《邹生书数学》创建于2018年8月28日,是由在20多种数学专业学术杂志上发表300多篇文章,有40年丰富教学经验的数学高级教师邹生书创建和主编的公众号。公众号拥有强大的作者和撰稿团队,其中“数学解题与写作交流群”和“高中数学解题交流二群”是该公众号的解题研究基地。公众号志在传播数学文化,交流解题方法,提供高考、模考和大型联考试题与解析,分享数学问题探讨等教学教研文章。公众号目前粉丝10w+,原创文章2400多篇,是高中数学教师和数学爱好者学术交流和学习的好平台,是优秀高中生的良师益友。
公众号“邹生书数学”诚请高中数学教师、教研员和热爱数学的朋友不吝赐稿。来稿请注明真实姓名、工作单位和联系方式,一般只接受word文档格式的电子稿件,文稿请认真审查,防止错漏,确保无误,文责自负。
本公众号对优秀作者和名师一般会附上“作者简介”,以让广大读者更好地了解作者的研究成果和方向,以便进一步学习作者的相关数学思想或解题方法。
投稿邮箱:zoushengshu@163.com;
商务联系:13297228197。
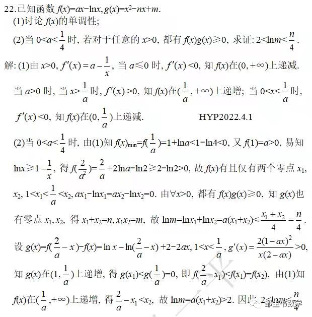
解答一道有三个参数的函数压轴题
浙江省平阳中学 洪一平
邹生书数学
2022年第1季度
最受读者欢迎的57篇解题文章
53.王安平:金太阳联考及2015全国1卷文科函数不等式证明的命题套路探析
47.邹生书:极限引领 先探后证 破解湖北八市联考直线过定点难题
36.吾布力艾山等——抛物线切点弦过定点和三角形面积最小值试题的两个经典解法
34.刘海涛 何浩成——例谈“同构”法构造函数在解题中的应用
13.王弟成:一类根与系数关系不对称解析几何题解法探究与原因探析
公众号邹生书数学
投稿邮箱:zoushengshu@163.com;
商务联系:13297228197。