降准就是减税降费——金融抑制的视角
Original
邵宇 陈达飞
陈达飞全球宏观策略
陈达飞全球宏观策略
Weixin ID
yibanshuping
About Feature
阅读,以怡情、傅彩、长才
Posted on
收录于合集
邵宇 陈达飞 | 文
原文首发央行《金融博览 财富》杂志
导读:
新冠肺炎疫情对中国宏观经济的冲击不可低视。以2003年的SARS为参照系来评估COVID-19的经济效应,如刻舟求剑,将得出过于乐观的估计。随着疫情扩散至全球,美联储、澳大利亚央行、加拿大央行等均已经采取以降息为代表的防御性逆周期调控,中国央行如何应对,成为市场关心的话题。当前,美国10y国债名义收益率已经降至0.8%,为百年来新低,实际收益率自年初已经进入负值区间,美联储的政策空间微乎其微。这也导致中美利差也创下新高,本应为货币政策引导实体经济成本下行创造空间,但是,通货膨胀成为货币宽松的紧约束,人民币“外升内贬”的状况让国内货币政策陷入上下两难的境地。
本文选择从“准备金税”的视角来看待降准的积极性,认为减税降费不止是财政的事情,货币政策也可以有所作为。高准备金率作为金融抑制性体制的重要表现,增加了金融系统运行的成本,而金融制度成本的转嫁也增加了实体经济的负担。所以,即使不从流动性的角度考虑,进一步降低准备金率,也有其正当性与合理性。以下为正文:
2020年1月1日,央行宣布全面降准0.5个百分点,共释放8000亿元流动性。至今,大型存款类金融机构法定准备金率降至12.5%,中小型存款类金融机构降至10.5%。如往常一样,本次降准兼具调节流动性供求状况和转换结构双重目标。1月份是逆回购和定向中期借贷便利(TMLF)集中到期的月份(共8757亿),也是企业所得税交税期和春节消费高峰期,同时还是地方专项债密集发行期,故降准有助于需求叠加带来的流动性紧张状况。除此之外,还有助于向实体经济注入更多长期资金。
从流动性的角度解读准备金是标准化的做法,本文希望从金融抑制(financial repression)和税收的原理来理解准备金率。
高准备金是金融抑制的体现
高准备金率是金融抑制的体现,但它可能也是发展中国家工业化,以及金融深化过程中的一种“必要的恶”。
在爱德华·肖(Edward Shaw,1973)和麦金农(1973)看来,如果一国的金融市场被政策扭曲了,就可以被看作是金融抑制,具体来说,有以下几种典型的金融抑制政策:名义利率上限管制和较低(或负)的实际存款利率;高存款准备金率;强制性的和歧视性的信贷分配;以及资本账户管制;在不同程度上,这四种政策在我国依然存在。Yiping Huang等(2019)综合四个维度——银行所有权结构、利率管制、政府对银行信贷的干预和资本管制——测算了中国的金融抑制指数,结果显示,改革开放以来,中国金融抑制环境明显改善,金融抑制指数从1980年的1降到了2015年0.6,但至今为止,不仅高于中等收入国家的平均水平,也高于低收入国家的平均水平。
中国金融抑制的政策环境有其独特的背景,那就是在市场化的过程中实行的双轨制。它体现在各个方面,最终表现为市场的分割和价格对“一价定律”的背离。我们的理解,所谓市场化,最核心的就是定价机制的市场化,市场化的目的或结果,就是资源配置的最优化。最优化定价一般遵循边际定价法则,该原理的适用范围,就是最优化的边界。据此,
对于同一种要素,只是市场是分割的,最优化定价的条件就很难达成。
这是因为,在一个分割的市场上,即使每个市场都按边际定价法则去定价,不同市场上的最优价格大概率也是不同的。市场分割导致套利的成本高企,一价定律难以成立,单一的均衡价格甚至都不存在。
准备金与铸币税
存款准备金的另一个说法是“准备金税”,如同其它形式的税收一样,它也会造成“无谓损失”(deadweight loss)。
税率越高,无谓损失越大。
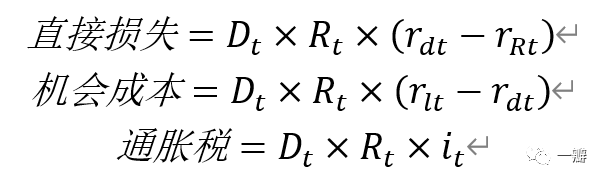
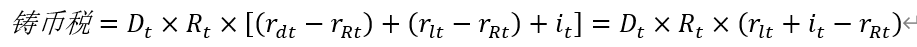
存款准备金率给存款类金融机构带来的损失包括:第一,直接损失,这是由存款利率高于存款准备金利率而产生的。在许多国家,存款准备金是不付息的,而在我国,存款准备金利率(或收益率)长期低于存款利率。在负债侧,商业银行以更高的成本吸收存款,却以更低的收益率将一部分存款转变成了资产侧的准备金存款;第二,机会成本,如果没有法定准备金要求,商业银行就有更多的资金发放贷款,赚取息差;第三,通胀税,法定存款准备金及其收益都会受到通货膨胀的稀释。这三部分加总起来,就是政策从存款准备金中抽取的铸币税。
