从数据需求的角度选择恰当的图表,更好的以图的形式彰显数据的潜在性,规律性,价值性,数据的描述性分析包括用图表展示数据和用统计量描述数据等内容。避免使用图表上的误区,区分扇形图与饼图(很多人都把饼图当作扇形图),不要用时间年份做横轴的条形图(真的很傻),本文将常有的图表根据恰当的用途归位五大类。提供R绘图方法
展示【类别频数】的图表:
简单的条形图, 帕累托图,复式条形图和脊形图,马赛克图,饼图,扇形图,洛伦茨曲线
展示【数据分布】的图表:
直方图,茎叶图,箱线图,小提琴图,点图,核密度图
展示【数据关系】的图表:
散点图,矩阵散点图,气泡图
展示【数据相似性】的图表:
轮廓图,雷达图,星图,脸谱图
时间之上【看趋势】的图表: 时间序列图
一,展示类别频数的图表
# 单变量频度表> data1<-read.csv('./ch2/22_1.csv')> summary(data1)> count1 <- table(data1$社区)> prop.table(count1)*100#二联列表> count1 <- table(data1$社区, data1$性别)> addmargins(count1)#多维列联表> count1<-ftable(data1)
1.1,简单的条形图
> par(mfrow=c(1,3), mai=c(0.7,0.7,0.6,0.1),cex=0.7,cex.main=0.8)> barplot(count1, xlab="频数", ylab="社区",horiz=TRUE, main = "(a) 水平条形图", col=2:5, family='SimSun')> barplot(count2, xlab="性别", ylab="频数",col=8:9, main = "(b) 垂直条形图", family='SimSun')> barplot(count3, xlab="态度", ylab="频数",col=2:3, main = "(c) 垂直条形图", family='SimSun')
1.2,帕累托图:
> par(mai=c(0.7,0.7,0.1,0.8),cex=0.7,cex.main=0.8)> barplot(x, xlab="社区", ylab="频数", col=2:5, family="SimSun")> y<-cumsum(x)/sum(x)> par(new=T)> plot(y, type="b", lwd=1.5, pch=15, axes=F, xlab=' ', ylab=' ', main=' ')> axis(4)> par(las=0)> mtext("累积频数", side=4, line=3)> mtext("累积频数", side=4, line=3, family='SimSun')> mtext("累积分布曲线", line=-2.5, cex=0.8, adj=0.75,family='SimSun')
1.3,复式条形图和脊形图
par(mfcol=c(1,2), cex=0.6)barplot(mytable, xlab="社区", ylab="频数", ylim=c(0,16),col=c("red", "blue"),legent=rownames(mytable), args.legend=list(x=12), beside=TRUE, main=“(a)社区条形图”,family=‘SimSun’)barplot(mytable, xlab="社区", ylab="频数", ylim=c(0,30),col=c("green", "blue"),legend=rownames(mytable), args.legend=list(x=4.8), main=“(b)社区 堆叠条形图”,family='SimSun')
1.4, 马赛克图
mosaicplot(~性别+社区+态度, data=data1, color=2:3, main="")
1.5,饼图
data1<-read.csv('./ch2/22_1.csv')> count1<-table(data1$社区)> name<-names(count1)> precent<-prop.table(count1)*100> label<-paste(name, " ", precent, "%", sep="")> par(pin=c(3,3),mai=c(0.1,0.4,0.1,0.4), cex=0.8)> pie(count1,labels=label,init.angle=90)> pie(count1,labels=label,init.angle=90,family="SimSun")>pie3D(count1,labels=label,explode=0.1,labelcex=0.7,family="SimSun")
