三部曲-实际应用 | 神奇的水雾点放技术

2017-12-14 吴宏毅 橙色救援 橙色救援

 作者丨吴宏毅

编辑璇娥     修改丨橙Sir 


1.写在前面


之前发表了两篇水雾点放的文章,已经对水的冷却效果作了很详细的解释,本篇文章接下来就是要告诉大家,「中性面」如何变化?如何能够让中性面在点放之后上升?本篇文章的公式更多,为了让大家不至于眼花撩乱,我先把结论写在前面啰。


中性面变化的讨论
Stefan Särdqvist博士在Water and Other Extinguishing Agents (电子书可以联系橙Sir获取)中提供了「在烟热层冷却过程中体积变化」的数学式。他的内容包括「水接触到热表面而气化」、「水在烟热层中气化」、「烟热层降温程度」等三种状况体积变化百分比的图表。


该图显示出整体烟热层体积膨胀或收缩变化取决于在降温过程中「在烟层中气化的水滴」「接触像墙或天花板的热表面而气化的水滴」两者之间的百分比。



上图表示假设100%的水雾在烟热层中气化,那么最后水蒸气与烟热层的总体积是一开始烟热层体积的79%;假如有33.3%的水雾在烟热层中气化,而有70%的水雾因为接触到热表面而气化(像天花板、墙等),那么最后的总体积几乎等于一开始的体积;然而,假如有低于33.3%的水雾在烟热层中气化,而剩余的水滴在接触到热表面而气化,那么冷却后的总体积就会增加。


因此,若能结合好的技巧以及适当的流量,大于33.3%的水滴在烟热层中气化,将可产生至少3%(如例3)到27%的烟热层体积减少。当然,还是要切记,火场可是比这里的文章分析的还要复杂,当点放时,尽量避免喷射到墙壁或天花板,将可以有机会让中性面提升。

要了解为何会这样,就要了解理想气体定律以及愿意去了解其中的物理规律。不明白的地方可以联系橙Sir微信firebuger进行探讨,以下便是针对上述结果作一数理上的解释。


2.运用理想气体方程式


如同之前的概念一样,我们要计算烟热层体积在冷却前及冷却后的变化,便需要用理想气体方程式来做检验。等式如下:



首先我们先讨论烟热层冷却前后的压力(P)变化。火场中的压力差异牵涉两个因素,一个是「火场内冷却前后压力的差别」,一个是「烟气流动所造成的压力差」。之前发在橙色救援战训1群里的,香港消防员关于登高车使用的心得,也介绍了这个物理现象。内容如下图:

因为火场中烟热流无论体积如何的变化,它多余的压力会顺着开口或缝隙向邻近的房间平衡压力,因此火场冷却前后的压力是相等的;而至于火场中因烟层流动所造成的压力差,在NFPA标准92A「Smoke Control Systems Using Barriers and Pressure Differences (利用障碍或压力差来控制烟流)」(2009)中提到,当一个没有喷淋系统、天花板高度2.7m的建筑物内,24.9Pa(0.0036psi)的压力差,即可控制烟流并防止它流窜到相对安全区(如梯间等)


1大气压力等于101325Pa(14.7psi),也就是说在一个火场的空间内,相较于1个大气压,烟流变化的压力几乎可以省略。因此在这里,我们可以将P1及P2视为相等。而万有气体常数(R)在所有的理想气体中也是相同的,因此在P及R这两个值省略后,上式可写成如下:




3.关键在于水在哪里气化   


当水点放到烟热层时,热能会向水转移,降低烟热层的温度,并提升水的温度达到沸点、气化成水蒸气,然后水蒸气温度继续上升,当烟热层的绝对温度下降时,它的体积也会减少。然而,当水的绝对温度达到沸点时以及变成水蒸气时,它的体积是会增加的。因此,中性面下降或上升的关键在于水在哪里气化


水在烟热层气化,气化潜热将吸收热烟的能量,降低它的绝对温度。然而,一旦水穿越烟热层,在触碰到上层热表面(像墙、天花板等)而气化时,气化潜热将会吸收到热表面的热量,烟层的降温就不明显,也不会明显的降低其体积。虽然之后气化所产生的水蒸气也是可以吸收烟热层的热量,但是那个效果远低于气化潜热,因为水蒸气的比热远比气化潜热来的低。


另外,在以下的讨论中,部分因开口的热对流及空间表面或其他建筑材料热传导的能量损失等,这些因素则不纳入分析本热量移转的考虑因子。在这个分析中,是界定以「绝热系统」来进行分析讨论,也就是单纯考虑水雾与烟热层之间的能量移转,以便取得较明确的解答。


4.深入的计算


我们仍然利用之前的模型来讨论水雾冷却数理上的解释。当然,计算的概念还是一样,计算水有多少能量转移、需要多少水量等。然而,因为以下的计算需要用到理想气体方程式,因此我们须把原本KJ/Kg的单位换成J/mol,以减少一些不必要的变量。换算式如下:



接下来,我们定义几个变量及数值:



接着,让我们来针对「烟热层的转移能量」=「水吸收的能量」来写等式,具体公示如下:


在这里,橙Sir先做个说明:水吸收的能量包括两部分的水,一部分是烟层中的水吸热气化,一部分是热表面的水蒸气吸热升温至温度平衡。其中烟层中的水没有100%吸热,因为有的没有汽化,有的从烟层中穿过或掉落,所以有个百分比b的问题。而热表面的水是汽化以后的水,所以没有这个问题。



