公众号“邹生书数学”创建于2018年8月28日。
开号宗旨:为热爱学习和研究的高中数学教师和教研员搭建学习交流平台,提升教学能力,促进专业发展。本公众号致力传播数学文化,发表教研成果,交流教学经验,探讨数学问题,展示解题方法,分享教学资源,为服务高中教学作贡献。
邹生书,男,1962年12月出生,本科学历,理学士学位,中学数学高级教师,黄石市高中数学骨干教师。主要从事高中数学教学、高中数学解题研究和探究性学习等。从2007年8月到2018年8月,在《数学通讯》《数学通报》《数学教学》《中学数学》《中学数学教学》等,二十多种学术期刊上发表解题和探究性学习文章300余篇。
公众号“邹生书数学”诚请高中数学教师、教研员和热爱数学的朋友不吝赐稿。来稿请注明真实姓名、工作单位和联系方式,一般只接受word文档格式的电子稿件,文稿请认真审查,防止错漏,确保无误,文责自负。
本公众号对优秀作者和名师一般会附上“作者简介”,以让广大读者更好地了解作者的研究成果和方向,以便进一步学习作者的相关数学思想或解题方法。
投稿邮箱:zoushengshu@163.com;
商务联系:13297228197。
一道最值问题的多种解法
胡全勇 西北师大育才学校
最值问题是高中数学的重点内容,与各个知识点都会有联系,尤其与不等式联系更为紧密,而处理问题的方式方法多种多样,本文就清华大学中学生标准学术能力诊断性测试2021年10月文理卷的一道命题的多种解法予以展示,供大家参考。
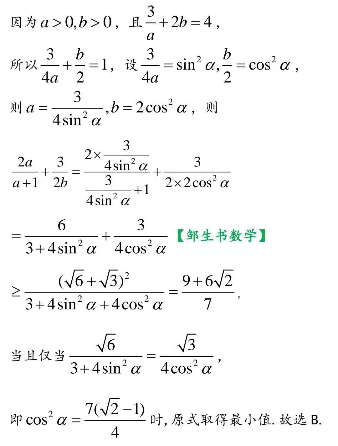
评析:此解法通过已知条件减元,转化为以b为自变量的表达式,然后巧妙运用了求基本不等式中“1”的妙用,根据基本不等式完成.
解法二:(运用柯西不等式)
解决与均值不等式有关的命题显得比较简单方便.
解法三:(权方和不等式法之一)
解法四:(权方和不等式法之二)
解法五:(权方和不等式法之三)
运用权方和不等式处理关于不等式问题,要比柯西不等式更为简便.
解法六:(运用导数法)
评析:解决函数的最值问题,如果直接法比较困难,可以考虑构造函数从函数的角度,运用导数法处理.
通过解析,挖掘出了求最值问题的常用解法,拓展了思路,可以为解决不等式起到抛砖引玉的作用.
参考文献:
【作者简介】
胡全勇,高中数学教师,毕业于西北师范大学数学专业,从事高中数学教学及研究30多年。2009年编辑出版了《高考数学技巧播放》(由甘肃科技出版社出版),后由陕师大出版社修订为《高中数学复习教程》总共发行20000册,2015年应中科大出版之约编辑出版了《高考数学高频考点及题型分类解析》,销量达到8000册,受到全国广大师生的好评。2020年由陕师大出版社出版,罗增儒教授作序的《高中数学经典问题归类解析》(上、下)出版,销量已达到近5000套。所教学生有20多人考入清华北大,有两人高考数学满分,教学方法独特,教学经验丰富,能够对不同的学生采用不同的教学方法,做到因材施教。
教研主攻方向:高中数学题型的归类总结与解法探讨。
在《教学考试》杂志发表论文《学好高中数学我的一点思考》(2021年第二期)、《探讨三角形内角平分线在解题中的妙用》(2021年第四期)。
通讯地址:甘肃省兰州市城关区鱼池口筑梦苑一号楼
邹生书数学
2021年第三季度
最受读者欢迎的46篇解题文章
46.符强如:图引方向,依形辅数——一道解析几何压轴题的解法探究
36.胡 雷、刘建东等:中科大新生入学方程有解求参数取值范围试题解法研讨
34.胡全勇、童永奇——探讨三角形内角平分线性质在解题中的妙用
21.柴淑兰、王丽敏——2020年高考全国一卷第21题 的多种解法探究
15.罗小明——例谈含对数条件式求取值范围 或最值的典型问题
14.罗小明:“圆”来如此简单——利用隐形圆求解向量模的最值问题
6.最新权威版《初高中数学衔接读本》来了!新高一的师生家长请收好!
5.邹生书——从IMO走进课本的三角形存在性探索题的拓展探究
4.邹生书——2021年新高考一卷第7题的直观解答与严谨解法
公众号邹生书数学
2020年9月至2020年12月最受读者欢迎的51篇数学解题文章
20191018—20200618最受读者欢迎的70篇文章链接
20191018—20200424最受读者欢迎的101篇文章链接
投稿邮箱:zoushengshu@163.com;
商务联系:13297228197。