本文译自Li N, Zhu XM, Li WQ, et al., 2019. Review of optical tweezers in vacuum. Front Inform Technol Electron Eng, 20(5):655-673. https://doi.org/10.1631/FITEE.1900095
关键词:光镊;真空光阱;激光冷却
1 引言
光辐射压是对电磁波携带动量的直接证明. 1619年Kepler首次提出光辐射压的概念,并借此解释彗星尾巴始终指向太阳的观测现象(Kepler, 1619). 1862年,麦克斯韦搭建了电磁学理论的数学框架,该框架表明电磁辐射具有动量. 二十世纪初俄罗斯物理学家Lebedev(Lebedev et al., 1901)、Nichols以及Hull(Nichols and Hull, 1903)分别对其进行实验验证. 随后,Townes在1960年发明激光器(Townes, 1999),这奠定了光学捕获和光学操纵的关键技术基础.
作为光镊技术的奠基人,Ashkin于1970年利用聚焦光束成功操控低吸收性二氧化硅颗粒(Ashkin, 1970). 他指出辐射力由两部分组成:沿激光束光轴方向的散射力和沿光强梯度方向的梯度力,并且预言该机制可适用于中性原子的捕获. 一年后,Ashkin成功地实现空气环境和约1 Torr的低压环境下20微米直径玻璃微球的捕获(Ashkin and Dziedzic, 1971),并指出如果可以进一步降低环境的粘滞阻尼,即在高真空环境中捕获颗粒,将获得低耗散、高灵敏度的测量系统. 1975年,Ashkin在10–6 Torr的真空中捕获油滴(Ashkin and Dziedzic, 1976),这是世界上首套高真空光阱实验装置. 1986年,Ashkin利用单束高度聚焦的激光束实现微米级介电粒子的捕获(Ashkin et al., 1986). 这项技术就是人们现在所说的“光镊”技术.
自20世纪90年代初以来,光学捕获和操作技术已广泛应用于生物科学领域的研究. 首先是单个烟草花叶病毒的捕获(Ashkin et al., 1990). 随后许多研究小组开始利用光力学谱来表征生物分子的动力学特性(Ashkin et al., 1990; Block et al., 1990; Bustamante et al., 1994). 借助光镊技术,生物物理学家可以观察到单分子水平的力和动力学特性,从而更好地理解生物化学过程. 2018年的诺贝尔物理学奖授予三位物理学家以表彰他们在“激光物理学领域的突破性发明”,其中一半授予Ashkin,用于表彰他在“光镊技术及其在生物系统中的应用”领域的开创性工作(https://www.nobelprize.org/prizes/physics/2018/press-release/).
Li和Novotny在真空光镊技术领域取得显著的研究进展,他们分别在高真空下实现微米尺寸和纳米尺寸微粒的捕获. 2010年,Li等人利用对向传播的双光束光镊测量布朗粒子的瞬时速度(Li et al., 2010, 2011);2012年,Gieseler等人在高真空中对纳米粒子进行光学捕获,并通过参量反馈冷却方案对微粒三个方向的空间自由度进行冷却(Gieseler et al., 2012). 这些研究工作表明,作为耦合了光场和机械谐振子的系统,真空激光悬浮粒子可作为精确测量的理想平台,推动高灵敏度加速度计(Monteiro et al., 2017)和力学传感器(Ranjit et al., 2016)等(Moore et al., 2014; Hoang et al., 2016)前沿研究领域的发展. 此外,由于粒子冷却到量子基态时可产生宏观量子态,这项技术还为宏观量子态的制备提供可能的技术路线(Park and Wang, 2009; Rocheleau et al., 2010; Chan et al., 2011; Teufel et al., 2011). 制备“薛定谔的猫”态,实现宏观可观测的量子叠加,以及通过退相干对其进行破坏,这些研究尤其令人着迷,因为它们可以帮助人们更好地理解从经典到量子世界的过渡情形. 因此真空光镊技术受到极大的关注并获得迅速的发展,越来越多的研究团队加入到这个领域.
近年来,人们发表了很多光镊相关的文章,包括全面介绍光镊的力学计算和仿真的综述文章(Nieminen et al., 2014; Bui et al., 2017; Sukhov and Dogariu, 2017; Polimeno et al., 2018). 一些文章也对光镊技术的实验和应用进行综述. Ciminelli等人(2017)回顾纳米光镊的最新技术进展,特别是基于光子和等离子体的纳米光镊性能研究. Gong等(2018)介绍空气环境下光学捕获和处理单个粒子的原理、技术细节及其应用. Gouesbet(2019)的最新综述文章全面介绍广义Lorenz-Mie理论和光力学效应. 本综述重点介绍真空中微粒的光学捕获技术,并侧重于这些技术在精密测量领域的应用研究. 我们将从光学捕获、冷却和检测的基本概念开始介绍,而理论相关细节可以参考这些文献(Ashkin, 2000; Grier, 2003; Dienerowitz et al., 2008; Juan et al., 2011; Maragò et al., 2013);第三节将简要介绍真空光镊实验系统;第四节将重点介绍真空光镊系统的几个具体应用.
2 真空光学捕获的原理
2.1 光学捕获
光学捕获是辐射力的作用结果,而辐射力源于电磁场的动量守恒. 通过光与粒子之间的动量交换,可以得到能够稳定俘获和操纵光学势阱内粒子的力. Ashkin在一篇开创性文章(Ashkin, 1970)中首次进行直观的粗略计算,其中微粒(1 μm,熔融石英)与激光束(1 W,聚焦到1 μm)相互作用时所受到的加速度可能高达108g. 这表明聚焦激光束可用来克服粒子的重力. 此后,人们对辐射力的计算进行更详细的理论研究工作(Bohren and Huffman, 1983; Ashkin et al., 1986; Neuman and Block, 2004; Juan et al., 2011). 本文将简要介绍其计算方法. 读者可以参考上述文献获得更多细节.
众所周知,光在其传播方向(轴向方向)对微粒上施加“散射力”,在指向光束中心也就是光强最高的地方(径向方向)对微粒施加“梯度力”. 常用的辐射力计算方法主要有这三种,取决于微粒的尺寸:几何光学模型、瑞利近似模型和两者的过渡区域模型. 几何光学模型只适用于粒径大于十倍波长的实验情形. 瑞利近似模型仅在粒径小于十分之一波长的尺寸范围内保持有效性. 对于中间尺度范围内的粒子(0.1λ0≤r≤10λ0,λ0为波长),我们需要采用过渡区域模型,包括广义Lorenz-Mie理论(GLMT)、扩展边界条件法(EBCM)、离散偶极近似(DDA)和数值计算方法. 数值计算方法分为两种:有限元法(FEM)和有限差分法,如时域有限差分法(FDTD)和有限差分频域法(FDFD)(Bui et al., 2017).
与几何光学和瑞利近似模型相比,过渡区域模型的计算虽然需要更多存储和时间,但却能在整个尺度范围内提供足够的计算精度. GLMT、EBCM和DDA都是计算粒子T-矩阵的方法(Gouesbet, 2010; Gouesbet and Lock, 2015). 点匹配方法是计算T矩阵的另一种方法,并且广泛应用于光镊研究(Loke et al., 2001; Nieminen et al., 2003a). 当微粒不是均匀的各向同性球体时,GLMT的计算过于复杂. 在这种情况下,EBCM和DDA更可行. 相比于DDA,EBCM适用于更大尺寸粒子,但对复杂结构粒子不具备计算优势. 如今,人们针对T矩阵的计算对EBCM制定了标准化模型,以至于有些人将其与T矩阵方法直接挂钩. 这是一个经常被混淆的说法(Gouesbet, 2010). 只要能获取T矩阵,就可以对单波长光束的不同光场情形进行计算(Gouesbet and Gréhan, 2017). 这些不同的光场情形广泛存在于光镊中粒子的运动模型中,针对不同的情形通常需要重新开始数值计算过程. 因此,它更适合于复杂粒子结构中的静态分析而不是动态建模. 我们在下表中归纳上述3种计算模型,并对其原理进行概述.
