《邹生书数学》创建于2018年8月28日,是由在20多种数学专业学术杂志上发表300多篇文章,有40年丰富教学经验的数学高级教师邹生书创建和主编的公众号。公众号拥有强大的作者和撰稿团队,其中“数学解题与写作交流群”和“高中数学解题交流二群”是该公众号的解题研究基地。公众号志在传播数学文化,交流解题方法,提供高考、模考和大型联考试题与解析,分享数学问题探讨等教学教研文章。公众号目前粉丝10w+,原创文章2400多篇,是高中数学教师和数学爱好者学术交流和学习的好平台,是优秀高中生的良师益友。
公众号“邹生书数学”诚请高中数学教师、教研员和热爱数学的朋友不吝赐稿。来稿请注明真实姓名、工作单位和联系方式,一般只接受word文档格式的电子稿件,文稿请认真审查,防止错漏,确保无误,文责自负。
本公众号对优秀作者和名师一般会附上“作者简介”,以让广大读者更好地了解作者的研究成果和方向,以便进一步学习作者的相关数学思想或解题方法。
投稿邮箱:zoushengshu@163.com;
商务联系:13297228197。
道法自然
让构造函数比大小来得自然些
湖北省阳新县高级中学 邹生书
道法自然,是出自《道德经》的哲学思想,意思是“道” 就是“自然而然”。“人法地、地法天、天法道、道法自然”,老子用顶针的文法,将天、地、人乃至整个宇宙的深层规律精辟涵括、阐述出来。“道法自然”揭示了整个宇宙的特性,囊括了天地间所有事物的根本属性,宇宙天地间万事万物均效法或遵循 “自然而然”的规律。
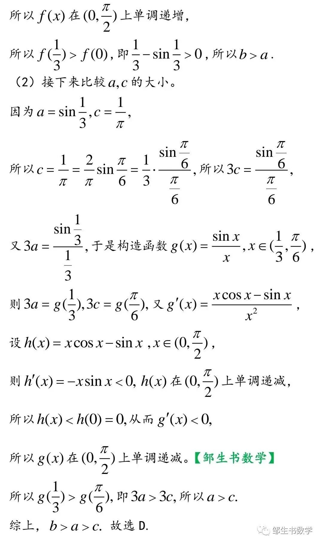
构造函数比大小是高考和模拟考的一个热点,题型主要是单项选择和多项选择题,并以压轴题来考查。近几年这类题目的出题有了一些新的变化,需要比较大小的实数非常接近,需要构造的函数由原来的较为显性变得较为隐藏,题目难度增大。对于这类构造函数比较精细的大小比较问题,本公众号推出了多篇文章,但总有些意犹未尽的感觉。读者感觉构造的函数过于神秘,好象是天上掉下的林妹妹,来得不大自然,给人难得其法难悟其道的感觉,这个同构函数是怎么想出来的?怎样使得构造函数比大小来得自然些。本文笔者通过高考和模拟考中的比大小试题,详细解读如何构造函数解决两大类实数比大小问题,希望能给大家有所帮助。
一、观察数据微妙关系,构建函数比较大小
点评:上述两种解法中构造函数较为容易想到,难点和关键是根据单调性取点比较。这里取2/3恰到好处。
二、双向对照互变形,同构函数比大小
你看我,我看你,相互对照互变形,你变成我的样子,我变成你的模样,一模一样同构成。
邹生书数学
2022年第1季度
最受读者欢迎的57篇解题文章
53.王安平:金太阳联考及2015全国1卷文科函数不等式证明的命题套路探析
47.邹生书:极限引领 先探后证 破解湖北八市联考直线过定点难题
36.吾布力艾山等——抛物线切点弦过定点和三角形面积最小值试题的两个经典解法
34.刘海涛 何浩成——例谈“同构”法构造函数在解题中的应用
13.王弟成:一类根与系数关系不对称解析几何题解法探究与原因探析
公众号邹生书数学
投稿邮箱:zoushengshu@163.com;
商务联系:13297228197。
Send to Author