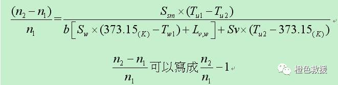
为了使计算单纯化,我们假设水滴点放进入烟雾层中只有两种变化,一个就是水滴在烟层中气化,一种就是完全在热表面中加热气化,因此上式中并未将「在水滴穿越烟热层吸收部分热后再接触到热表面而气化」的项目考虑在内。(n2-n1)即是将「烟热层冷却后的摩尔数及水蒸气摩尔数」减去「一开始烟热层的摩尔数」,就等于提供出水蒸气的摩尔数。



事实上,在这个式子内,因为火场的烟热层变化很大,因此烟层的摩尔数n1是很难定义出来的,因为摩尔数是由分子量决定的,而烟层中的分子量很难计算。所以,我们必须想办法将n1取代成其他变量如下:



所以上式可以再修正为:



因为我们要把n1取代掉,还记得之前理想气体的式子吗?


所以可以取代如下式:



这个公式看来相当复杂,但是其实很多值都是定常数,像水的比热(Sw)、水蒸气的气化潜热(Lvw)、水蒸气的比热(Sv)。在将这些定常数带入后,剩下的变数便剩下冷却前及冷却后的烟热层温度水在烟热层中气化的百分比(b)。而计算出来的体积比即是降温前后体积的变化,亦是中性面的变化。



5.举例说明


当要解释这个公式很重要时,最有效的方法就是举出能让人了解且有用的例子。在下面每个例子中,皆假设一开始的烟热层温度都是773.15K(500℃),起始的冷却水温度为293.15 K(20℃),然后最后的烟热层平衡温度为473.15 K (200℃)。


例1:所有的(100%)水都在烟热层中气化。



在上述的例子中所有的水都在烟热层气化,那么上层的体积就会减少27%而剩下73%,中性面会上升。这说明在理想的状况下,可以对烟层降温,同时可以提升中性面,但实际中很难实现。


例2:0%的水在烟热层气化,所有的水在接触到热表面后气化。



在上述的例子,没有水在烟热层中气化,所有的水都在接触热表面后气化,这时整体烟热层体积会变为2倍。如果一开始烟热层的体积大于整个空间的一半以上,那么整个房间会充满200℃(473.15 K)热烟及水蒸气,并产生一个危险的环境使消防人员受困在其中。这也就是为何当人在室内时或是有可能有人员受困的空间内,不适合使用间接式灭火攻击(射击火点上方墙壁的攻击法)。

例3:1/3的水(33.3%)在烟热层中气化,66.6%的水在接触到热表面后气化。



在上述的例子,烟热层体积没什么改变(0.97),但是烟热层温度明显下降。假如消防员在降温前的中性面已有足够的空间供其作操作,这样的接触比例将使烟层体积不会改变,但是温度会大幅的下降。

6.结语


我们仍然利用之前的模型来讨论水雾冷却。


寓言「瞎子摸象」中,有六个人打算评估象是什么动物。但因为没有人的眼睛看的见,所以都靠着他们的触觉。然而,每一个人抓到的都只是象的一部份。一个人抓到了象的一侧,认为像就像一面墙一样,另一个抓到象鼻子,就认为象是一条蛇,诸如此类。


你所相信的事情往往会局限在你所观察到的点上。就如同现今很多消防员不相信水雾可以降温的同时又提高烟层中性面,那是因为实际的经验与理论不一致。而这篇文章就是进一步告诉你中性面是因为什么原因产生上升,又因为什么原因产生下降。


要让水雾点放发生最有效率的方式,就牵涉到流量、射水持续时间以及操作技巧。关于具体如何实操,大家可以先进行操作和试验,若有心得可以与橙Sir分享,我们战训1群有一名澳洲消防员Dom,下一期将把他与我分享的操作技巧和大家做个分享。


另外感谢CFBT-US LLC训练机构所提供这么丰富的消防技巧。「Not just what and how but why (不要只知道那是什么、怎么作,而是要进一步了解为什要这样作)」是该机构的首页名言。


对于学习CFBT,最好的办法当然是走出去,去国外参加培训,2018年在泰国有邀请世界上研究CFBT的专家做培训,但是对于目前的我们来说几乎是不可能。另外一个是请进来,CFBT的元老Benjamin Walker Wall和Shan Raffel其实是乐意过来培训的,但是个人没有这个财力物力,所以路还有点长。

关于学习CFBT,有两个网站可以介绍:1、CFBT-BE是一个不错的网站;橙色救援的粉丝「6脉神剑」介绍的ulfirefightersafety网站,对于学习火灾规律也是极好的网站。6脉神剑有看到此文的话,添加一下我的微信。


如今我国消防员,拥有相当丰富的实际经验,但是灭火救援比较粗放,在技术细节方面还有待提高,若能够利用理论的基础加以强化灭火救援技巧,相信对于以后的灭火救援,将能够更进一步的活用。


12月橙色救援战训沙龙第3期:

[那一次险些丧命的经历]


本文版权属于「橙色救援」,欢迎分享到朋友圈,转载请查看「公众号菜单」。


>>>>

猜你还想看

战训沙龙第1期丨扑救高层建筑火灾水带铺设技术(上) 

战训沙龙第1期丨扑救高层建筑火灾水带铺设技术(下)

战训沙龙第2期丨绳索救援之消防绳索发展历程

战训沙龙第2期 | 绳索救援之消防应用

看美剧,学消防丨第1期

看美剧,学消防丨第2期