小题大做工作室
每一小题都有大学问
更多同步专项训练,请点击文章末尾:阅读原文
一只猫吃掉一条鱼需要1分钟。照这样,100只猫同时吃掉100条鱼需要几分钟?
一个筐里装着 52 个苹果,另一个筐里装着一些梨。如果从梨筐里取走 18 个梨,那么梨就比苹果少 12 个。原来梨筐里有多少个梨?
甲、乙两书架共有图书200本,甲书架的图书数比乙书架的3倍少16本。甲、乙两书架上各有图书多少本?
李军和张强付同样多的钱买了同一种铅笔,李军要了13支,张强要了7支,李军又给张强0.6元钱。每支铅笔多少钱?
甲、乙两车同时从AB两地相对开出,相遇时,甲、乙两车所行路程是4:3,相遇后,乙每小时比甲快12千米,甲车仍按原速前进,结果两车同时到达目的地,已知乙车一共行了12小时,AB两地相距多少千米?
由奶糖和巧克力糖混合成一堆糖,如果增加10颗奶糖后,巧克力糖占总数的60%。再增加30颗巧克力糖后,巧克力糖占总数的75%,那么原混合糖中有奶糖多少颗?巧克力糖多少颗?
做完题再看答案哦~
【答案】1分钟
还是1只猫吃了1条鱼,只不过是100只猫站在一起吃,每只猫还是吃1条哦。
【答案】有几种思考方法
(1)根据取走 18 个梨后,梨比苹果少
12 个,先求出梨筐里现有梨 52-12=40(个),再求出原有梨
(52-12)+18=58(个)。
(2)根据取走 18 个梨后梨比苹果少12个,
我们设想"少取 12 个"梨,则现有的梨和苹果一样多,
都是 52 个。
这样就可先求出原有梨比苹果多 18-12=6(个),
再求出原有梨 52+(18-12)=58(个)。
(3)根据取走 18 个梨后梨比苹果少 12 个,
我们设想不取走梨,只在苹果筐里加入 18 个苹果,
这时有苹果 52+18=70(个)。
这样一来,现有苹果就比原来的梨多了 12 个。
由此可求出原有(52+18)-12=58(个)。
【答案】
乙:(200+16)÷(3+1)=54(本);
甲:54×3-16=146(本)。
【分析】
根据两人付同样多的钱买同一种铅笔和李军要了13支,
张强要了7支,可知每人应该得(13+7)÷2支,
而李军要了13支比应得的多了3支,因此又给张强0.6元钱,
即可求每支铅笔的价钱。
解:0.6÷[13-(13+7)÷2]
=0.6÷[13-20÷2]
=0.6÷3
=0.2(元)
答:每支铅笔0.2元。
【解析】
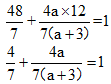
设甲、乙的速度分别为4a千米/小时,3a千米/小时
那么
4a×12×÷(3a)+4a×12×
÷(4a+12)=12
4a=36
a=9
甲的速度=4×9=36千米/小时
AB距离=36×12=432千米
算术法:
相遇后的时间=12×=
小时
每小时快12千米,乙多行12×千米
相遇时甲比乙多行
那么全程=÷
=432千米
【答案】
加10颗奶糖,巧克力占总数的60%,
说明此时奶糖占40%,
巧克力是奶糖的60/40=1.5倍
再增加30颗巧克力,巧克力占75%,奶糖占25%,巧克力是奶糖的3倍
增加了3-1.5=1.5倍,说明30颗占1.5倍
奶糖=30/1.5=20颗
巧克力=1.5×20=30颗
奶糖=20-10=10颗
|更多内容请关注微信公众号平台:小题大做
|声明:本公众号分享的资源版权为原作者所有,本资源为电子载体,传播分享仅限于家庭使用与交流心得/参考和辅助购买决策,不得以任何理由在商业行为中使用,若喜欢此资源,建议购买实体产品。内容为作者观点,并不代表本公众号赞同其观点和对其真实性负责。如涉及版权等问题,请及时与我们联系。
2021-04-20
2021-04-20
2021-04-20
Go to "Discover" > "Top Stories" > "Wow"