2.1.1 几何光学/射线光学模型
这种直观而简单的计算方法已被成功应用于各种情形的计算,例如,细胞受到的辐射力(Chang et al., 2006)、光学领域中微观气泡的变形(Skelton et al., 2012)、光学升力效应(Swartzlander et al., 2010),以及负光学力现象(Kajorndejnukul et al., 2013). 入射光线经过粒子表面后分成反射光线和透射光线;而且根据作用力—反作用力定律,它们传播方向的差异将带来光束动量变化. 射线光学模型通过追踪粒子中光线传播,并计算动量变化量总和,最终计算得到作用在粒子上的力. 光束在粒子表面上的反射取决于粒子和介质的相对折射率,与散射力密切相关. 因此,在空气中捕获颗粒比在水中更困难(Wright et al., 1994). Agense于2015年开发了一套完整的MATLAB软件包——几何光学中的光学镊子(OTGO),用于计算几何光学模型中的光学力和扭矩(Callegari et al., 2015).
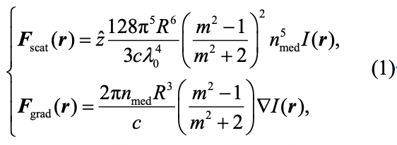
2.1.2 瑞利近似模型
其中是z轴上的单位矢量,也是光束传播的方向,c是真空中光的传播速度,λ0是真空中激光的波长,R是纳米球的半径,m是微粒和介质的相对折射率,nmed是介质的折射率,最后,I(r)表示坐标r处的光强. 散射力和梯度力分别与R6和R3成正比. 因此,粒子更大更难捕获,因为随着纳米球尺寸的增加,散射力比梯度力增加得更快(Li et al., 2011). 在实际的实验装置中,利用一束高度聚焦光束就可以捕获半径达170 nm的粒子(Ahn et al., 2018).
2.1.3 过渡区域模型
其中上标“i”表示入射光,E0与电场幅度相关,k是波数,和是光束形状系数,ψn(kr)为球形贝塞尔函数. 上述标量框架中的结果可以根据标准矢量球面波函数(regular VSWFs)转换为矢量式,从而通过GLMT获得T矩阵. 入射光场和散射光场可以表示成为标准矢量球面波函数的线性组合(Nieminen et al., 2003b):
其中RgMnm(kr)和RgNnm(kr)是标准矢量球面波函数,它们是矢量亥姆霍兹方程的一组完备解. anm和bnm是入射光场的扩展系数,pnm和qnm是散射光场的扩展系数,anm和bnm可统一简化为矢量A,pnm和qnm简化为矢量P. 他们的关系可以用矩阵形式表示为:
T便是T矩阵. 如果粒子的电磁特性是线性且各向同性的,那么T矩阵仅取决于粒子本身——其组成、大小、形状和取向,并且与入射光场无关. 如上所述,针对单波长光束的不同光场条件,可以重复利用T矩阵进行计算. Nieminen开发了一套计算工具箱,采用EBCM和点匹配方法获得光辐射力的数值计算结果(Nieminen et al., 2007).
2.2 光学冷却
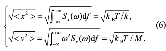
人们通常采用谐振子模型表征空气中被捕获粒子的动力学特性. 粒子质心(COM)位移的功率谱密度(PSD)具有洛伦兹线型(Kirstine and Henrik, 2004):
其中fs(ω)为标准洛伦兹函数,Γ0表示空气的阻尼系数,Ω=(k/m)1/2是自由谐振角频率,其中k是光镊的刚度,M是质量,kB是玻尔兹曼常数,T是环境温度. 线性化不可压缩时域Navier-Stokes方程可以描述被捕获粒子的运动,类似于谐振子模型(Clercx and Schram, 1992). 根据Wiener-Khinchin定理(Cohen, 1998),粒子质心运动的位移和速度的均方根(RMS)为:
因此,粒子的平均动能为<Mv2/2>=kBT/2,与均分定理得到的结果完全一致.
图1 不同冷却和气压条件下微粒位移功率谱密度的仿真曲线
直径10 μm的微球被双光束捕获. 每束捕获光的光功率为150 mW,透镜的NA值为0.35
尽管激光可用于冷却微粒(质心运动冷却),但为了将力施加到亚微米微粒上,用于捕获微粒的激光需要聚焦到MW/cm2光强量级,所以也带来显著的加热效应. 虽然微粒通常选择对捕获光波长几乎“透明”(极低吸收率)的材料,但仍然存在部分吸收引起的加热效应,导致光阱稳定性下降. 许多课题组在理论上和实验上对这个不可忽视的加热问题进行了研究(Peterman et al., 2003; Mao et al., 2005; Català et al., 2017).
3 实验装置
3.1 初始捕获
由于范德瓦尔斯力的存在,微粒样品将不可避免地粘附在载玻片等基板表面上. 因此,在此前的基础物理研究中,人们提出了两种常用的初始捕获方法:压电法和喷雾法. 压电陶瓷的高频振动可以将微粒与基板表面分离. 这种方法通常适用于微米级介电微粒(Butts, 2008; Li et al., 2010, 2011; Arita et al., 2013; Ranjit et al., 2015)(图2a). Ashkin在他的开创性实验中使用压电换能器来实现微粒初始捕获(Ashkin and Dziedzic, 1971; Ashkin and Dziedzic, 1976). 粘附力与微粒直径的平方成反比,这意味着通过压电陶瓷提供加速度实现脱附的方法存在最小可分离的微粒尺寸. 对于尺寸较小的纳米微粒的初始捕获,人们需要采用超声雾化器(Summers et al., 2008; Grass, 2013; Kiesel et al., 2013; Gieseler, 2014; Millen et al., 2014). 通过超声雾化器将高度稀释的样品溶液破碎成小液滴;纳米微粒被喷射到自由空间中,在液滴的溶液组分蒸发后实现捕获. 因此在该方法中一般使用高挥发性溶液,如丙醇等,溶液组分可以快速挥发而不影响微粒的捕获.
上述常规方法本质上是随机且不可控的过程,难以精确地捕获目标微粒. 在单次初始捕获过程中,光阱往往会捕获到多个微粒. 为了保证一定的捕获概率,需要将过量样品喷洒到空气中. 残留的微粒会污染真空腔和光学器件,难以维持高真空环境,也很难重新捕获新的微粒.
近年来,人们提出新的初始捕获方法,用于超高真空环境下光学捕获和微粒冷却. 通过把用于微粒起支的微粒加载腔与用于微粒冷却的实验腔分离,可以防止残留微粒污染真空腔. 维也纳大学的Aspelmeyer团队在其实验装置中组合了一个实验腔和一个加载腔作为新型微粒捕获装置:他们将雾化器粒子源和空心光子晶体光纤结合在一起,实现了一种微粒的长距离传输机制,能够从雾化器粒子源中捕获单个纳米粒子,并以受控的方式将其移动到超高真空(UHV)室中;该过程无污染并且可控制粒子数量和位置. Novotny的研究小组还提出一种移动式光阱,可以在高真空下对二氧化硅纳米粒子进行冷却和长距离三维操作(Mestres et al., 2015). 在第一真空腔内在常压下初始捕获微粒,然后在真空条件下转移到第二真空腔内的高精细光学谐振腔中. 后来,他们进一步设计了一套机械系统,以实现不同腔室之间纳米粒子的精确长距离(20–25cm)传输(Torki, 2016).
图2 (a)基于压电换能器的传统初始捕获装置;(b)采用脉冲激光的新型初始捕获方案
图片来源于Li(2013)和Fu et al.(2018b)
在空气或真空中快速加载和操纵微球仍然是一个技术难题. 为了实现工程应用,特别是在传感微粒的可重复起支中,需要实现有效且可控的加载过程. 光学初始捕获手段比传统方法更可控. 利用脉冲光的光阱力可以克服微粒受到的粘附力,我们课题组在双光束光纤光阱中利用脉冲光实现了单个微粒的初始捕获(Fu et al., 2018a, 2018b)(图2b).
3.2 位移探测
对捕获微粒的位移探测是冷却微粒质心运动和实现高灵敏度探测的重要基础. 常用的检测方案有三种:CCD探测方案、四象限探测器(QPD)探测方案、平衡探测器加D形镜的探测方案.
