The following article is from 中华结核和呼吸杂志 Author 中华医学会杂志社
关注中华结核和呼吸杂志,随时获取本杂志的相关资讯
摘要
脉冲振荡(IOS)检查技术是一种基于强迫振荡技术的测量呼吸阻力的方法,检查过程中患者仅需自然平静呼吸,操作简便,适用人群广泛,提供呼吸生理参数丰富。为促进IOS检查在我国的规范化应用和推广,本文结合了国内外相关研究报道并参照国外指南建议,对IOS检查规范的制定背景、适应证和禁忌证、仪器校准、检查方法和标准操作流程、可接受测试和重复性等质量控制要求、各检查指标及图形含义、检查结果解读、预计值及正常值参考范围、报告格式模板以及在评估气道通畅性、气道可逆性及反应性、小气道功能及新兴研究等方面的临床应用等进行了详细的介绍,对相关诊断和评估阈值给予了建议。
脉冲振荡(impulse oscillometry,IOS)检查技术是一种无创、非用力依赖的测量气道阻力等呼吸系统力学特性的方法。其检查原理基于强迫振荡技术(force impulse oscillometry,FOT),即在自然平静呼吸过程中给呼吸系统外加振荡波(压力信号),并测量呼吸系统在该振荡压力信号下产生的对应流量变化,振荡压力与流量的比值即为呼吸系统阻抗[1, 2]。1956年FOT被首次应用于呼吸阻抗的测量[3],随着技术的不断改进,先后发展出单频正弦信号、多频信号、伪随机信号、矩形脉冲信号等振荡技术[4, 5],其中使用矩形脉冲信号并经傅里叶转换为不同频率正弦波的FOT测量即为IOS检查。
IOS法测量气道阻力的过程中受检者仅需平静呼吸,无需用力或浅快等呼吸动作,且仪器构造简单,无需体积庞大的体描箱,因此其适用人群广泛,尤其适用于无法完成肺量计检查等传统肺功能检查的受检者,如老年人、儿童及重症患者等,且提供丰富的呼吸生理指标(黏性阻力、弹性阻力和惯性阻力)可更深入掌握呼吸疾病的功能变化,具有良好的应用前景。
IOS检查在我国应用已有20余年,相关的研究报道已超300篇[6],但因一直缺乏技术规范的指导,部分研究质量欠佳,研究结果的可靠性和可比性堪忧,也影响了其在临床上的应用推广。欧洲呼吸协会(ERS)曾发布[1]和更新[7]了FOT技术规范。近年来,我国呼吸专业学会等制定了一系列肺功能检查指南[8, 9, 10],对规范化应用、结果解读及强化肺功能检查质量控制等起到了重要的促进作用。作为该系列之一,本规范通过整合国内外研究报道,借鉴ERS的FOT技术规范,对IOS检查的适应证、禁忌证、检查方法、质量控制标准、结果解读、报告单格式及临床应用等方面提出建议,旨在促进IOS检查在我国的规范化应用和推广。本文主要针对目前应用最广泛的IOS检查制定相关规范,其他FOT测量的操作要求及结果评估等也可资参考。
一、适应证和禁忌证
1. 适应证:了解气道通畅性和呼吸力学变化,如支气管哮喘(简称哮喘)、慢性阻塞性肺疾病(简称慢阻肺)、气管和支气管肿瘤或异物等;气道阻塞的可逆性改变和支气管舒张剂作用的评价;气道反应性检查和支气管激发剂作用的评价;小气道功能评价;主观上或因病情因素等无法配合肺量计检查者[4]。
2. 禁忌证:呼吸困难严重无法耐受、呼吸道感染急性发作期、癫痫病情未控制、口腔或颜面部疾病或畸形不能正确含接咬口、鼓膜穿孔、需持续氧疗或留置胃管、气管切开无法封管、正在使用人工通气治疗且无法临时停机[4,11]。
二、检查方法以及质量控制标准
(一)仪器校准
1. 仪器厂商校准:IOS技术检查测量系统应符合一定的技术要求[7]。出厂前厂商应负责传感器的静态定标和动态定标,以补偿仪器的频率响应和共模抑制比。
