Weixin ID energist
About Feature 能源学人,打造最具影响力的能源科技服务平台!
在高镍正极颗粒中设置多孔缓冲层以隔离裂纹延伸
2022-12-14
Small:从阻抗的角度分析探究金属锂负极原生质膜对界面反应活性的影响
通过生物自生长法“量身定制”一体化高性能柔性锂电池
表面Al掺杂助力富锂层状氧化物的氧氧化还原和结构稳定
马越教授团队Energy Storage Mater.:废弃石墨负极重获新生——柔性叠片式快充电极的复苏
中南民族大学杨应奎教授团队AFM:核壳结构双极性电极构建高性能聚合物基全电池
今日NM:300mAh/g高可逆容量正极,能量密度达750Wh/kg,循环400圈无衰减!
2022-12-13
高度对称的过渡金属六圆环结构实现空气稳定的钠电层状氧化物正极
华科大黄云辉&合工大项宏发&黄志梅ACS Energy Lett.磷酰胺共溶剂调控锌(002)晶面沉积及助力长循环寿命锌金属电池
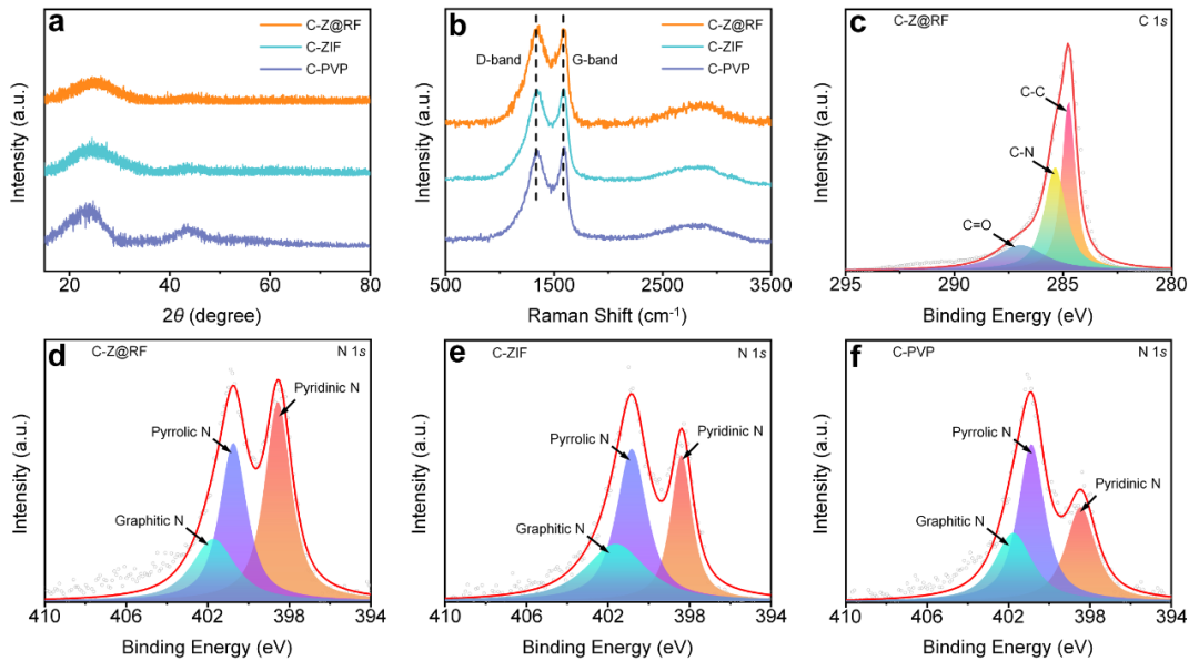
Fe-N-C助力ZnS纳米颗粒实现高性能钾离子存储
Scan to Follow