CCD探测方案直接从CCD图像中提取微粒的运动状态. 它受限于图像帧率,通常被用于液体光镊系统或者用作监测捕获状态的辅助手段.
QPD探测方案的示意图如图3所示. 微粒的侧面散射光经上方显微镜收集并准直,并由QPD接收. 通过探测器上两组象限之间的差异信号获得微粒在光轴(z轴)和水平轴(x轴)方向上的运动信息. 而探测器的总光功率变化表示微粒在竖直轴(y轴)方向上的运动信息. QPD探测器相比普通CCD相机具有更高的时间分辨率.
图3 QPD探测方案的结构示意图
图片来源于Millen et al.(2014)
图4 带有D形镜像的平衡探测器探测方案结构示意图
图片来源于Li(2013)
图4为带有D形镜像的平衡探测器探测方案的示意图(Li, 2013). 微粒的前向散射光被D形镜分离成光功率相等两部分,然后分别通过透镜聚焦并照射到每个平衡探测器的两个端口. 不同方向的微粒运动探测,对应不同的D形镜锐边方向. 两个端口的输出电压差对应最终的位移信号. 对于z轴上散射光,平衡探测器的一个端口用于接收会聚光,而另一个用于接收发散光.
平衡探测器方案中使用的光电探测器的敏感区域远小于QPD的敏感区域,因此其时间分辨率更高. 此外,平衡探测器方案对探测光地汇聚更强,可以获得更高的光学信噪比. 与QPD方案相比,平衡探测器方案的缺点是结构复杂,成本较高.
3.3 冷却方案
目前真空光镊系统的冷却方案主要有三种:差分反馈冷却方案、参量反馈冷却方案和腔冷却方案.
差分反馈冷却方案利用冷却光(或直接采用捕获光)产生的散射力,对微粒施加额外的阻尼(Li, 2013). 在施加冷却的情况下,微粒位移的功率谱密度变为:
其中Γcool为附加的阻尼,冷却后微粒位移的均方根值降低.
在参量反馈冷却方案中,根据微粒位移信号的绝对值对光阱刚度k进行调制(Vovrosh et al., 2017),微粒位移的功率谱密度变化与差分反馈冷却方案中的类似. 差分反馈冷却方案和参数反馈冷却方案的技术难点在于精确检测微粒的运动和三轴冷却光之间的交叉加热效应.
腔冷却方案是基于多普勒原理的(Genes et al., 2008; Romero-Isart et al., 2011). 如图5所示,设光学腔谐振频率ωC与激光频率ωL之差恰好为微球的谐振频率ωM. 则当微球迎着光束传播方向运动时,由于多普勒效应,从微球上散射的激光的频率接近光学腔谐振频率. 反之,当微球顺着光束传播方向运动时,从微球上散射的激光的频率更加偏离光学腔谐振频率. 迎着微球运动方向一侧的光子由于接近光学谐振腔谐振频率,会从腔中逃逸出去,从而带走微球的机械能,而沿着微球运动方向一侧的光子向微球注入机械能. 前一种光子具有更大的平均数,微球的机械能净变化量为负,最终微球的质心运动不断减慢,从而实现冷却.
根据量子理论可计算出冷却稳态条件下,微球质心运动等效的声子数(Barker, 2010; Chang et al., 2010):
上式中κ表示光学腔线宽,γsc是微球散射光子的速率. 当满足ωM>>κ>>γsc时,微球将被冷却到量子基态,即实现 ánfñ<1. 因此,腔冷却适用于高谐振频率情况,或者说适用于冷却百纳米直径的微球而不是数十微米的微球. 如果对数十微米的微球进行腔冷却,其谐振频率一般在kHz量级. 引入线宽低于kHz量级的激光器将带来系统成本的急剧增加. 另一方面,γsc也取决于微球尺寸. 一些研究者建议使用直径1 μm或者稍微更大一些的微球和1064 nm激光(Yin et al., 2013),有望利用光学腔冷却法冷却微球至量子基态.
图5 (a)一维腔冷却结构和(b)一维腔冷却原理
图片来源于Li(2013)
3.4 不同的光阱结构
3.4.1 高斯光束光阱
捕获微粒的光阱结构主要分为3种:普通单光束光阱、带抛物面镜的单光束光阱和对向传输双光束光阱(图6). 为了获得更高的功率输出并降低激光的加热效应,通常利用红外光捕获介电微球. 因此,除非借助于重力(竖直向上单光束光阱),浮力或其他类型的力,仅仅使用单束光束捕获微球的方案是非常低效且不稳定的. 单光束光阱方案更适用于纳米球的捕获. 高数值孔径镜头是该方案中的必备元件,因为单光束光阱方案通常需要利用高数值孔径的透镜来高度聚焦激光(Gieseler et al., 2012),并且通常需要通过油浸环境来获得更高的数值孔径. 当捕获光束是轴对称的并且微粒是球形时,微球自然地位于光束的中心附近,这使得探测效率更高且更加灵活.
图6 三种光阱的典型光路结构图
图片来源于Gieseler et al.(2012)、Li(2013)和Vovrosh et al.(2017)
在带抛物面镜的单光束光阱中,实现捕获的力主要源于反射镜反向汇聚光的梯度力,因为它是高度聚焦的(Vovrosh et al., 2017);而前向传播的平行光散射力可以忽略不计. 因此,与普通的单光束光阱方案相比,该方案并没有显着提高捕获效率,并且难以稳定捕获微球. 这种方法的优点是抛物面镜具有较小像差,而且装置简单,更能抗干扰.
当两束光以相反方向传输时,利用两束光的梯度力对微粒进行捕获,可以提高总的捕获效率(Li et al., 2010). 双光束光阱方案能够在没有任何其他外力协助下稳定地捕获微球. 它还可以在较低光强度条件下捕获微粒并减少激光加热效应带来的影响. 当在超低气压环境下捕获微粒时这一点尤为重要,因为高强度激光会通过介质加热微粒,减少光镊中微粒的存在时长. 但该方案要求两束光的焦点高度重合,否则微粒的运动将变得复杂,这增加了调节光束的难度. 表2罗列了已报道的用于真空中捕获微粒的多种光学结构.
3.4.2 非高斯光束光阱
除了传统的高斯光束光阱外,还有一些新型光阱,包括利用特殊光束形成的光阱,例如涡旋光、拉盖尔—高斯光、贝塞尔光等. 2013年,Ostrovsky等人(2013)首次引入“完美涡旋光束”的概念,其强度分布和半径不随拓扑电荷发生变化. 基于这些性质,如果利用涡旋光束捕获微粒,微粒将以恒定速度旋转. 此后Chen等人提出一种创造“完美”涡旋光束的新方法(Chen et al., 2013, 2014),对特殊场景下的光学操纵意义重大. 他们在实验中首先通过轴棱镜获得环形光束(Chen et al., 2015),然后利用空间光调制器(SLM)来选择拓扑电荷. 从被捕获微粒(分散在重水中的3 μm聚苯乙烯球)的运动中可以探测局部轨道角动量(OAM)密度,从而改善涡旋光束(如图7(a)所示). 通常来说,波前和局部轨道角动量密度校正都有助于完美涡旋光束的局部轨道角动量密度的均匀分布(如图7(b)所示). 他们发现空气阻尼系数可以极大地影响粒子的轨道运动、光束参数和惯性力. 2017年,Arita等人(2017)结合“完美涡旋”和贝塞尔光束形成三维势阱,并研究被捕获微粒的动力学特性,从被捕获微粒的轨迹还可以反推出三维光电势阱. 粒子在势阱中的复杂运动包括涡旋平面中的旋转运动和涡旋与贝塞尔光束之间的周期轨道运动(如图7(c)所示). 此时微粒运动是由梯度力、散射力与惯性力、重力的共同作用形成的.