1.6,扇形图
fan.plot(count1, labels=label, ticks=200, col=c(4:9))
1.7,洛伦茨曲线
example2_10<-read.csv('/Users/MLS/desktop/rs/stt/example/ch2/22_10.csv')library(DescTools)plot(Lc(example2_10$组中值, example2_10$人数), xlab="人数比例", ylab="收入比例",col=4,panel.first=grid(10,10,col="gray70"))
二,展示【数据分布】的图表
2.1 ,直方图
example2_2 <-read.csv('/Users/MLS/desktop/rs/stt/example/ch2/22_2.csv')> par(mfcol=c(2,2), cex=0.7, family='SimSun')> hist(example2_2$销售额,xlab="销售额", ylab="频数", main="(a)普通")> hist(example2_2$销售额,freq=FALSE, breaks=20, xlab="销售额", ylab="频率", main="(c)增加轴线须线和密度线")> curve(dnorm(x,mean(example2_2$销售额), sd(example2_2$销售额)), add=T, col="red")>rug(example2_2$销售额)
2.2,茎叶图
> stem(example2_2$销售额)The decimal point is 1 digit(s) to the right of the |16 | 1717 | 122218 | 113678819 | 1123456666788999920 | 00001233333445556667777889921 | 0022455666677778888922 | 022234444555668923 | 033445567888924 | 013336825 | 223426 | 1527 | 2
2.3,箱线图
boxplot(example2_2$销售额, col="lightblue", cex.axis=0.5)
> example2_3 <-read.csv('/Users/MLS/desktop/rs/stt/example/ch2/22_3.csv')> par(mfcol=c(1,1), cex=0.7, family='SimSun')> boxplot(example2_3, col="lightblue",xlab="运动员", ylab="射击环数", cex.lab=0.8, cex.axis=0.6, family="SumSin")
2.4,小提琴
library(vioplot)par(cex=0.5)x1<-example2_3$亚历山大.彼得里夫利x2<-example2_3$拉尔夫.许曼x3<-example2_3$克里斯蒂安.赖茨x4<-example2_3$列昂尼德.叶基莫夫x5<-example2_3$基思.桑德森x6<-example2_3$罗曼.邦达鲁克vioplot(x1,x2,x3,x4,x5,x6, col="lightblue", names=c('亚历山大.彼得里夫利','拉尔夫.许曼','克里斯蒂安.赖茨','列昂尼德.叶基莫夫','基思.桑德森','罗曼.邦达鲁克'))
2.5,点图
> example2_3_1 <- read.csv('/Users/MLS/desktop/rs/stt/example/ch2/231.csv'> par(mfcol=c(1,1), cex=0.7, family='SimSun')> dotchart(example2_3_1$射击环数, groups=example2_3_1$运动员, xlab="射击环数", pch=20)
> par(mfcol=c(1,1), cex=0.7, family='SimSun')> dotplot(射击环数~运动员, data=example2_3_1, col="black", pch=9, family='SimSun')
2.6,核密度图
> par(cex=0.7, family='SimSun')> densityplot(~射击环数|运动员, data=example2_3_1,col="blue",cex=0.5, family='SimSun')
三,展示【数据关系】的图表
3.1,散点图
