来源
《法理》杂志2020年第6卷第1辑
赵鑫
中国政法大学经济法学专业2020级博士研究生
#
摘要
约瑟夫·法雷尔(Joseph Farrell)和卡尔·夏皮罗(Carl Shapiro)提出了一种针对于兼并行为之后所可能产生的向上定价压力(Upward Pricing pressure, UPP)的简单的测试方法。他们的研究表明,这一测试可能给出假阴性(false negatives),也即,并购者不会制造向上定价压力。然而,如果进行综合性更强的测试,或许会导出与之相反的结论。我们认为,被应用于非对称企业(asymmetric firms)相关个案的测试或许会给出假阳性(false positives)。
(1)
(2)
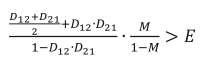
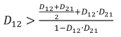
(3)
(2’)
(4)
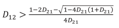
(4’)
(5)
(6)
(7)
(8)
▼ 法理杂志往期选粹 ▼
R E V I E W
微信责任编辑 | 关依琳
文字编辑 | 林淑萍 吴少华