【研究背景】
随着人们对电动汽车续航里程的需求的逐渐增加,开发高比能量的电池体系成为当下科研界及工业界共同追求的目标。对比当下现存的材料体系,Ni基三元正极材料以其高比容量,成本优势等特点,成为当下车用动力电池电极材料的主流选择。然而,Ni基三元材料自身存在的,如高电压下,严重的界面副反应;长期循环过程中,材料的表层相变;晶胞体积的变化引起的二次颗粒的坍塌以及较差的热稳定性等缺点,在一定程度上制约了材料的大规模应用。为了改善Ni基正极材料(尤其在高电压下)的电化学性能,克服上述缺点,人们提出了表面包覆、体相阴阳离子掺杂、电解液添加剂等手段,其中构筑高效的表面包覆层被证明是一种非常有效和实用的措施。
氧化物如Al2O3, TiO2, MgO……等常被用来作为包覆材料,并在改善正极材料的电化学性能方面表现出不错的效果。在诸多已报道的文献中,TiO2包覆层以其自身的结构稳定性及高电压下与电解液之间的电化学惰性的特点,在改善高截止电压下材料的电化学性能方面效果显著。然而,由于Ti4+极易水解,已报道的文献中似乎仍缺乏一种简便、高效、普适性较强的制备方法,用于制备连续均匀的TiO2包覆层。尽管一些文献已经证明在正极材料表层修饰一些TiO2能够有效地改善材料的循环稳定性能,但简单的不完全包覆,并不能充分地评价一个涂层对材料的保护作用。
【成果简介】
基于此,广东工业大学施志聪教授课题组提出了一种精确调控TiO2成核动力学的方法,在LiNi0.8Co0.1Mn0.1O2 (NCM) 可控地包覆了一层连续均匀的TiO2. 通过对改性后的材料的各种性能的测试发现:包覆有TiO2的材料在4.5V的截止电压下显示出优异的循环稳定性和倍率性能;TiO2包覆层的存在,有效地提高了材料循环过程中H2-H3之间的可逆相变;循环后,材料界面的不可逆相变也得到了一定程度的抑制;同时,改性后的材料的热稳定性能也得到了一定程度的改善。
图1展示了TiO2的形成机理以及TiO2包覆层的动力学调控过程。图2为对应的不同氨水浓度下TiO2包覆层的形貌的变化。作者以恒定量的钛酸四丁酯 (TBOT) 为Ti源,以NH3·H2O为水解过程的引发剂,通过调控NH3·H2O的加入量来调控特定体积溶液中的NH3·H2O的浓度。由于TiO2的水解和缩聚过程与NH3·H2O的量存在直接的关系:(i) 当氨水的含量较低时,TiO2的成核速率及生长速率都比较慢,此时,有利于TiO2核在NCM表面的均匀成核生长,由此,可以得到如图2 (a ~ c) 所示的均匀连续的TiO2膜状包覆层;(ii) 当继续增大氨水的浓度时,TiO2的成核速率及生长速率都得到提高,在一定的浓度范围内,TiO2的成核过程及其生长过程存在一个速率上的不平衡。此时,略微较快的核的生长过程占主导,因此,得到的包覆层中开始出现岛状的TiO2颗粒,如图2 (d ~ e) 所示;(iii) 当进一步提高NH3·H2O的浓度,由于TiO2核的生长速率过快,在TiO2形核的过程中伴随着核的快速生长,最终形成颗粒状堆积的TiO2包覆层,如图2f 所示。通过对不同形貌TiO2修饰的NCM进行电化学发现,在特定的0.4mL NH3·H2O (记作T-NCM)下得到的改性材料的电化学性能最优异,同时对T-NCM进行了TEM表征。如图3所示,T-NCM颗粒表面可以观察到平均厚度小于10nm的一层连续的包覆层存在,说明该方法在在控制TiO2包覆层的均匀性和连续性方面效果显著。
图1. TiO2包覆层的成核机理及制备过程
图2. 不同NH3·H2O加入量下得到的TiO2包覆层的形貌变化。a~f分别对应图1中0.1~0.6mLNH3·H2O.