> x<-seq(0,25,length=100)> y<-4+0.5*x+rnorm(100,0,2)> d<-data.frame(x,y)> plot(d)> polygon(d[chull(d),], col='pink', lty=3,lwd=2)> points(d)> abline(lm(y~x),lwd=2,col=4)> abline(v=mean(x),h=mean(y),lty=2,col="gray70")
3.2,矩阵散点图
example2_4<-read.csv('/Users/MLS/desktop/rs/stt/example/ch2/22_4.csv')> par(cex=0.7, family='SimSun')> plot(example2_4, cex=0.6, gap=0.5, family="SimSun")
3.3,气泡图
> attach(example2_4)> r<-sqrt(销售收入/pi)> symbols(广告费用,销售网点数,circle=r, inches=0.3, fg="white", bg="lightblue",ylab="销售网点数", xlab=" 广告费用")> text(广告费用,销售网点数, rownames(example2_4),cex=0.4)
四,展示【数据相似性】的图表
4.1,轮廓图
> example2_5<-read.csv('/Users/MLS/desktop/rs/stt/example/ch2/22_5.csv')> par(mai=c(0.7,0.7,0.1,0.1),cex=0.8, family="SimSun")> matplot(t(example2_5[2:9]),type='b',lty=1:7,col=1:7,xlab="消费项目",ylab="支出金额",pch=1,xaxt='n')> axis(side=1, at=1:8, labels=c("食品","衣着","居住","家电设备用品及服务","医疗保健", "交通和通信", "教育文化娱乐服务","其他商品和服务"),cex.axis=0.6)"高收入户", "最高收入户"))> legend(x="topright", legend=c("最低收入户", "低收入户","中等偏下户", "中等收入户", "中等偏上户", "高收入户", "最高收入户"), lty=1:7, col=1:7, text.width=1, cex=0.7)
4.2,雷达图
> library(fmsb)> radarchart(example2_5[,2:9], axistype=0, seg=4, maxmin=F, vlabels=names(example2_5[,2:9]), pcol=1:7, plwd=1.5)> legend(x="topright", legend=c("最低收入户", "低收入户","中等偏下户", "中等收入户", "中等偏上户", "高收入户", "最高收入户"), lty=1:7, col=1:7, text.width=1, cex=0.7)
4.3, 星图
> mat25 <- as.matrix(example2_5[,2:9])> rownames(mat25)<-example2_5[,1]> par(cex=0.7, family='SimSun')> stars(mat25, key.loc=c(7,2,5),cex=0.8)
4.4,脸谱图
library(aplpack)faces(mat25.nrow.plot=4,ncol.plot=2,face.type=0)
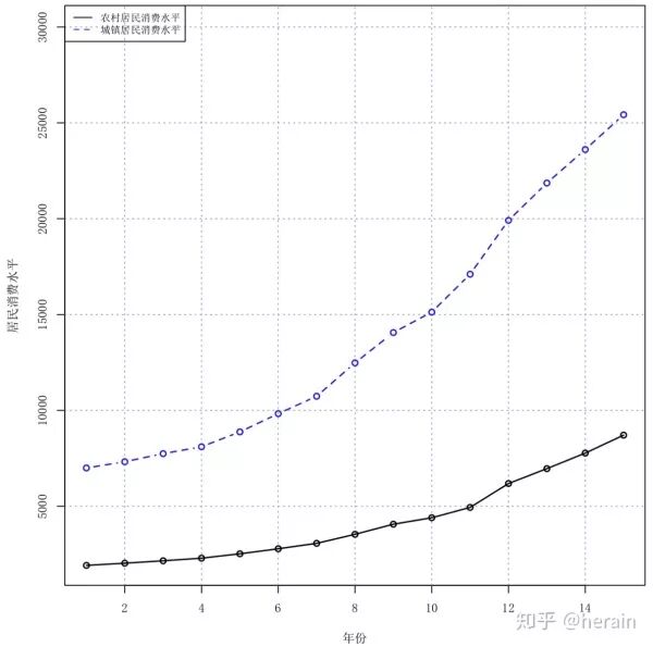
五,时间之上看趋势的图表
example2_9<-read.csv('/Users/MLS/desktop/rs/stt/example/ch2/22_9.csv')> par(mai=c(0.7,0.7,0.1,0.1), cex=0.8, family="SimSun")> plot(example2_9[,2], lwd=1.5, ylim=c(2000,30000), xlab="年份", ylab="居民消费水平",type="n")> grid(col="gray60")> points(example2_9[,2], type="o", lwd=1.5, xlab="年份", ylab="居民消费水平")> lines(example2_9[,3], type="b", lty=2, lwd=1.5, xlab="年份", col="blue")> legend(x="topleft",legend=c("农村居民消费水平","城镇居民消费水平"), lty=1:2, col=c(1,4), cex=0.8)
推荐阅读:
好看点这里: 👇在看