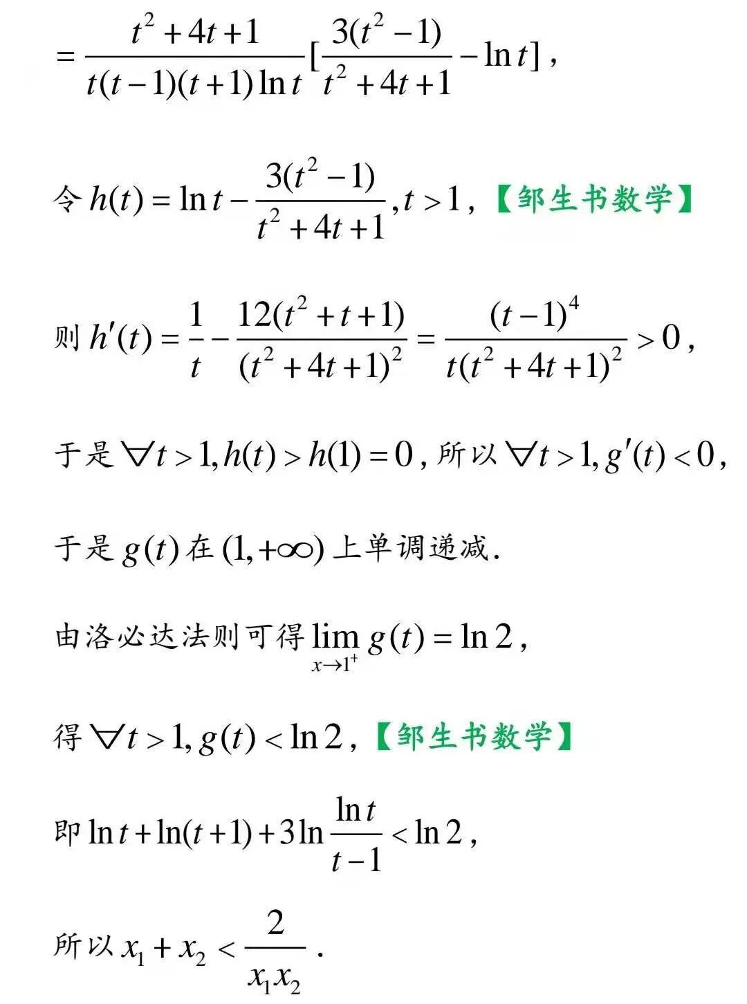
一个关于函数零点的不等式的另证
广东省中山纪念中学(528454)邓启龙
相关文章链接:
邓启龙,男,1987年3月出生,2005年9月至2009年6月就读于南昌大学数学与应用数学专业,2009年9月至2012年6月就读于中国科学技术大学概率论与数理统计专业,2012年至今任教于广东省中山纪念中学。在《数学通讯》《理科考试研究》《中学数学教学》《中学数学研究(广东)》《中学数学研究(江西)》发表论文近二十篇。
邓启龙老师往期文章链接:
36.邓启龙——《数学通讯》2021年第8期问题506至508的解答
30.邓启龙、洪一平——数学通讯第5期问题494的又三个证法
27.邓启龙——数学通讯2021第5期问题491和492解答
13.邓启龙——2020年全国Ⅰ卷理科数学第20题的探究与推广
8.邓启龙——构造函数法在与导数有关的抽象函数不等式问题中的应用
5.邓启龙 ——2019年全国卷Ⅰ理科数学第23题的探究与推广
3.邓启龙——《数学通讯》2021年第4期问题489与490的解法
2.邓启龙——《数学通讯》2021年第4期问题488的三个解法
邹生书数学
2021年第二季度
最受读者欢迎的56篇解题文章
56.金钟植——2021八省新高考数学命题分析及2022年高考备考建议
55.柴淑兰、王丽敏——审视2021高考数学全国乙卷第19题数列题
48.惠文旭 邹生书——构造多个函数解全国乙卷理科(12题)比较大小试题
45.张国川:圆锥曲线中非对称韦达式的处理策略——一道解析几何试题的多种解法
44.邹生书——2021新高考圆锥曲线压轴题的解法背景及一般性结论
41.邹生书——金太阳押题卷圆锥曲线压轴题 直线过定点这样解更精彩
37.隆建军:优化解题过程,培养思维能力——以成都市2021届高三三诊文科第20题为例
36.罗小明、刘 晖——2021年湖南师大附中5月联考22题解法探究
34.陈 勇:用思维导图解答压轴题 从通法到秒杀——2021八省联考导数试题解析
33.隆建军:突破思维方法,探究一般结论——以2020年全国高考数学山东卷第22题为例
32.隆建军——2020年全国高考数学理科I卷第21题的深层探究与教学启示
31.刘 晖、罗小明——2021年金太阳5月联考压轴题解法探究
29.张国川:百考不厌的椭圆第三定义——从泉州市2021届高三5月质检21题背景说起
27.张国川——基于直观想象下的解三角形问题 “圆”来如此精彩
21.“对数单身狗,指数找朋友”到底讲的是什么?最全面的解析在这里!!!
17.邓启龙——2020年全国Ⅰ卷理科数学第20题的探究与推广
13.邓启龙——构造函数法在与导数有关的抽象函数不等式问题中的应用
7.立体几何常见的二级结论及其应用——这些是你必须熟知的!!!
5.张国川——从一道解析几何试题谈基于问题背景视角下的解法探析
2.张国川——美丽动人的特征量e^2-1和参数t —— 一道月考解析几何试题解法思考
1.先必要后充分 反客为主 解不等式恒成立求参数取值范围问题
公众号邹生书数学
2020年9月至2020年12月最受读者欢迎的51篇数学解题文章
20191018—20200618最受读者欢迎的70篇文章链接
20191018—20200424最受读者欢迎的101篇文章链接
投稿邮箱:zoushengshu@163.com;
商务联系:13297228197。