图3. NCM和T-NCM的XRD精修结果及其TEM图
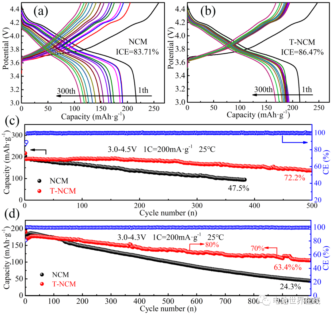
包覆前后材料的电化学测试结果如图4、图5和图6所示。包覆后,材料在3.0-4.5V之间的首次库伦效率得到明显提升(图4a 和4b),同时,包覆前后材料前300圈的充放电曲线表明:改性后的材料在高截止电压下的循环稳定性得到了很大的提升。在3.0-4.3V和3.0-4.5V电压区间内,以1C=200mA/g的电流密度对材料的长循环稳定性进行了评估,结果表明:T-NCM在3.0-4.3V电压区间内循环1000圈后仍有63.4%的容量保持率,而NCM有24.3%的容量保持率;同时,T-NCM在3.0-4.5V电压区间内循环500圈后仍有72.2%的容量保持率,而NCM的容量保持率仅有47.5% (图4c 和4d)。此外,NCM和T-NCM在前100圈内的dQ/dV曲线表明:T-NCM在循环过程中的H2→H3的可逆相变得到一定程度的提高,同时,T-NCM在长循环过程中平均放电电压也有一定程度的提高。这些提高表明:连续完整的TiO2包覆层可以最大限度地隔绝电解液与材料之间的接触,有效地抑制高截止电压下材料与电解液之间副反应的发生,降低电极极化;同时,致密完整的TiO2包覆层也可以抑制电解液中痕量HF酸对材料的伤害,有助于维持材料结构的稳定性。与已报道的简单的TiO2不完全包覆相比,这种精确调控的TiO2涂层所修饰的NCM材料表现出了更加优异的电化学性能。
此外,T-NCM的倍率性能也有一定程度的提高(图6a)。尽管TiO2并非电子的良导体,但本文中控制水解动力学所得到的TiO2涂层仅有不到10nm的厚度,较薄的包覆层不会对离子在材料界面的隧穿造成太大的阻碍,同时,改性材料界面处副反应的降低可以有效减少正极表面CEI的生成。此外,对循环后的材料的TEM分析可知(图7):包覆有TiO2的材料在循环过程中的表层相变很大程度地得到抑制,完整的界面结构可以维持材料表层正常的锂离子通道,降低材料的极化,有利于材料在大电流密下循环容量的发挥。T-NCM和NCM在循环过程中的电化学交流阻抗谱(EIS)也表明(图6):随着循环的进行,NCM的电荷转移阻抗(Rct)相对于T-NCM有大幅度的增加,表明改性后的材料在循环过程中可以保持相对较高的反应活性。对EIS数据的低频扩散区进行拟合结果表明:T-NCM在同等条件下较NCM有较高的锂离子扩散系数(DLi+),这进一步表明改性后的材料在循环过程中可以保持较高的动力学特性。
图4 NCM和T-NCM在前100圈内的dQ/dV曲线对比 (图4a和4b)以及前300圈的平均放电电压对比
图5 NCM和T-NCM在前300圈的充放电曲线对比 (图5a和5b);改性前后,材料在3.0-4.3V (5c)和3.0-4.5V (5d)电压区间的长循环性能对比。
对NCM和T-NCM循环150圈后的形貌和结构进行分析表明:NCM正极材料的二次球颗粒在150循环后出现了较严重的坍塌(图7a),而T-NCM在150循环之后还能保持相对完整的二次球形貌(图7b)。二者循环150圈后
的TEM数据表明:循环后,NCM颗粒表层发生了严重的相变,材料表层20nm厚度范围内均转变成了岩盐相的NiO (Fm3m)和类尖晶石相的LiNi2O4(Fd3m),而T-NCM仅在表层10nm范围内出现了NiO和LiNi2O4的复合相。这一结果充分证明了均匀完整的TiO2包覆层可以极大程度地维持材料表层结构的稳定性。此外,NCM和T-NCM的热稳定性测试表明:由于TiO2包覆层的存在,阻断了材料和电解液的直接接触,使得改性后的材料的热稳定性得到了很大程度的提高(图8)。
图6 NCM和T-NCM的倍率性能(6a)及不同电流密度下的放电曲线(6b)对比;NCM和T-NCM在第5, 50和100圈(6c, 6d和6e)充电态的交流阻抗谱及拟合的低频区的瓦伯格扩散系数 (σ) (6f)。
图7 在4.5V下循环150圈后,NCM和T-NCM的二次颗粒形貌对比(7a和7b)以及对应状态下,材料表层的相变对比 (7c和7d)。
图8 NCM和T-NCM在4.3V脱锂状态下的热稳定性对比
图9 不同包覆完整度的包覆层对材料的保护机制对比
基于本实验中精确调控TiO2包覆层对材料综合性能的显著提高,对比已发表文献中相关的TiO2包覆改性Ni-rich材料的分析,作者认为,包覆层的完整性对于正确评估一个包覆层对材料的保护作用非常重要,尤其对于完整度和均匀性较难实现的包覆材料。虽然,不完整的包覆层在一定程度上也能对材料的性能起到一定程度的改善,但其真实效果极易受制于不合理的制备工艺而不能得到合理的评估,因此,作者认为,开发简单、高效、可控的包覆工艺对于改善高比能三元正极材料的电化学性能非常重要。
【总结】
本文提出了一种可精确调控TiO2包覆层的制备工艺用于改善高镍三元正极材料的性能,所制得的改性材料在高电压下的循环稳定性、材料表层结构稳定性、循环过程中材料相变可逆性和材料的热稳定性能都得到了显著的提高。相关表面包覆技术对提高高镍三元正极材料的性能和推动其产业化应用非常重要。
参考文献:
[1]Qinglu Fan, Kaiji Lin, Shaodian Yang, Shoujie Guan, Jinbiao Chen, Shuai Feng, Jun Liu, Liying Liu, Jie Li, Zhicong Shi*,Constructing effective TiO2 nano-coating for high-voltage Ni-rich cathode materials for lithium ion batteries by precise kinetic control,Journal of Power Source, 2021 (477) 228745.
[2]Shaodian Yang, Qinglu Fan, Zhicong Shi*, Liying Liu*, Jun Liu, Xi Ke, Jianping Liu, Chaoyu Hong, Yong Yang, Zaiping Guo, Superior stability secured by a four-phase cathode electrolyte interface on Ni-rich cathode for lithium ion batteries,ACS Appl. Mater. Interfaces,2019, 11:36742-36750.
[3]Qinglu Fan, Shaodian Yang, Jun Liu, Haodong Liu, Kaiji Lin, Rui Liu, Chaoyu Hong, Liying Liu, Yan Chen, Ke An, Ping Liu, Zhicong Shi*, Yong Yang*, Mixed-conducting interlayer boosting the electrochemical performance of Ni-rich layered oxide cathode materials for lithium ion batteries, Journal of Power Sources, 2019, 421:91-99.