2. 用户校准:包括容积校准和阻抗验证两部分。容积校准的操作方法和质量控制要求与肺量计检查的一致。每天应进行阻抗验证,即用已知阻抗大小的测试负载进行阻抗测量,以评估阻抗测量的误差大小,要求误差范围应≤±10%或±0.01 kPa·s·L-1,达到两项要求之一即可[7]。当测试环境条件变化较大时,也应再次进行以上的校准和验证流程。
3. 其他:生物人对照、呼吸模拟器等可验证仪器的稳定性及检测性能。
(二)检查流程
1. 检查前:①测量和记录受检者身高和体重,性别、出生日期。②询问受检者病史及用药史。基线检查前按要求[9]停用支气管舒张剂,对已用药者应在报告中备注说明。③IOS检查应在需要进行深呼吸的检查(如肺量计、弥散功能检查)之前进行,或在这些检查后至少休息5 min再进行本检查。④测量前应向受检者进行详细的解释和指导,包括说明测量的流程及测量中的感觉、测量时间、重复测量次数和注意事项,并在正式检查前先行呼吸练习,以适应叠加的振荡压力并调整至合适的呼吸频率和潮气量。⑤测量体位和姿势:取坐位,挺胸坐直,头保持水平或稍向上仰,避免头颈弯曲以增加上气道阻力。夹鼻夹,口唇包紧咬口器避免漏气,避免舌头堵塞。双手以掌心或四指并拢轻压双颊,拇指在颌下支撑口腔底部,以尽量减少测量过程中脸颊的振动。对双手不能同时抬起者或儿童需由技术员或家属协助压脸颊。
2. 检查中:进入测量界面,确认仪器自动调零完成,基线归零、平稳。启动测量,当观察到受检者均匀平稳的呼吸时,启动数据采集,受检者全程需在功能残气位放松、均匀、平稳地呼吸。12岁及以上的儿童和成人的数据采集时间不少于30 s,12岁以下儿童不少于16 s[7]。每位受检者至少进行3次重复测量,保留配合良好且重复性佳的3次可接受测试,取平均值进行判读[7]。
IOS检查的流程见图1。
(三)质量控制要求
1. 可接受测试:主要依据实时显示的容积-阻抗曲线、流量和压力曲线判断,截取一段至少包含3个呼吸周期、采集时间段内潮气量和呼吸频率稳定、容积曲线无停顿或偏移、阻抗曲线无突然变化或出现尖峰样伪迹。
2. 重复性要求:3次可接受测试的重复性要求为:最低振荡频率下阻力Rrs(如R5)的变异系数(CoV)成人应≤10%,儿童应≤15%[7]。超出该重复性要求的测量情况应在报告中进行备注说明。
三、结果解读
(一)结果指标
1. 呼吸系统阻抗(Zrs):振荡检查中外加振荡产生的压力信号与流量信号的比值[2,7],由阻力(Rrs)和电抗(Xrs)两部分的矢量和构成。低频呼吸阻抗反映的是呼吸系统整体(气道、肺及胸廓)的力学特性;高频呼吸阻抗反映的是中心气道的力学特性。临床上常把5 Hz下的呼吸阻抗(Z5)称为总呼吸阻抗。
2. 呼吸系统阻力(Rrs):表示Zrs中压力与流量变化同相位的部分,反映呼吸力学系统中黏性阻力。正常情况下,肺和胸廓组织产生的黏性阻力较小可忽略不计,此时Rrs可近似于气道阻力,在相同流量的情况下,其大小主要取决于气道内径。Rrs亦受通气分布不均影响,小气道病变时气管树中通气分布不均增加,可引起Rrs增高[7]。①5 Hz下的阻力(R5):反映呼吸系统总的黏性阻力,因以气道阻力为主,也称为总气道阻力。②20 Hz下的阻力(R20):反映中心气道阻力。③5 Hz与20 Hz下阻力的差值(R5-R20):反映阻力的频率依赖性,即Rrs在振荡频率逐渐增高时的变化。健康成人中Rrs无频率依赖性,R5-R20较小。外周气道阻塞时,总气道阻力R5增高,而中心气道阻力R20无明显增高,Rrs随着频率的增高而降低即呈负向频率依赖性,R5-R20增高,此亦见于幼龄健康儿童。
