· 马格尼托哥尔斯克冶金联合工厂,斯大林时代的样板企业
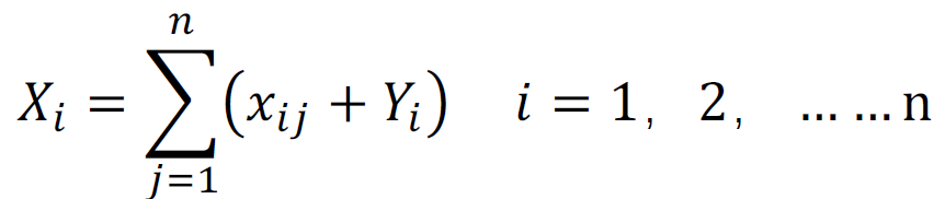
1930年代,列宁格勒的苏维埃政府正为一件事犯愁。列宁格勒有一家胶合板生产厂,有80台两种型号的机床,生产5种不同型号的胶合板,而不同型号的机床生产胶合板的能力不同。如何合理地分配每台机床的作业时间和物料投入,使得胶合板产量最大?· 2016年高考全国卷I中的线性规划题,现实的经济问题要比考卷上复杂得多在没有计算机的年代,求解线性规划问题,逐次逼近法并不现实。一位毕业于列宁格勒大学的年轻数学家,发明了新的求解方法——解乘数法,解决了胶合板厂的难题。他叫康托罗维奇,因对资源优化配置理论的贡献获1975年诺贝尔经济学奖。· 列昂尼德·维塔利耶维奇·康托罗维奇(1912-1986)康托罗维奇是苏联计划经济的一个侧面,在上世纪60年代,苏联成立了科学院中央经济数学研究所,70年代末,又普遍设立了各专业部计算中心,并在互相联通的基础上建立了全苏计算机中心(ВЦВЦИО),借助于集成电路计算机和数学模型,苏联成功将计划经济变为一门精密科学。· 《机械制造厂电能的合理使用》,论述了电能节约问题的苏联经验直到十月革命的前夕,俄国布尔什维克才不得不思考先前一直被忽略的问题:社会主义应该是个什么样子?革命导师们专注于批判资本主义,只留下了一句「有计划的社会生产」,没来得及为社会主义描绘蓝图。1914年8月,德国成立战时工业委员会和战时原料管理处,前者负责分配政府订货和管理军需生产,后者下属59个军需公司,专门管理征集和分配各种工业原料。除了计划生产,德国又先后建立起了战时粮食公司、中央饲料局、中央马铃薯局、战时动植物油脂管理局、中央水果蔬菜局、战时粮食局、帝国谷物局、帝国服装局等机构,将人们的消费也纳入了政府计划管理。列宁在1917年9月阐述了这样的设想:未来的布尔什维克政府只需将德国的战时经济照搬,然后去掉资本家和官吏,代以工兵农代表苏维埃。两个月后,十月革命爆发。然而,实行战时共产主义的苏俄,迅速被农民暴动、饥荒和萧条笼罩,这证明列宁的设想过于粗糙了。等到内战结束,苏联开始改革战时企业只管生产、不计成本、不算盈亏的供给制,追求原材料的投入与产品产出的平衡。企业内部的管理则推行经济核算(Хозяйственный учёт)。经济核算要求企业通过统计、计算学会估计和核算成本以实现投入产出比最大化。令Xi=货物i的总供给量,xij=部门i流入部门j间的货物量和Yi=满足其它需要的量,计划人员需使Xi=(xij+Yi),因此对于所有部门来说,下面的公式都是正确的:国家需要监督部门的生产系数,例如,为了在部门j产出Xj,部门j需要从部门i得到x单位产品,那么部门j的生产系数就是xij/Xj。生产系数能反馈某个部门是否发生问题,若发生问题,可能削减计划,也可能为了保住这个部门,加大资源调配。
1924年,苏联中央统计局开始编制1923年/1924年国民经济平衡表,平衡表中包含17个部门、28种农产品、2种林业产品和8种日用消费品。
总产品价值减去原材料、燃料和折旧,就能得到当年苏联国民收入。后来,苏联把核算范围扩展到所有生产部门,由一系列平衡表组成了苏联的国民经济核算体系——物质产品平衡表体系(MPS),又被东欧国家、古巴、蒙古采用。· 苏东巨变后,MPS被废弃,国际上目前采用的是SNA计划经济所需的技术已经成熟,1927年,苏联结束新经济政策。正是在物质产品平衡表体系(MPS)的基础上,苏联开始编制中国人至今熟悉的国民经济计划,正式迈入计划经济和社会主义。国民计划经济的编制涵盖了经济生活中的所有活动,一般来讲,五年计划分为七个部分,6万个独立的小标题。第一章是生产,将成千上万种产品的数量尽可能用物理单位一一表示出来。第二章涉及产品的使用,规定物资原料、半成品和成品的分配,计划编制过程需要平衡:一边来源(生产、进口、存货减少)与一边使用(生产消耗、出口、消费、存货增加)。1960年代,苏联国家计委和加盟共和国计委编制1600个商品平衡表,80年代扩增到2000多个,物资供销机构根据10500个平衡表实现贵重物品分配,国家物资供应局和各部委则要进行几万项平衡。第三章是劳动力问题,各经济领域分配人力配额和工资基金;第四章是投资计划,根据建设能力和资本品进口情况,规定投资配额;第五章是技术发展目标,第六章规定进口配额和出口目标,第七章是财政预算。