图7 (a)单个捕获微粒的旋转分析,(b)LG光束的光束轮廓和二氧化硅微粒的运动轨迹,(c)沿z轴传播的完美涡旋光束(l=15)的空间分布及其数值仿真
图片来源于Chen et al.(2015)和Mazilu et al.(2016)
表2 不同光阱结构的简单汇总
4 应用
4.1 加速度测量
加速度的精确测量在惯性导航中至关重要. 悬浮式光力学系统已被证明是新型高灵敏度加速度计的理想方案. 谐振子模型广泛适用于各种加速度计中,受限于热噪声,可探测的最小加速度可表示为(Ranjit et al., 2015):
其中带宽b的测量值远小于谐振频率ω0. kB是玻尔兹曼常数,T是环境温度. Q是品质因数,M是谐振子的质量. 热噪声是由谐振子周围分子的热运动引起的. Q值通常受限于材料的耗散,包括传统宏观质量块加速度计中的表面缺陷、热弹性耗散和夹持损耗. 利用磁场或辐射压力悬浮机械谐振子(Romero-Isart et al., 2012)或辐射压力(Yin et al., 2013)是规避材料耗散的有效方法. 光镊通过激光捕获介电微球,是其中一种具有代表性的技术. 它已广泛应用于生物学(Neuman and Block, 2004)和基础物理(Geraci et al., 2010)等各个领域.
另一方面,公式(9)并未考虑物理夹持产生的噪声. 由于不需要材料夹持,而且处于高真空环境,光镊加速度计与振动噪声和热噪声隔离,而振动噪声和热噪声是大多数传统宏观质量块加速度计的主要噪声源. 光镊带来的新的附加干扰是由光子反冲导致的动量扩散(Diehl et al., 2018). 这主要是由谐振运动频率范围内的光学相对强度噪声决定的. 相比于机械夹持带来的噪声,这部分噪声相对可控甚至可以忽略. 目前为止,宏观质量块加速度计(Kapner et al., 2007)已实现的加速度灵敏度仍然保持领先,但根据公式(9),由于光镊技术通常采用更小的敏感质量,理论上具有更高灵敏度. 此外,光镊技术对该微观尺度具有特殊研究价值,可作为理想工具,用于研究距离小于100 μm时的新相互作用力(Monteiro et al., 2017).
在结合外差探测系统的单光束光阱中捕获d=5 μm的微球(Rider et al., 2018),已经实现7.7 μg/(Hz)1/2的加速度探测灵敏度;而在结合阻尼反馈系统的多光束光阱中捕获d=3 μm的微球,已经实现47 μg/(Hz)1/2的加速度探测灵敏度(Li et al., 2011).目前利用真空光镊系统报道的最高加速度灵敏度是2017年耶鲁大学Monteiro(2017)在d=23 μm的微球上获得的,为0.4 μg/(Hz)1/2. 其实验装置的简化示意图如图8所示. 采用小数值孔径(NA=0.03)透镜汇聚捕获光形成单光束光阱捕获微球,以降低捕获光的光阱力和刚度. 用于捕获微球的红外光(图8中的红色部分)也用作冷却光,提供产生反馈作用力,用于抑制微粒与残余气体分子碰撞引起的质心运动. 在Z轴方向(垂直向上方向)上调制捕获光束,对微粒进行反馈冷却. X轴和Y轴方向上的反馈冷却则是通过高带宽的压电偏转镜实现,其频率高达约1 kHz. 额外的两束绿光用于检测微球在三个正交方向上的运动.
图8 实验装置的简化结构图
图片来源于Monteiro et al.(2017)
校准装置集成在系统中:将微球放置在两块平行电极之间,平行电极产生用于校准的电场,其中一个电极连接到高压电源,另一个接地. 在强电场作用下,空气发生电离并导电,微球可以保持一定电荷量(Moore et al., 2014). 利用紫外(UV)灯照射微球表面可以根据光电效应去除绝大部分电荷量,直到仅留下单个电子的净电荷. 振荡电场相对较弱,不会击穿空气,用于持续监测捕获过程. 最后可以通过由电场产生的可控且已知的加速度来获取探测器电压信号与微球所受加速度之间的转化因子. 只要施加的电场足够弱,上述过程也适用于对系统灵敏度的测量.
光阱足够稳定的情况下可以维持一个月的测量时长. 采用较大质量的测试微球,通过104 s的长时间积分,可以获得ng量级的灵敏度. 微粒对光束的材料吸收和光阱刚度限制了光镊可捕获微粒的最大质量,但这可以通过精心挑选微粒的材料和光学结构的设计优化进行改善. 由于光束加热效应导致的微粒蒸发现象也会改变微球密度,对于遵循Stöber化学过程的微球,与使用熔融的生产方法相比,这种密度的变化更为严重. 前者可使密度降低约10–20%,这是校准和灵敏度测量中主要系统误差之一.
2018年人们提出静态重力加速度的谐振测量方案(Hebestreit et al., 2018). 首先,捕获微粒并反馈冷却其质心运动,然后关闭捕获和冷却光一段时间,在此期间微粒由于重力作用离开光阱中心,最后只打开捕获光,使微粒开始振荡一段时间. 这个过程实质上是在重力加速度上施加方波调制,而且光镊加速度计相比传统加速度计具有更高Q值,因此该方案有望实现更高的灵敏度.
4.2 力学传感
通过低温环境改善纳米管谐振子的热噪声限制力学测量灵敏度,目前最先进的力敏感度已经达到12 zN/(Hz)1/2(Moser et al., 2013). 类似的固态机械谐振传感器,例如微悬臂梁、纳米膜和纳米管在室温下通常也具有约10–100 aN/(Hz)1/2量级范围的力学测量灵敏度. 这么高的力学测量敏感性能可用于测量固体中单电子自旋(Rugar et al., 2004),实现芯片级光力学传感器(Miao et al., 2012)以及检测毫米长度尺度范围的非牛顿引力(Geraci et al., 2008). 受热噪声限制的最小可探测力为:
上式中符号的含义与公式(9)中的一样. 最小可探测力与质量的平方根成正比. 这就是在固态机械谐振传感器中采用微观质量块的原因. 相反,根据公式(9)的原理,宏观质量块则用于加速度计的设计.
在一些力学应用场景中,需要探索耦合到质量块上的力(例如重力),或者探测质量块上的原子或核子数量,为此需要优化系统对加速度的探测灵敏度. 利用光悬浮微粒进行力学测量的方法具有规避材料夹持损耗的优点,与此同时,相对于加速度测量方面的应用,这种方法拥有测量尺度上的优势. 高真空环境下光悬浮微粒,可实现优异的环境隔离,使系统在室温下就可以实现与固态机械谐振传感器相当或更好的力灵敏度(Gieseler et al., 2013).
图9 (a)实验装置图;(b)计算得到的z轴方向上的光阱力(c)z轴方向上微粒的运动曲线
在双光束光阱系统中捕获d=3 μm的微球,已经实现约200 aN/(Hz)1/2量级的探测灵敏度(Ranjit et al., 2015). 利用相同捕获方案和反馈冷却方案,更换d=300 nm的微球,也实现了1.6 aN/(Hz)1/2量级的探测灵敏度(Ranjit et al., 2016). 后者是迄今为止公开报导中光镊系统实现的最小力敏感度,由内华达大学Gambhir小组于2016年实现. 图9(a)为他们的实验装置. 两束功率相等、对向传播的相干光束,波长均为1064 nm(用红色标记),用于捕获300 nm石英微球;另外三束波长为532 nm的激光用于冷却微粒. 如图9(b)所示,对距光阱中心±500 μm的位置处沿z轴的光阱力进行计算. 光阱力变化曲线大致上类似于对向传输光束的光阱力变化曲线,但从细节上看可以发现,存在很多由驻波场构成的小势阱,如图9(b)右上角所示. 两个相邻势阱之间的距离为捕获光波长的一半. 因此,由于光功率扰动,微粒将跳到相邻捕获位置. 该过程如图9(c)所示. 利用对向传播光束的捕获方案可以获得两个优点. 首先,它可以在不同势阱之间捕获微粒,这为精确控制微粒位置的传感实验带来可能性(Park and Wang, 2009). 其次,两个相邻势阱的已知间距也可用作校准微粒位移谱的标尺,因此这种方案适用于一些特殊实验场景,在这些场景中微粒上的电荷将会引入不必要的背景噪声.