3. 呼吸系统电抗(Xrs):呼吸系统电抗(Xrs):反映的是Zrs中压力与流量变化异相位的部分。其中流量变化超前于压力变化反映呼吸力学中的弹性阻力Ers(Elastance),流量变化滞后于压力变化反映的是惯性阻力Irs(Inertance)。正常情况下惯性阻力主要存在于中心气道,而弹性阻力主要存在于胸壁、肺和外周气道,因此低频率Xrs以Ers为主,高频率Xrs以Irs为主,Xrs随着频率的增高而增大,呈正向频率依赖性[7,12]。(1)5 Hz下的电抗(X5)反映呼吸系统总的弹性阻力,因以肺和胸廓的弹性阻力为主,常称为外周弹性阻力,也包括气道和肺泡里的气体压缩性。X5一般为负值,负值越大表示弹性阻力越大。间质性肺疾病患者由于肺间质增生及纤维化,呼吸系统的顺应性下降,弹性阻力增大,因此X5下降(|X5|增加)。慢阻肺患者因肺气肿的存在,其静态顺应性增大,但由于同时存在气道阻塞,其动态顺应性降低,X5也呈下降,且在气道阻塞严重的患者中,其X5下降的程度可较间质性肺疾病患者显著得多[2,7,12]。(2)惯性阻力(Irs)指气流进出气道,在启动、变速、换向时因气流和胸肺组织惯性所产生的阻止气体流动的力[12]。Irs包括气道部分和胸肺部分的惯性阻力,正常情况下胸肺部分的惯性阻力较小,因此Irs以中心气道惯性阻力为主,在高频率下较为显著[7]。
4. 共振频率(fres):惯性阻力和弹性阻力的方向相反,当两者大小相等、互相抵消时,Xrs为零的频率。年幼儿童的fres可>30 Hz,并随着年龄增加而降低,正常成人的fres一般为8~12 Hz[7]。气道阻塞性病变和间质性肺疾病均可引起X5的下降而导致fres增加。fres为IOS检查诊断慢阻肺患者的最佳指标[13]。
5. 电抗面积(AX):5 Hz到fres之间的Xrs-f频率曲线与水平0轴所围成的面积。AX是低频电抗的整合。对哮喘患儿的研究发现AX较肺量计指标具有更敏感地识别和预测未控制哮喘的能力[14]。
IOS检查中常用的指标以及在阻塞性和限制性肺疾病中的表现见表1。
(二)图形
1. 潮气呼吸阻抗图:主要用于评估测量过程的质量控制。呼吸不均匀、吞咽、咳嗽、漏气等均可在容积及阻抗曲线中产生相应的表现(图2)。
图2 潮气呼吸容积阻抗图。上方曲线为呼吸过程中的容积变化,下方曲线为呼吸阻抗(Z5)变化,曲线1、2、3表示3次重复测量的曲线,曲线3中出现明显的“尖峰”样伪迹
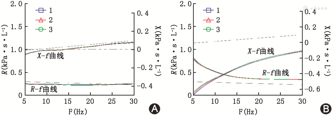
2. 频谱分析图:反映呼吸阻抗随振荡频率的变化(图3),即频率依赖性。正常成人的Rrs不存在频率依赖性,其Rrs-f曲线较为平坦;Xrs-f曲线随着频率的增加由负值逐渐转为正值。在外周气道阻塞的患者中,外周气道阻力增高导致总气道阻力(R5)增高,而中心气道阻力(R20)无增高,因此Rrs-f曲线表现为低频处抬高,随着频率的增加Rrs逐渐降低,即负向频率依赖性;X5下降,fres和AX均增加,Xrs-f曲线向下、右移。通过观察多次测量后的阻抗-频率曲线,还可评估测量的整体重复性。
图3 IOS频谱分析图,图A、图B分别为正常成人和外周气道阻塞患者。曲线1、2、3表示3次重复测量的曲线,虚线为正常参考值
3. 阻抗容积图:反映每次呼吸周期中阻抗随容积的变化(图4)。正常人在平静呼吸时吸气阻抗和呼气阻抗接近,变化不大,呈现扁平横条。气道陷闭患者如慢阻肺患者由于其呼气相阻力明显高于吸气相阻力,呈现为一空心的三角形或多边形。
图4 正常人和气道陷闭者的阻抗容积图,图形1、2、3表示3次重复测量
4. 结构参数图:将呼吸系统的黏性阻力、惯性阻力和顺应性等效于物理电力学模型的电阻(R)、电感(L)和电容(C),IOS测量的数据可计算出多个呼吸力学参数,并以结构图式显示(图5)。结构参数图结合了传统呼吸力学指标,使测量结果更直观和易于理解,但等效假设仍待证实,且缺乏各指标的预计值大小或正常范围,难以判读异常程度[4,12]。