假设第t期的银行存款余额为D_t,法定存款准备金率为r_t,存款利率为r_dt,贷款利率为r_lt,法定存款准备金利率为r_rt,通货膨胀率为i_t。那么,因法定存款准备金而给存款类金融机构造成的直接损失、机会成本和通胀税可分别表示为:
三者加总:
可见,铸币税负担与准备金率成正比,与准备金收益率成反比。
准备金税是总铸币税的组成部分,而对于一个准备金是构成基础货币主体的国家来说,准备金实际上是比现金更重要的铸币税基础。较高存款款准备金比率是欠发达经济体在发展初期的一个典型的特征,比如,在上世纪70年代的拉丁美洲,墨西哥有效准备金比例长期保持在50%以上,1975年最高时达到79%,哥伦比亚、巴西和智利排在墨西哥之后,基本维持在30%以上,而同一时期,在经济发展水平较高的国家,准备金率比较低,如英国和美国约为6%,联邦德国约为10%。麦金农评估并比较了不同国家从货币金融系统中抽取的铸币税收入(占GNP的比重),欠发达国家一般为工业化国家的4-5倍,其中有一半以上是来自准备金的。所以,麦金农称,关于欠发达国家通货膨胀税的任何模型都必须考虑准备金。
图1为中国基础货币的结构,如图所示,从2006年开始,基础货币中的准备金部分占比快速上升。2000年,其与现金(M0)的比重为1,准备金与现金占基础货币的比重均为50%。2006年初,准备金与现金的比重上升至1.58倍,而后一路上行,这是因为,从2006年7月开始,提高法定准备金率成为央行回笼流动性的主要工具。至2015年8月,基础货币与现金的比例上升到3.88倍的高点,其后,伴随着央行调降法定准备金率,该比例分阶段震荡下行,但至今仍维持在3倍以上的水平。
图1:中国基础货币的主体是准备金
数据来源:WIND,东方证券
所以,从铸币税的角度来说,降准也是减税降费的一部分,这一点常被忽视,因为我们习惯于从财政的角度去理解减税降费。
准备金与存贷款利差
另一个常被忽视却又很关键的影响是,
存款准备金在存贷款之间衍生了一个差额,这也是我国存贷款利差相比国际水平较高的一个重要解释。
直观理解,假设贷款利率是基于存款利率之上加成而成。在法定存款准备金率为零的情况下,加成比例就等于银行的毛利润率。在法定准备金率不等于零时,这增加了商业银行的铸币税负担。若要维持毛利润率不变,商业银行就需要提高加成比例。理论上来说,法定存款准备金率造成的息差为:,准备金率、贷款利率和通胀率越高,准备金利率越低,息差就越大。假如法定存款准备金率为20%,贷款与准备金利率的差值为5%,通胀率为3%,理论上而言,其造成的息差就为20%*8%=1.6%。
为了服务工业化和城市化,正规金融机构的贷款利率被设定在一个比较低的水平,这就意味着,存款利率会更低,从而,高准备金率还压抑了居民需求。同时,由于准备金相当于一种税,在一个金融自由化的世界,高准备金率将降低本国金融机构的国际竞争力。因为,从20世纪90年代开始,美国、加拿大、瑞士、新西兰、澳大利亚等发达国家的央行都在逐步降低法定准备金率,有些国家甚至取消准备金制度。
从中国的实践来看,1988年1月到1998年2月,存款准备金率都维持在13%的水平上。1994年开启了中国经济的市场化改革,分税制改革、金融市场改革和汇率制度改革稳步推进,通货膨胀率快速下降,这实际上为准备金率的下降提供了条件。因为,从经济市场化的次序来说,在通胀和财政赤字受到控制以及资本市场获得一定发展之后,准备金率会随之下降(麦金农,2014)。1998年3月,存款准备金率调整为9%,1999年11月进一步下调至6%。但是,2001年加入WTO之后情况发生了改变,不断扩大的双顺差和强制结售汇制度导致基础货币被动投放,迫使央行在2003年启动准备金工具回笼基础货币,最高时达到21.5%(参考图2)。
图2:央行外汇冲销政策的实施路径
数据来源:CEIC,东方证券
外汇冲销是有成本的,随着冲销的量越来越大,成本也会越来越高,央行、商业银行和居民三个部门都是成本的分担者。张明(MingZhang,2012)对其进行了测算,如图3所示。一方面,可以看出,外汇冲销的成本越来越高,2008和2010年超过1万亿人民币,2006年开始,随着法定存款准备金率的提高,商业银行承担的成本有所增加,逐步超过央行;与此同时,居民部门承担的成本也显著上升。
图3:外汇冲销操作的成本分担(单位:十亿人民币)
资料来源:MingZhang,2012.