微粒的质心运动在6.7×10-9 mbar气压下被冷却至400 mK. 超高真空环境是实现微球高灵敏度探测的关键. 微粒的捕获时长可达几天时间,以超过105秒的时长对测量结果进行时间平均,测量结果显示力灵敏度可达6 zN量级.
4.3 陀螺效应
在高真空中利用圆偏振光可以漂浮微球并控制微球旋转. 由于高真空中的低阻尼条件,微球可以以高达MHz的速率旋转(Arita et al., 2013),且旋转速率达到甚至超过GHz量级的情形已经在实验上得到证明. 苏黎世理工学院的Reimann等人利用激光捕获二氧化硅纳米粒子后,通过将光的自旋角动量传递给微粒来实现旋转(Reimann et al., 2018). 在足够低的阻尼(气压10-5 mbar)下,单个100 nm微粒实现了超过1 GHz频率的旋转. 他们指出,这有可能应用于纳米级离心应力下对材料极限的测试.
几乎在同一时间,由Li(Ahn et al., 2018)领导的另一个课题组利用单束圆偏振聚焦光悬浮并旋转170 nm直径的哑铃状纳米粒子. 其实验方案如图10(a)所示,通过不同的检测光路可以从单个捕获光中提取微粒质心运动、旋转运动和扭转振动信息. 实验表明这种高速旋转可用于材料特性和真空摩擦的研究.
图10 旋转实验装置(a)和实验结果(b)
图片来源于Ahn et al.(2018)
图11 文献(Teufel et al., 2011; Chan et al., 2011)中的光力学谐振子
高速旋转将不可避免地带来该尺寸下的陀螺效应. 施加在光悬浮系统上的外部扭矩将导致旋转微球的旋转速率和进动角度发生变化. 这意味着我们有可能利用该特性测量旋转角速度,即微陀螺仪. 有几篇文献报导了旋转频率高达1 GHz的实验结果(Ahn et al., 2018). 图10为一种具有代表性的实验方案.
4.4 宏观量子态
光悬浮系统不仅可以用作加速度、弱力和微小位移的敏感探测器,而且还可以用于研究宏观机械谐振子的量子行为,可以帮助人们理解量子到经典过渡过程.
2016年,人们提出一个名为宏观量子谐振子(MAQRO)的提案,以响应欧洲航天局(ESA)的“新科学思想”号召. 官网上对MAQRO进行了介绍(http://maqro-mission.org/),将其描述为 “一个利用宏观物理探索量子-经典过渡的测试, 并为有望解决量子测量问题的所谓坍缩模型提供手段”. 它已被选为2017年需要进一步研究的3大关键领域之一(http://sci.esa.int/cosmic-vision/59040 -esa-identifies-new-science-ideas-for-future-space-missions/).
量子基态冷却是实现宏观量子态的方法之一. 在通用的量子基态实验平台中,带有一端反射镜的F-P腔是最基本的实验装置. 通过设置合适的空腔谐振频率和激光频率,使得反斯托克斯过程优于斯托克斯过程. 作为能量守恒的结果,为了产生更高能量的反斯托克斯光子,机械模式的热能必须耗散. 如果与光学精细度相关的腔模衰减率小于机械模频率,理论分析表明这些实验最终可以实现宏观机械谐振子的量子基态(Marquardt et al., 2007). 从实验和理论的角度来看,这将是物理学的重大突破.
许多研究小组已经通过实验证明机械谐振子的机械模式可以通过光力学相互作用获得显著的冷却(Cohadon et al., 1999; Corbitt et al., 2007; Gröeblacher et al., 2008). 2011年,Teufel等人(2011)和Chan等人(2011)报导了一个重大突破,他们独立地实现0.34±0.05和0.85±0.08的平均声子数,这意味着纳米谐振子已经实现量子基态冷却(图11).
这种类型的纳米谐振系统已经取得很大的研究进展,但实验中通常需要一个巨大的制冷机. 此外,目前其主要挑战是由于与环境的弱耦合而难以实现较高探测效率. 通过激光或微波光子进行量子干涉检测是一种广泛使用的提高探测效率的方法,但与这种结构并不完全兼容. 另一种在真空中利用光镊手段实现的光悬浮谐振子被认为是目前研究宏观量子效应的理想方案之一. 它的明显优点是:介质谐振子悬浮在超高真空的环境下,可以消除环境噪声;谐振子直接与激光发生相互作用,从而提高了探测效率,实现超高的品质因数. 在这种系统中,谐振子可以在室温下冷却到微开尔文量级的温度,而不需要对整个装置进行冷却. 2016年,苏黎世理工学院Jain等人(2016a)在真空光镊系统中实现了63的平均声子数. 他们将纳米粒子引入超高真空(UHV)(10-8 mbar)环境,并施加主动反馈冷却,从而对系统的光子反冲进行直接测量. 后来,他们将普通探测器替换为低噪声、高功率探测器,可以实现光功率高达70 mW的平衡探测,从而获得低至21的平均声子数(Jain et al., 2016b).
5 展望
光镊技术虽然已经问世近40年,但近些年工作在真空环境中的光镊技术焕发出新的活力. 从力传感器的研制到宏观量子态的制备,它为基础物理和实际应用提供了一个巧妙的平台. 激光技术和微制造技术的进步,一定程度上解决了真空中捕获单个微粒的技术难题,但是真空光镊技术领域仍有许多应用难题需要深入研究. 例如,非牛顿力探测、引力波检测、暗物质检测、介观尺度热力学、超灵敏度传感、宏观量子效应、固体物质波干涉测量等.
致谢
2018年合肥真空光镊技术与应用研讨会的所有参与者提供了宝贵意见,作者在此表示感谢.
胡慧珠:浙江大学先进技术研究院/光电科学与工程学院双聘教授、博士生导师,光学惯性与传感技术重点学科实验室主任。1999年毕业于西安交通大学应用物理系,获理学学士学位,2004年毕业于浙江大学光电信息工程学系,获工学博士学位,同年留校任教,2005年晋升副教授,2012年晋升教授。长期从事光学惯性与传感技术研究,承担了多项国家重大项目,在尖端光纤传感器技术研发和工程应用方面取得了突出的成绩,为多项国家重大试验和重点装备作出贡献,以第一完成人获部级科技进步奖及其他各类国家及省部级表彰。入选中组部万人计划青年拔尖人才、浙江省151人才工程,获国家863计划研究先进个人、中国光学学会王大珩光学奖中青年科技人员奖等多项荣誉。
参考文献
Ahn J, Xu ZJ, Bang J, et al., 2018. Optically levitated nanodumbbell torsion balance and GHz nanomechanical rotor. Phys Rev Lett, 121:033603.
https://doi.org/10.1103/PhysRevLett.121.033603
Appel J, Windpassinger PJ, Oblak D, et al., 2009. Mesoscopic atomic entanglement for precision measurements beyond the standard quantum limit. Proc Nat Acad Sci USA, 106(27):10960-10965.
https://doi.org/10.1073/pnas.0901550106
Arita Y, Mazilu M, Dholakia K, et al., 2013. Laser-induced rotation and cooling of a trapped microgyroscope in vacuum. Nat Commun, 4:2374.
https://doi.org/10.1038/ncomms3374
Arita Y, Chen MZ, Wright EM, et al., 2017. Dynamics of a levitated microparticle in vacuum trapped by a perfect vortex beam: three-dimensional motion around a complex optical potential. J Opt Soc Am B, 34(6):C14-C19.
https://doi.org/10.1364/JOSAB.34.000C14
Ashkin A, 1970. Acceleration and trapping of particles by radiation pressure. Phys Rev Lett, 24(4):156-159.
https://doi.org/10.1103/PhysRevLett.24.156
Ashkin A, 1992. Forces of a single-beam gradient laser trap on a dielectric sphere in the ray optics regime. Biophys J, 61(2):569-582.
https://doi.org/10.1016/S0006-3495(92)81860-X
Ashkin A, 2000. History of optical trapping and manipulation of small-neutral particle, atoms, and molecules. IEEE J Sel Top Quant Electron, 6(6):841-856.