图5 结构参数图。红色的对称三角形代表呼吸系统阻力,包括中心气道阻力(Rz)和外周气道阻力(Rp);蓝色的弧形条代表顺应性(C),包括口腔顺应性(Cm)、支气管顺应性(Cb)和肺顺应性(Cl);黑色小方块表示惯性阻力(Lz);右侧绿色的长弧形条表示肺和胸廓的弹性阻力(Ers)。各指标代表图形的面积越大,提示该指标的值越大。图中央的圆圈表示容积,由外至内的3个圆圈分别表示肺总量(TLC)、功能残气量(FRC)和残气容积(RV)
(三)正常参考值范围
呼吸阻抗主要受身高和性别因素影响,青少年中也受年龄影响。建议使用经性别和身高等因素校正的预计值方程及其正常上、下限(ULN/LLN)或Z值作为正常参考值范围[7]。国内已通过多中心研究建立了IOS成人预计值方程及正常参考值范围(附表1、2)[15],可供临床及科研使用,但我国儿童的预计值方程仅有基于我国局部地区数据建立的方程[6,16, 17, 18, 19, 20, 21, 22],统一的儿童预计值方程仍待进一步研究建立。
四、结果报告
标准格式化的结果报告有利于质控及医院间的交流。附件中的附图1和附图2为IOS法呼吸阻抗检查和相应的支气管舒张试验的报告模板。各实验室可根据自身需求增、减列出的检查指标,或自行设计报告格式,但应符合我国肺功能检查规范化报告[10]的格式要求,且需额外注意以下原则:(1)若预计值公式可提供相关数据,建议在报告中列出各结果指标的预计值、ULN和(或)LLN、实测值占预计值的百分比、实测值和Z值。若进行了支气管舒张试验,应列出舒张后的实测值、Z值和舒张后的变化率[7]。(2)考虑到潮气量和呼吸频率对测量结果可能产生的影响,建议列出测量过程中的潮气量和呼吸频率作为检查的质量控制指标。(3)结果指标中应列出3次测量R5的变异系数,以便评估重复性。
五、临床应用
(一)评估气道通畅性
IOS检查的优势之一在于操作简便,受检者也较易配合,因此特别适用于无法配合完成肺量计等传统肺功能检查项目的受检者,且其提供的参数包括呼吸阻力、顺应性及惯性等多维度力学指标,较肺量计的流量和容积变化更为丰富,利于更充分了解气道的通畅性。需要注意的是,由于IOS检查与肺量计检查测量原理和测量时呼吸状态的不同,两者的结果可能不完全一致[23]。IOS测定的变异度也较肺量计为大[24]。因此,IOS检查可与传统肺功能检查互补,而非替代,在结果解读时也需考虑其技术特性所产生的影响。
(二)评估气道反应性
可用于支气管舒张剂或激发剂的气道反应性评价,尤其适用于幼儿等无法配合进行用力呼气动作的受检者。
1. 支气管舒张试验:支气管舒张剂可扩张气道管径,减轻气体陷闭和肺过度充气,前者(常见于哮喘)导致Rrs降低,Xrs负值减小,后者(常见于慢阻肺)则导致Rrs增加,负值增大。因此,Rrs和Xrs的支气管扩张反应在解读时需综合考虑可能的生理变化,且与用肺量计测定的反应可能存在差异。基于此,IOS法舒张试验的合理阳性界值应来源于对健康人群的95%正常上限的研究,而非与肺量计法舒张试验结果的对比。建议IOS检查指标用于成人和儿童支气管舒张试验的阳性界值为Rrs降低40%,Xrs增加50%以及AX降低80%[7]。
2. 支气管激发试验:目前大多数关于IOS法支气管激发试验阳性界值的研究均是与肺量计测定的结果进行对比,且不同研究的结论差异较大,如对R5建议的阳性变化率为20%~85%不等[25, 26, 27, 28, 29, 30, 31],因此无法形成一个较统一、合理的标准。在更合适的研究证据出现之前,暂推荐沿用目前较常采用的界值,即R5增高超过50%为阳性。相比肺量计法激发试验,IOS法激发试验与激发中症状的相关性更好,如部分受试者在激发试验中出现了症状,没有伴随FEV1的变化,而Rrs和AX却发生了变化[32, 33]。
(三)评估小气道功能