计划经济委员会又会将五年计划根据对象分解,例如,在对房屋建设总量进行分解时,计划中会分别列出建设部、重工业部、轻工业部建设房子的数量和种类,各部委将计划分解到自己的主管部门,主管部门再将计划分配给下属企业,下属企业的官僚负责计划的实施。1972年苏联的工业和建筑业有40多个全联盟部和联盟兼共和国部,在全联盟部管辖下有280个部门性的总管理局,联盟兼共和国部下面有400个总管理局。工业管理环节多达四级至五级,有的甚至为六级。如苏联煤炭工业部为四级管理制:苏联煤炭工业部、加盟共和国煤炭工业部、联合企业、企业。有色冶金工业部为五级管理制:苏联有色冶金工业部、总管理局、托拉斯、联合企业、企业。石油工业部为六级管理制:石油工业部、总局、联合公司、石油工业管理局、作业坊、工段。计划编制期间,下属机构会对计划初稿提出建议,如果必须,也可以在计划执行过程中修改指标,某项产品的生产部门和使用部门也会对生产和分配进行讨论,在成千上万个最终指令正式下达前,有数不清的党委、政府机关、企业、群众组织不断地开会,讨价还价。随着苏联计划经济规模变得愈加复杂,旧的平衡表没有考虑计划改变会引起其他部门随之改变,1958年苏联加以了改进。众所周知,现实世界的经济涉及无数的分工,对应到苏联,意味着某一部门的最终产品是其他部门的投入品,为了使计划经济的运行像齿轮一样严丝合缝,就必须做好部门之间的产品平衡。苏联将旧的单一部门的平衡该为复式记账表格,横行是每一个部门的产品分配目的地,竖列投入的来源。通过该表,可以算出某一部门的生产,和需要从其他中间部门获得中间产品的数量。当任何一个部门需要修改计划,就可以计算其它部门需要增加的产出。这种部门间的计算方法,能制定一系列的平衡的计划方案。加盟共和国之间的协调也能实现。1960年代,苏联用劳动者的熟练程度建立了数字模型,实现了对教育效果的计量,评价了苏联在1940-1960年的教育投资效果。又用类似的方法实现了对新技术投资的评估。但社会主义阵营的另一边,计划经济走上了截然不同的路。1951年3月3日,周恩来向出席全国工业会议和财政会议上做《目前形势和我们的工作》报告:「现在已不是供给制时代,而是要走上经济核算时代了」。对当时的中国,专业经济人员的缺失是最大的障碍,这需要苏联老大哥的帮助。1949年,斯大林将250位管理城市和经济的苏联专家派往中国。其中一部分人负责制定国家管理体制和未来的部委职能和章程,并参加组织和建立国民经济管理系统的实际工作。另一部分人则直接被派往各大工厂,组织修复工作,管理和经营开工的企业。主管计划工作的副总理李富春,曾在苏联常驻8个月,同苏联专家制订了一五计划,之后的二五计划同样在苏联国土上制订。
效仿老大哥不容易,1951年年初,中财委在苏联专家的帮助下制作了各种统计报表,但以基层机关单位统计人员现有的业务能力,填报任务难以完成,即使勉强上报,精准度也无法达标。无奈,报表只好一再简化。
统计人员的缺失,导致不得不从产业工人中大量抽调人员,甚至一些炊事员都充斥到统计队伍中。除此之外,要想实现计划经济,工作现场的原始记录是最基础的工作,它是掌握生产情况、进行计划的凭据,生产组织和调度工作都需要通过详细的原始记录及时反馈。专业能力的缺失,使得原始记录迟迟得不到规范,1953年6月4日,《人民日报》发表社论《认真整顿原始记录工作》,批评国企军企不重视原始记录。在随后大范围的检查中,问题彻底暴露:如记录表式杂乱无章、前后不一;收交货点数不准、分批不清;退修件积压,疏于记录;工时、产量记录不实,造成定额不当;报送缺乏一定程序,送往各业务科的报表互相对不起来,以致原始记录不能及时、正确、全面地反映作业计划的完成情况,作业计划的编制与检查缺乏精确的资料。直到1960年代,少记、漏记、错记、字迹潦草等问题都没能得到根治。技术层面还是次要,管理上的分歧才最终让中国偏离苏式计划经济。1929年,苏共中央颁布了调整生产管理和确立一长制(亦称厂长负责制)的决议。决议规定,在生产管理中,厂长(经理)对完成国家计划和一切生产任务直接负责,领导企业行政管理机构、全部生产组织和技术过程,并会同车间主任、工段长分别对工厂、车间、工段实行三级一长负责制,同时相应地建立各职能部门的岗位责任制。行政机构和党、工会及其他群众组织均应无条件地执行厂长(经理)有关生产业务的命令。这样的制度一是能发挥技术人员的专业优势,二是实现上级管理部门对下级企业的有效问责。因为这也是苏联马格尼托哥尔斯克冶金联合工厂的生产管理方式,所以中国将其称之为「马钢宪法」。