https://doi.org/10.1109/2944.902132
Ashkin A, Dziedzic JM, 1971. Optical levitation by radiation pressure. Appl Phys Lett, 19(8):283-285.
https://doi.org/10.1063/1.1653919
Ashkin A, Dziedzic JM, 1976. Optical levitation in high vacuum. Appl Phys Lett, 28(6):333-335.
https://doi.org/10.1063/1.88748
Ashkin A, Dziedzic JM, 1977. Feedback stabilization of optically levitated particles. Appl Phys Lett, 30(4):202-204. https://doi.org/10.1063/1.89335
Ashkin A, Dziedzic JM, Bjorkholm JE, et al., 1986. Observation of a single-beam gradient force optical trap for dielectric particles. Opt Lett, 11(5):288-290.
https://doi.org/10.1364/OL.11.000288
Ashkin A, Schütze K, Dziedzic JM, et al., 1990. Force generation of organelle transport measured in vivo by an infrared laser trap. Nature, 348(6299):346-348.
https://doi.org/10.1038/348346a0
Barker PF, 2010. Doppler cooling a microsphere. Phys Rev Lett, 105:073002.
https://doi.org/10.1103/PhysRevLett.105.073002
Block SM, Goldstein LSB, Schnapp BJ, 1990. Bead movement by single kinesin molecules studied with optical tweezers. Nature, 348(6299):348-352.
https://doi.org/10.1038/348348a0
Bohren CF, Huffman DR, 1983. Absorption and Scattering of Light by Small Particles. John Wiley & Sons, New York.
Braginskiĭ VB, Manukin AB, 1967. Ponderomotive effects of electromagnetic radiation. Sov Phys J Exper Theor Phys, 25(4):653-655.
Braginskiĭ VB, Manukin AB, Tikhonov MY, 1970. Investigation of dissipative ponderomotive effects of electromagnetic radiation. Sov J Exp Theor Phys, 31:829.
Bui AAM, Stilgoe AB, Lenton ICD, et al., 2017. Theory and practice of simulation of optical tweezers. J Quant Spectrosc Rad Transf, 195:66-75.
https://doi.org/10.1016/j.jqsrt.2016.12.026
Bustamante C, Erie DA, Keller D, 1994. Biochemical and structural applications of scanning force microscopy. Curr Opin Struct Biol, 4(5):750-760.
https://doi.org/10.1016/S0959-440X(94)90175-9
Butts DLG, 2008. Development of a Light Force Accelerometer. MS Thesis, Massachusetts Institute of Technology, Massachusetts, USA.
Callegari A, Mijalkov M, Gököz AB, et al., 2015. Computational toolbox for optical tweezers in geometrical optics. J Opt Soc Am B, 32:B11-B19.
https://doi.org/10.1364/JOSAB.32.000B11
Català F, Marsà F, Montes-Usategui M, et al., 2017. Influence of experimental parameters on the laser heating of an optical trap. Sci Rep, 7(1):16052.
https://doi.org/10.1038/s41598-017-15904-6
Chan J, Alegre TP, Safavi-Naeini AH, et al, 2011. Laser cooling of a nanomechanical oscillator into its quantum ground state. Nature, 478(7367):89-92.
https://doi.org/10.1038/nature10461
Chang DE, Regal CA, Papp SB, et al., 2010. Cavity opto- mechanics using an optically levitated nanosphere. Proc Nat Acad Sci USA, 107(3):1005-1010.
https://doi.org/10.1073/pnas.0912969107
Chang YR, Hsu L, Chi S, 2006. Optical trapping of a spherically symmetric sphere in the ray-optics regime: a model for optical tweezers upon cells. Appl Opt, 45(16):3885- 3892. https://doi.org/10.1364/AO.45.003885
Chen MZ, Mazilu M, Arita Y, et al., 2013. Dynamics of microparticles trapped in a perfect vortex beam. Opt Lett, 38(22):4919-4922. https://doi.org/10.1364/OL.38.004919
Chen MZ, Mazilu M, Arita Y, et al., 2014. Optical trapping with a perfect vortex beam. In: Optical Trapping and Optical Micromanipulation XI. International Society for Optics and Photonics, 9164:91640K.
Chen MZ, Mazilu M, Arita Y, et al., 2015. Creating and probing of a perfect vortex in situ with an optically trapped particle. Opt Rev, 22(1):162-165.
https://doi.org/10.1007/s10043-015-0031-7
Chu S, Hollberg L, Bjorkholm JE, et al., 1985. Three- dimensional viscous confinement and cooling of atoms by resonance radiation pressure. Phys Rev Lett, 55(1):48- 51. https://doi.org/10.1103/PhysRevLett.55.48
Ciminelli C, Conteduca D, Dell'Olio F, et al., 2017. Photonic, plasmonic and hybrid nanotweezers for single nanoparticle trapping and manipulation. 19th Int Conf on Transparent Optical Networks.
Clercx HJH, Schram PPJM, 1992. Brownian particles in shear flow and harmonic potentials: a study of long-time tails. Phys Rev A, 46(4):1942-1950.
https://doi.org/10.1103/PhysRevA.46.1942
Cohadon PF, Heidmann A, Pinard M, 1999. Cooling of a mirror by radiation pressure. Phys Rev Lett, 83(16): 3174-3177. https://doi.org/10.1103/PhysRevLett.83.3174
Cohen L, 1998. The generalization of the Wiener-Khinchin theorem. Proc IEEE Int Conf on Acoustics, Speech and Signal Processing, p.1577-1580.
https://doi.org/10.1109/ICASSP.1998.681753
Corbitt T, Chen YB, Innerhofer E, et al., 2007. An all-optical trap for a gram-scale mirror. Phys Rev Lett, 98:150802. https://doi.org/10.1103/PhysRevLett.98.150802
Davis KB, Mewes M, Andrews MR, et al., 1995. Bose-Einstein condensation in a gas of sodium atoms. Phys Rev Lett, 75(22):3969-3973.
https://doi.org/10.1103/PhysRevLett.75.3969
Diehl R, Hebestreit E, René R, et al., 2018. Optical levitation and feedback cooling of a nanoparticle at subwavelength distances from a membrane. Phys Rev A, 98(1):013851. https://doi.org/10.1103/PhysRevA.98.013851
Dienerowitz M, Mazilu M, Dholakia K, et al., 2008. Optical manipulation of nanoparticles: a review. J Nanophoton, 2:21875. https://doi.org/10.1117/1.2992045
Fu ZH, She X, Li N, et al., 2018a. A chip of pulse-laser-
assisted dual-beam fiber-optic trap. Progress in Electromagnetics Research Symp, p.86-91.
https://doi.org/10.23919/PIERS.2018.8597625
Fu ZH, She X, Li N, et al., 2018b. Launch and capture of a single particle in a pulse-laser-assisted dual-beam fiber- optic trap. Opt Commun, 417:103-109.
https://doi.org/10.1016/j.optcom.2018.02.040
Genes C, Vitali D, Tombesi P, et al., 2008. Ground-state cooling of a micromechanical oscillator: comparing cold damping and cavity-assisted cooling schemes. Phys Rev A, 77(3):033804. https://doi.org/10.1103/PhysRevA.77.033804
Geraci AA, Smullin SJ, Weld DM, et al., 2008. Improved constraints on non-Newtonian forces at 10 microns. Phys Rev D, 78:022002.
https://doi.org/10.1103/PhysRevD.78.022002
Geraci AA, Papp SB, Kitching J, 2010. Short-range force detection using optically cooled levitated microspheres. Phys Rev Lett, 105:101101.
https://doi.org/10.1103/PhysRevLett.105.101101
Gieseler J, 2014. Dynamics of Optically Levitated Nanoparticles in High Vacuum. PhD Thesis, Universitat Politècnica de Catalunya.