IOS检查的另一优势在于对外周气道阻塞病变较敏感,R5-R20和fres等指标为临床和科研中评估小气道功能的常用指标[34]。当外周气道收缩约40%时,R5-R20开始出现显著增高[35]。对重度吸烟者及早期慢阻肺患者的研究显示,R5-R20和fres可识别基于EB-OCT(支气管内光学相干成像技术)诊断的小气道功能障碍,其诊断效能较MMEF高,提示IOS检查或可作为小气道功能障碍的筛查工具[36]。此外,IOS检查还可作为小气道功能的评估工具而用于临床疗效的评价中,如在N-乙酰半胱氨酸治疗慢阻肺的临床试验中发现,虽然用药后FEV1无改善,但MMEF和IOS指标表现出改善[37]。对哮喘患儿的研究显示,R5-R20和AX较MMEF等肺量计指标可更好地区分哮喘控制与未控制患儿,并预测其2~3个月后急性发作的风险,该作用也可能与IOS能更敏感地识别和评估哮喘患者的小气道功能有关[38]。
(四)新兴的应用研究及未来展望
除常规应用外,技术的改进和数据分析方法的发展也促进了IOS检查的新兴应用研究。呼吸周期内的阻抗分析可更细致地分析呼吸疾病的病理生理状态。吸气相和呼气相X5的差值可作为评估慢阻肺患者是否存在呼气流量受限的指标[39],并可以此指导调整慢阻肺患者使用无创机械通气的压力水平[40]。便携式的振荡测量仪可用于哮喘患者在家中的日常监测,监测的数据可协助哮喘的诊断、评估治疗反应和临床分型[41]。通过对测量仪器的特殊设置,IOS检查还可用于常规肺功能检查无法应用的临床场景,包括在婴幼儿[42]和在机械通气[43, 44, 45]中的应用。这些研究方向为IOS检查未来的临床应用提供了广阔的前景。但在推广至临床实践前,IOS检查仍亟需完善质量控制标准(包括潮气量和呼吸频率对测量结果的影响)、仪器硬件和软件设置的标准化、正常范围建立和异常阈值判断,临床检测结果的合理解读及更多直接、可靠的证据。
随着IOS检查在仪器性能和测量质控方面的提高与标准化以及在临床应用中的深入研究,相信IOS检查将为呼吸疾病的诊疗提供广阔的应用前景。
执笔人:梁晓林,高怡,郑劲平
撰写组专家(按姓氏汉语拼音顺序排列):艾涛(成都市妇女儿童中心医院);蔡珊(中南大学湘雅二医院);操敏(首都医科大学附属北京胸科医院);曹洁(天津医科大学总医院);曹璐(解放军总医院第一医学中心);陈芳(浙江省中医院);陈海娟(西安交通大学第二附属医院);陈淑靖(复旦大学附属中山医院);陈亚红(北京大学第三医院);陈智鸿(复旦大学附属中山医院);程克斌(上海市肺科医院);戴然然(上海交通大学医学院附属瑞金医院);戴元荣(温州医科大学附属第二医院);盖晓燕(北京大学第三医院);高鹏(吉林大学第二医院);高怡[广州医科大学附属第一医院广州呼吸健康研究院(呼吸疾病国家重点实验室、国家呼吸疾病临床医学研究中心)];郭健(同济大学附属上海市肺科医院);过依(上海交通大学医学院附属瑞金医院);韩文(山西白求恩医院 山西医学科学院);何桦(广州市第一人民医院);和平(西安交通大学第二附属医院);黄刚(浙江大学医学院附属第二医院);贾慧英(新疆维吾尔自治区人民医院);江德鹏(重庆医科大学附属第二医院);蒋捍东(上海交通大学医学院附属仁济医院);孔玉红(内蒙古包钢医院);赖莉芬(解放军总医院第一医学中心);李飞(苏州大学附属第一医院);李莉(天津大学海河医院);李梅华(广西医科大学第一附属医院);李勇(中日友好医院);梁斌苗(四川大学华西医院);刘传合(首都儿科研究所附属儿童医院);刘锦铭(上海市肺科医院);逯勇(首都医科大学附属北京朝阳医院);马千里(重庆北部宽仁医院);苗丽君(郑州大学第一附属医院);庞敏(山西医科大学第一医院);彭毅(华中科技大学同济医学院附属协和医院);秦岭(中南大学湘雅医院);阙呈立(北京大学第一医院);沈