· 马格尼托哥尔斯克冶金联合工厂,斯大林时代的样板企业马钢宪法最早在东北等地的一些苏援工厂实行。据前财政部长薄一波的回忆,绩效相当不错:「东北就是完全学苏联的,成绩显著」。至于其他地方,长久以来,由于战争等种种原因,老解放区工厂的权力核心是政委,厂长则被边缘化。1949年,苏联专家到北京石景山钢厂指导时,询问产品产量,陪同的厂长竟答不上来,苏联专家颇为震惊。在新解放区,虽然公私合营将企业所有权转移,但原本的旧厂长往往缺乏政治素养,因此生产决策权也一并纳入党委。在1951年华东局和华北局召开的城市工作会议上,讨论了厂长负责制的推行问题,最后给出的结论是,这些地区仍缺乏「技术和政治都行」的干部出任企业高层核心,条件尚不成熟,留待以后考虑。1956年中共「八大」上,一长制被彻底否定。随后,一些主张恢复「一长制」的人被打为右派。1958年后,为了实现生产的跃进,也因为中央无法调配足够的资金和物料,于是出于发挥地方企业的积极性的考虑,将部分工业企业下放到地方。这与严格按照国民经济计划的苏式计划经济,已经渐行渐远。中央要求用群众路线的方法修改或废除那些束缚生产力、阻碍群众发挥积极性的「陈规陋章」,企业内部制度也要改革。黑龙江省率先总结上报了一些工厂的生产制度改革经验,受到中央的重视,这一经验被概括为「两参一改三结合」,即干部参加劳动、工人参加管理;改革不合理的规章制度;技术人员、工人与干部三结合。到了1960年,毛在批示鞍山市委的工作报告时,将其命名为「鞍钢宪法」。除了「两参一改三结合」,「鞍钢宪法」的核心内容还包括了大搞群众运动、实行政治挂帅、党委领导制和开展技术革新与技术革命。北安国营庆华工具厂在几天内接连废除和简化了260余种报表,修改制度150余项。上海柴油机厂推行鞍钢宪法以来,生产计划、调度、定额、考勤、工资统计、工具管理等等全都下放给生产小组掌握和管理。有些企业把生产计划、产品设计、技术检验、技术安全、设备动力、工艺等重要科室全部裁撤。取消了厂长负责制,意味着问责消失,集体负责就是没人负责。保质保量完成生产任务不再重要,相反要极力避免「官僚主义」或是「保守主义」的罪名。干部亲口承认:「抓政治保险,抓业务危险,抓经济核算险上加险」。生产于是「佛系」了起来。以上海为例,上钢三厂撤销了检查科,放钢和浇钢签证制度、违反规程考核制度、炼钢和浇钢监督规程等先后被废除,其他正规生产制度也名存实亡。结果是成本激增、质量下降。全厂钢品的一级品率从1958年的81.66%下降到1960年的63.64%,平炉车间每吨钢的成本由1957年的不到246元上升到1960年的352元,转炉车间的成本更是飙升了206元。仅1959年和1960年两年,全厂亏损就达10294万元之多。上海机床厂的工人为图省事任意违反操作规程,过分简化设计图纸和工艺规程。1959年5月产出的779吨废品中,由于工人违法操作规程而报废的占56%左右。齐齐哈尔市建华机械厂标榜「八无」制度,即无人售饭菜食堂、无人发放工资、无人管理工具库、无人管理图书室、无人管理游艺室、无人收会费、无人收售电影票、无人收售洗澡票。苏联老大哥的马钢宪法被斥责为走修正主义白专路线,与中国的革命路线相对立。制度管理被等同于「管、卡、压」,经济核算被等同于「利润挂帅」。在这样的历史行程下,计划经济名存实亡,取而代之的是「批示工程」、「条子项目」。再加上无视地方资源禀赋,在县以下单位兴办地方小型工业企业,即所谓「五小工业」,更与苏联追求的生产要素优化配置背道而驰。市场和计划统统偏离的中国,从1950年到1975年,国内基本建设投资超过5000亿元,但形成的固定资产不到3500亿元,固定资产交付使用率为68. 4%,也就是说,有将近1/3的投资没有形成生产能力,这个数字要低于同期苏联20%以上。好的一方面是,这也让中国的改革变得更少阵痛、更加容易。1. 林超超.苏联经济核算制与中国计划经济[J],2016.
2. 秦晖.转轨前中东欧与中国经济体制的“可放弃性”问题[J],2003.
3. B.V.Немчинов. Экономико-математические методы и модели[M],1962.
4. (英)克里·特纳(R.K. Turner),克莱夫·科利斯(C. Collis)著,林毅夫译.计划经济学[M],1982.
Go to "Discover" > "Top Stories" > "Wow"