从具体数额上来看,从2003年至2010年,央行共承担成本1.083万亿人民币,高峰出现在2008年,为3090亿元;商业银行承担的成本为1.324万亿元,高峰出现在2009年,为3890亿元;居民部门承担的成本是1.55万亿元,高峰出现在2008年,为6080亿元。三者承担的总成本为3.957万亿元,央行占比27.4%,商业银行占比33.5%,居民占比39.1%。可见,央行本身也是外汇冲销成本的承担者。
笔者在前文中说,法定存款准备金是一种“必要的恶”,这是因为,在经济发展水平比较低和金融基础设施不健全的情况下,它不仅有助于维持金融系统的稳定,还有助于维持一个低通胀的宏观环境,而这是金融深化的前提条件。
存款准备金给商业银行体系造成的铸币税损失并非政策意欲的结果,而是由特定历史条件下的体制结构造成的。过去20多年来,中国的经济金融市场化改革不断推进,财政纪律不断加强,通货膨胀率长期保持在较低且稳定的水平,人民币汇率与美元不断脱钩,弹性不断增强,逐步回归理论均衡值,已经形成双向波动格局,利率市场化改革也取得诸多成就,存贷款利率波动限制已经完全放开,利率并轨加快推进。市场化改革为取消金融抑制的政策环境奠定了基础,“必要的恶”中的“必要性”大大降低了。
结束语
金融抑制与经济增长并非简单的正向或负向的线性关系,而是U型的非线性关系。对于低收入国家而言,金融抑制政策有助于维护金融稳定和以较高的效率将储蓄转化为投资,斯蒂格利茨效应占主导,故金融抑制可能会带来净的正向效应,东欧、前苏联和拉美国家激进的金融自由化改革提供了大量失败的案例;对于中等收入国家,麦金农效应的主导作用更加凸显,金融抑制整体上体现为负效应;而对于高收入国家,金融抑制的产出效应又可能转为正值。
一个解释是,由于金融具有明显的顺周期性,即使是在发达国家,过度的金融自由化和监管缺位时的金融创新可能引致金融市场的大幅波动,比如2008年美国的金融危机就是一个案例。
对于中国而言,由于已经从低收入国家转变为中等收入国家,金融抑制对经济增长的净效应可能为负,取消金融抑制就能推动经济增长。
中国经济增速下行的必然性逻辑是建立在传统的以投资驱动和出口拉动为主体,以金融抑制为条件可以压低资本成本和强制储蓄的模式之上的。从改革的角度来说,有多少政策扭曲,就会有多少改革的红利,也就能释放多少潜在的GDP。关键的问题是,改革的决心和实践方案科学性。随着GDP总量和人均GDP增速的提高,金融抑制性政策对GDP的贡献已经由正转负,GDP的进一步提高要求供给侧动能由廉价要素投入转变为全要素生产率的提升和创新驱动,这就要求与之相匹配的金融市场配置效率。
我们认为,中国金融改革的方向是确定的,一方面,就是消除金融抑制,即利率和汇率市场化、政府逐步退出信贷的分配、逐步放松资本账户管制,以及加大银行等金融服务业的开放等;另一方面,就是要提高直接融资比重,健全多层次资本市场的功能。这是金融供给侧改革确定性的方向。
邵宇为东方证券首席经济学家,陈达飞为东方证券宏观分析师
一瓣公益
这是一瓣在2018年4月23日“世界读书日”发起的一个
公益活动
。每篇文章获得的赞赏,全部捐献给“
深圳市石门坎教育公益基金会
”,为石门坎的孩子建一个“图书馆”。感谢各位读者的支持,目前已为小朋友们筹集6350元“
图书基金
”。
预览时标签不可点
收录于合集
#
个
上一篇
下一篇
Scan to Follow
Got It
Scan with Weixin to
use this Mini Program
Cancel
Allow
Cancel
Allow
:
,
.
Video
Mini Program
Like
,轻点两下取消赞
Wow
,轻点两下取消在看