Gieseler J, Deutsch B, Quidant R, et al., 2012. Subkelvin parametric feedback cooling of a laser-trapped nanoparticle. Phys Rev Lett, 109(10):103603.
https://doi.org/10.1103/PhysRevLett.109.103603
Gieseler J, Novotny L, Quidant R, 2013. Thermal nonlinearities in a nanomechanical oscillator. Nat Phys, 9(12):806- 810. https://doi.org/10.1038/nphys2798
Gong ZY, Pan YL, Videen G, et al., 2018. Optical trapping and manipulation of single particles in air: principles, technical details, and applications. J Quant Spectrosc Rad Transf, 214:94-119.
https://doi.org/10.1016/j.jqsrt.2018.04.027
Gouesbet G, 2010. T-matrix formulation and generalized Lorenz-Mie theories in spherical coordinates. Opt Commun, 283(4):517-521.
https://doi.org/10.1016/j.optcom.2009.10.092
Gouesbet G, 2019. Generalized Lorenz-Mie theories and mechanical effects of laser light, on the occasion of Arthur Ashkin’s receipt on the 2018 Nobel prize in physics for his pioneering work in optical levitation and manipulation: a review. J Quant Spectros Rad Transf, 225:258-277. https://doi.org/10.1016/j.jqsrt.2018.12.015
Gouesbet G, Gréhan G, 2017. Special cases of axisymmetric and Gaussian beams. In: Generalized Lorenz-Mie Theories (2nd Ed.). Springer, Cham, p.268-270.
https://doi.org/10.1007/978-3-319-46873-0_6
Gouesbet G, Lock JA, 2015. On the electromagnetic scattering of arbitrary shaped beams by arbitrary shaped particles: a review. J Quant Spectrosc Rad Transf, 162:31-49.
https://doi.org/10.1016/j.jqsrt.2014.11.017
Gouesbet G, Maheu B, Gréhan G, 1988. Light scattering from a sphere arbitrarily located in a Gaussian beam, using a Bromwich formulation. J Opt Soc Am A, 5(9):1427-1443. https://doi.org/10.1364/JOSAA.5.001427
Grass D, 2013. Optical Trapping and Transport of Nanoparticles with Hollow Core Photonic Crystal Fibers. MS Thesis, University of Vienna.
Grier DG, 2003. A revolution in optical manipulation. Nature, 424(6950):810-816. https://doi.org/10.1038/nature01935
Gröeblacher S, Gigan S, Böehm HR, et al., 2008. Radiation- pressure self-cooling of a micromirror in a cryogenic environment. Europhys Lett, 81(5):54003.
https://doi.org/10.1209/0295-5075/81/54003
Hänsch TW, Schawlow AL, 1975. Cooling of gases by laser radiation. Opt Commun, 13(1):68-69.
https://doi.org/10.1016/0030-4018(75)90159-5
Harada Y, Asakura T, 1996. Radiation forces on a dielectric sphere in the Rayleigh scattering regime. Opt Comm, 124(5-6):529-541.
https://doi.org/10.1016/0030-4018(95)00753-9
Hebestreit E, Frimmer M, Reimann R, et al., 2018. Measuring gravity with optically levitated nanoparticles. Advanced Photonics Congress.
https://doi.org/10.1364/NOMA.2018.NoTu4J.2
Hoang TM, Ahn J, Bang J, et al., 2016. Electron spin control of optically levitated nanodiamonds in vacuum. Nat Commun, 7:12250.
https://doi.org/10.1038/ncomms12250
Jain V, Gieseler J, Moritz C, et al., 2016a. Direct measurement of photon recoil from a levitated nanoparticle. Phys Rev Lett, 116(24):243601.
https://doi.org/10.1103/PhysRevLett.116.243601
Jain V, Tebbenjohanns F, Novotny L, 2016b. Microkelvin control of an optically levitated nanoparticle. Front Opt. https://doi.org/10.1364/FIO.2016.FF5B.2
Juan ML, Righini M, Quidant R, 2011. Plasmon nano-optical tweezers. Nat Photon, 5(6):349-356.
https://doi.org/10.1038/nphoton.2011.56
Kajorndejnukul V, Ding WQ, Sukhov S, et al., 2013. Linear momentum increase and negative optical forces at dielectric interface. Nat Photon, 7(10):787-790.
https://doi.org/10.1038/nphoton.2013.192
Kapner DJ, Cook TS, Adelberger EG, et al., 2007. Tests of the gravitational inverse-square law below the dark-energy length scale. Phys Rev Lett, 98(2):021101.
https://doi.org/10.1103/PhysRevLett.98.021101
Kepler J, 1619. De cometis libelli tres, typis Andreae Apergeri, sumptibus Sebastiani Mylii bibliopolae augustani. Avgvstae Vindelicorum.
Kiesel N, Blaser F, Delić U, et al., 2013. Cavity cooling of an optically levitated submicron particle. Proc Nat Acad Sci USA, 110(35):14180-14185.
https://doi.org/10.1073/pnas.1309167110
Kirstine BS, Henrik F, 2004. Power spectrum analysis for optical tweezers. Rev Sci Instrum, 75(3):594-612.
https://doi.org/10.1063/1.1645654
Lebedev P 1901. Untersuchungen über die druckkräfte des lichtes. Ann Phys, 6:433-458 (in German).
Lett PD, Watts RN, Westbrook CI, et al., 1988. Observation of atoms laser cooled below the Doppler limit. Phys Rev Lett, 61(2):169-172. https://doi.org/10.1103/PhysRevLett.61.169
Li TC, 2013. Fundamental Tests of Physics with Optically Trapped Microspheres. Springer Science & Business Media, New York.
Li TC, Kheifets S, Medellin D, et al., 2010. Measurement of the instantaneous velocity of a Brownian particle. Science, 328(5986):1673-1675.
https://doi.org/10.1126/science.1189403
Li TC, Kheifets S, Raizen MG, 2011. Millikelvin cooling of an optically trapped microsphere in vacuum. Nat Phys, 7(7):527-530. https://doi.org/10.1038/nphys1952
Loke VLY, Nieminen TA, Heckenberg NR, et al., 2001. T-matrix calculation via discrete dipole approximation, point matching and exploiting symmetry. J Quant Spectrosc Rad Transf, 110(14-16):1460-1471.
https://doi.org/10.1016/j.jqsrt.2009.01.013
Ludlow AD, Boyd MM, Ye J, et al., 2015. Optical atomic clocks. Rev Mod Phys, 87(2):637-701.
https://doi.org/10.1103/RevModPhys.87.637
Mackowski DW, 2002. Discrete dipole moment method for calculation of the T matrix for nonspherical particles. J Opt Soc Am A, 19(5):881-893.
https://doi.org/10.1364/JOSAA.19.000881
Mao H, Arias-Gonzalez JR, Smith SB, et al, 2005. Temperature control methods in a laser tweezers system. Biophys J, 89(2):1308-1316.
https://doi.org/10.1529/biophysj.104.054536
Maragò OM, Jones PH, Gucciardi P, et al., 2013. Optical trapping and manipulation of nanostructures. Nat Nanotechnol, 8(11):807-819.
https://doi.org/10.1038/nnano.2013.208
Marquardt F, Chen JP, Clerk AA, et al., 2007. Quantum theory of cavity-assisted sideband cooling of mechanical motion. Phys Rev Lett, 99:093902.
https://doi.org/10.1103/PhysRevLett.99.093902
Mazilu M, Arita Y, Vettenburg T, et al., 2016. Orbital-angular-momentum transfer to optically levitated microparticles in vacuum. Phys Rev A, 94(5):053821.
https://doi.org/10.1103/PhysRevA.94.053821
Mestres P, Berthelot J, Spasenović M, et al., 2015. Cooling and manipulation of a levitated nanoparticle with an optical fiber trap. Appl Phys Lett, 107(15):151102.
https://doi.org/10.1063/1.4933180
Miao HX, Srinivasan K, Aksyuk V, 2012. A microelectromechanically controlled cavity optomechanical sensing system. New J Phys, 14:075015.
https://doi.org/10.1088/1367-2630/14/7/075015
Millen J, Deesuwan T, Barker P, et al., 2014. Nanoscale temperature measurements using non-equilibrium Brownian dynamics of a levitated nanosphere. Nat Nanotechnol, 9(6):425-429. https://doi.org/10.1038/nnano.2014.82
Monteiro F, Ghosh S, Fine AG, et al., 2017. Optical levitation of 10-ng spheres with nano-g acceleration sensitivity. Phys Rev A, 96:063841.