北兰[广州医科大学附属第一医院广州呼吸健康研究院(呼吸疾病国家重点实验室、国家呼吸疾病临床医学研究中心)];沈瑶(复旦大学附属中山医院);宋元林(复旦大学附属中山医院);孙培莉(南京医科大学第一附属附院);孙铁英(北京医院);孙兴国(中国医学科学院阜外医院);所鸿(内蒙古医科大学附属医院);田新瑞(山西医科大学第二医院);王静(山东第一医科大学附属省立医院);谢燕清[广州医科大学附属第一医院广州呼吸健康研究院(呼吸疾病国家重点实验室、国家呼吸疾病临床医学研究中心)];辛秀琴(吉林大学第二医院);熊维宁(上海交通大学医学院附属第九人民医院);徐彦彦(云南省第一人民医院);徐远达(广州医科大学附属第一医院);颜春松(南昌大学第二附属医院);杨丹蕾(华中科技大学同济医学院附属同济医院);杨卫江(新疆医科大学附属附属中医医院);杨翼萌(北京医院);姚一楠(浙江大学医学院附属第一医院);于娜(中国医科大学附属第一医院);余莉(同济大学附属同济医院);袁雅冬(河北医科大学第二医院);张程(贵州省人民医院);张旭华(宁夏医科大学总医院);赵桂华(河南省人民医院);赵海金(南方医科大学南方医院);赵海涛(北部战区总医院);赵伟(新疆医科大学附属第一医院);赵伟业(青岛市市立医院);郑春燕(山东大学齐鲁医院);郑冠英(福建省立医院);郑劲平[广州医科大学附属第一医院广州呼吸健康研究院(呼吸疾病国家重点实验室、国家呼吸疾病临床医学研究中心)];周明娟(广东省中医院);周宁(天津医科大学总医院);周怡(解放军总医院第八医学中心);邹义敏(浙江大学医学院附属第二医院)
参考文献(略)
附件1 脉冲振荡检查指标成人预计值方程及正常参考值范围[15]
男性和女性预计值方程见附表1和附表2。正常参考值范围计算方法:ULN=预计值+1.645 × RSD(Z5、Rrs适用);ULN=预计值 × 10 ^ (1.645×RSD)(fres、AX适用);LLN=预计值-1.645 × RSD(X5适用);Z值=(实测值-预计值)/RSD(Z5、Rrs、X5适用);Z值=(log10实测值-log10预计值)/RSD(fres、AX适用)。判读方法:对于仅有正常上限(ULN)的指标(如Z5、Rrs、fres、AX等),实测值>ULN或Z值>1.645即为指标增高;对于仅有正常下限(LLN)的指标(如X5等),实测值<lln或z值<-1.645即为指标降低。
附图1:脉冲振荡法呼吸阻抗检查报告单格式范例
附图2:脉冲振荡法支气管舒张试验报告单格式范例
本报告为一基础模板,各实验室可根据自身需求增加所列出的结果指标及图形。*指在仪器条件允许下,建议列出的指标。
作者:中国医师协会呼吸医师分会肺功能与临床呼吸生理工作委员会 中华医学会呼吸病学分会肺功能学组 中国老年医学会呼吸分会肺功能学组;通信作者:郑劲平,国家呼吸疾病临床医学研究中心 呼吸疾病国家重点实验室广州呼吸健康研究院 广州医科大学附属第一医院
引用本文: 中国医师协会呼吸医师分会肺功能与临床呼吸生理工作委员会, 中华医学会呼吸病学分会肺功能学组, 中国老年医学会呼吸分会肺功能学组. 肺功能检查技术规范——脉冲振荡技术检查 [J] . 中华结核和呼吸杂志, 2022, 45(10) : 960-969. DOI: 10.3760/cma.j.cn112147-20220127-00080.
本文转载自订阅号「中华结核和呼吸杂志」(ID:cmjlung)
* 文章仅供医疗卫生相关从业者阅读参考
本文完
责编:Jerry
推荐阅读
1
《柳叶刀》发表重大报告:应根据主要危险因素将慢性阻塞性肺病分为五种不同类型,以引起人们对早期干预和预防所能发挥潜力的关注
2
3
关注我们
点击文末「阅读原文」,进入《呼吸界》官方网站