https://doi.org/10.1103/PhysRevA.96.063841
Moore DC, Rider AD, Gratta G, 2014. Search for millicharged particles using optically levitated microspheres. Phys Rev Lett, 113(25):251801.
https://doi.org/10.1103/PhysRevLett.113.251801
Moser J, Güttinger J, Eichler A, et al., 2013. Ultrasensitive force detection with a nanotube mechanical resonator. Nat Nanotechnol, 8(7):493-496.
https://doi.org/10.1038/nnano.2013.97
Neuman KC, Block SM, 2004. Optical trapping. Rev Sci Instrum, 75(9):2787-2809.
https://doi.org/10.1063/1.1785844
Nichols EF, Hull GF, 1903. The pressure due to radiation. Astrophys J, 17(5):315-351.
https://doi.org/10.1086/141035
Nieminen TA, Rubinsztein-Dunlop H, Heckenberg NR, 2003a. Calculation of the T-matrix: general considerations and application of the point-matching method. J Quant Spectrosc Rad Transf, 79-80:1019-1029.
https://doi.org/10.1016/S0022-4073(02)00336-9
Nieminen TA, Rubinsztein-Dunlop H, Heckenberg NR, 2003b. Multipole expansion of strongly focussed laser beams. J Quant Spectrosc Rad Transf, 79-80:1005-1017.
https://doi.org/10.1016/S0022-4073(02)00335-7
Nieminen TA, Loke VLY, Stilgoe AB, et al., 2007. Optical tweezers computational toolbox.J Opt A, 9(8):S196-S203. https://doi.org/10.1088/1464-4258/9/8/S12
Nieminen TA, Du Preez-Wilkinson N, Stilgoe AB, et al., 2014. Optical tweezers: theory and modelling. J Quant Spectrosc Rad Transf, 146:59-80.
https://doi.org/10.1016/j.jqsrt.2014.04.003
Ostrovsky AS, Rickenstorff-Parrao C, Víctor A, 2013. Generation of the “perfect” optical vortex using a liquid- crystal spatial light modulator. Opt Lett, 38(4):534-536. https://doi.org/10.1364/OL.38.000534
Park YS, Wang HL, 2009. Resolved-sideband and cryogenic cooling of an optomechanical resonator. Nay Phys, 5:489- 493. https://doi.org/10.1038/nphys1303
Peterman EJG, Gittes F, Schmidt CF, 2003. Laser-induced heating in optical traps. Biophys J, 84(2):1308-1316. https://doi.org/10.1016/S0006-3495(03)74946-7
Peters A, Chung KY, Chu S, 2001. High-precision gravity measurements using atom interferometry. Metrologia, 38(1):25-61. https://doi.org/10.1088/0026-1394/38/1/4
Polimeno P, Magazzù A, Iatì MA, et al., 2018. Optical tweezers and their applications. J Quant Spectrosc Rad Transf, 218:131-150. https://doi.org/10.1016/j.jqsrt.2018.07.013
Ranjit G, Atherton DP, Stutz JH, et al., 2015. Attonewton force detection using microspheres in a dual-beam optical trap in high vacuum. Phys Rev A, 91(5):051805.
https://doi.org/10.1103/PhysRevA.91.051805
Ranjit G, Cunningham M, Casey K, et al., 2016. Zeptonewton force sensing with nanospheres in an optical lattice. Phys Rev A, 93(5):053801.
https://doi.org/10.1103/PhysRevA.93.053801
Reimann R, Doderer M, Hebestreit E, et al., 2018. GHz rotation of an optically trapped nanoparticle in vacuum. Phys Rev Lett, 121(3):033602.
https://doi.org/10.1103/PhysRevLett.121.033602
Ren KF, Gréhan G, Gouesbet G, 1996. Prediction of reverse radiation pressure by generalized Lorenz-Mie theory. Appl Opt, 35(15):2702-2710.
https://doi.org/10.1364/AO.35.002702
Rider AD, Blakemore CP, Gratta GG, et al., 2018. Single- beam dielectric-microsphere trapping with optical heterodyne detection. Phys Rev A, 97:013842.
https://doi.org/10.1103/PhysRevA.97.013842
Rocheleau T, Ndukum T, Macklin C, et al., 2010. Preparation and detection of a mechanical resonator near the ground state of motion. Nature, 463(7277):72-75.
https://doi.org/10.1038/nature08681
Romero-Isart O, Pflanzer AC, Juan ML, et al., 2011. Optically levitating dielectrics in the quantum regime: theory and protocols. Phys Rev A, 83:013803.
https://doi.org/10.1103/PhysRevA.83.013803
Romero-Isart O, Clemente L, Navau C, et al., 2012. Quantum magnetomechanics with levitating superconducting microspheres. Phys Rev Lett, 109(14):147205.
https://doi.org/10.1103/PhysRevLett.109.147205
Rugar D, Budakian R, Mamin HJ, et al., 2004. Single spin detection by magnetic resonance force microscopy. Nature, 430(6997):329-332.
https://doi.org/10.1038/nature02658
Skelton SE, Sergides M, Memoli G, et al., 2012. Trapping and deformation of microbubbles in a dual-beam fibre-optic trap. J Opt, 14(7):075706.
https://doi.org/10.1088/2040-8978/14/7/075706
Sukhov S, Dogariu A, 2017. Non-conservative optical forces. Rep Prog Phys, 80(11):112001.
https://doi.org/10.1088/1361-6633/aa834e
Summers MD, Burnham DR, McGloin D, 2008. Trapping solid aerosols with optical tweezers: a comparison between gas and liquid phase optical traps. Opt Expr, 16(11): 7739-7747. https://doi.org/10.1364/OE.16.007739
Swartzlander GAJr, Peterson TJ, Artusio-Glimpse A, et al., 2010. Stable optical lift. Nat Photon, 5(1):48-51.
https://doi.org/10.1038/nphoton.2010.266
Teufel JD, Donner T, Li DL, et al, 2011. Sideband cooling of micromechanical motion to the quantum ground state. Nature, 475(7356):359-363.
https://doi.org/10.1038/nature10261
Torki A, 2016. Mechanical Transfer of Optically Trapped Nanoparticle. MS Thesis, KTH Royal Institute of Technology.
Townes CH, 1999. How the Laser Happened: Adventures of a Scientist. Oxford University Press, New York
Vovrosh J, Rashid M, Hempston D, et al., 2017. Parametric feedback cooling of levitated optomechanics in a parabolic mirror trap. J Opt Soc Am B, 34(7):1421-1428. https://doi.org/10.1364/JOSAB.34.001421
Waterman PC, 1965. Matrix for mulation of electromagnetic scattering. Proc IEEE, 53(8):805-812.
https://doi.org/10.1109/PROC.1965.4058
Waterman PC, 1971. Symmetry, unitarity, and geometry in electromagnetic scattering. Phys Rev D, 3:825-839.
https://doi.org/10.1103/PhysRevD.3.825
White DA, 2000. Numerical modeling of optical gradient traps using the vector finite element method. J Comput Phys, 159:13-37. https://doi.org/10.1006/jcph.2000.6422
Wineland DJ, Dehmelt H, 1975. Proposed 1014Δν<ν laser fluorescence spectroscopy on Tl+ mono-ion oscillator. Am Phys Soc, 20:637.
Wright WH, Sonek GJ, Berns MW, 1994. Parametric study of the forces on microspheres held by optical tweezers. Appl Opt, 33(9):1735-1748.
https://doi.org/10.1364/AO.33.001735
Yin ZQ, Geraci AA, Li TC, 2013. Optomechanics of levitated dielectric particles. Int J Mod Phys B, 27(26):1330018. https://doi.org/10.1142/S0217979213300181
计算机科学与技术学术群 | 光学工程与技术学术群 |
控制科学与技术学术群 | 信息与通信学术群 |
电力电子学术群 | 人工智能学术 |