![]()
相变储热技术能克服热能供给和需求在时间、空间和强度上的不匹配问题,具有储热密度高、工作温度稳定、大规模化成本低等优势,在工业余热回收、可再生能源利用、电子元器件冷却和低碳建筑等领域具有广阔的应用前景。相变储热技术对实现能源转化与利用过程的节能增效,助力“双碳”目标的实现具有重要意义。然而,一般相变材料(特别是石蜡等中低温有机相变材料)的低热导率会严重影响储热系统的功率密度,制约了相变储热系统的推广应用与发展。在过去的二十多年里,基于碳基纳米添加剂的纳米复合相变材料在提高有效热导率方面取得了巨大进展。然而伴随着热导率的大幅提升,随之出现了两个经常被忽视的负面影响。首先,纳米添加剂的存在降低了基底相变材料的潜热,导致能量密度的显著损失。其次,纳米添加剂的引入会带来粘度的显著增长,这将大幅削弱纳米复合相变材料熔化过程中的自然对流强度,这种负面效果甚至可能抵消高热导率带来的导热提升效果,造成总功率密度的下降。因此,如果将热传导性能作为唯一性能评价指标,纳米复合相变材料的低功率密度问题将无法被真正解决。鉴于此,浙江大学范利武研究员团队近期在国际著名期刊Energy Storage Materials上撰文对此进行了评述与展望,系统地总结和评价了碳基纳米添加剂对纳米复合相变材料与能量密度和功率密度相关的性能指标的影响,从声子传输、分子间作用力和传热机制方面分析了热导率、焓值和粘度的变化。为应对纳米添加剂所带来的焓值下降和粘度上升的问题,本文从微观层面的分子间相互作用和宏观层面的传热结构优化设计两个方面,提出了对实现兼具高功率密度和高能量密度的基于纳米复合相变材料的相变储热系统的策略展望。碳材料由于其具有高热导率以及与相变材料相近密度被视为制备复合纳米相变材料的常见纳米添加剂。由于碳基纳米添加物在基底相变材料中提供了声子的传输通道,因此对热导率产生显著的增强作用。该增强效果主要取决于纳米粒子的类型、几何特征和尺寸等。为了获得具有高导热性的纳米复合材料,研究者们已经针对不同类型和形状的碳基纳米添加剂(一维、二维和三维结构)进行了广泛研究。一维碳基纳米结构(CNF、CNT等)具有显著的圆柱形结构以及较高的长径比,可以在相变材料中建立线性传热路径。二维碳基纳米结构(GNP、GN、Graphene等)具有微米级的横向尺寸和纳米级的厚度。当这些纳米颗粒被分散到相变材料中时,由于随机的几何接触,可以形成无序网络,构成允许声子传输的平面传热路径。然而,这种纳米颗粒随机分散的形式也有可能导致在固-液相变过程中热导率的不稳定,同时在纳米结构的接触区域也会引起声子散射,产生局部接触热阻,降低导热性能。为了减少这一系列的负面影响,研究者们提出了构建网格式传热路径的三维碳基纳米结构(EG、HGA、Graphene foam等)的思路。一般来说,三维网格化的碳基纳米结构可以在相变材料内部构成连续的热传导通路,可以降低界面热阻,减少声子散射,并进一步加速声子传输,从而显著提高碳基纳米复合相变材料的有效热导率。同时,三维碳基纳米结构还具有更高的孔隙率、更高的比表面积和更佳的形状稳定性。为了展现碳基纳米添加剂尺寸对纳米复合相变材料热导率的影响,进一步比较了热导率增强倍数。纳米添加剂对热导率影响的整体趋势呈现出3D > 2D > 1D的趋势,不同维度的纳米结构间对热导率的影响存在着数量级的差异。这是由于高维度的纳米添加剂本身构成了比较完整的声子传输的导热通路,减少了纳米颗粒之间的无序接触,削弱了声子散射并降低了接触热阻,具有更好的导热增强效果。
2. 纳米添加剂对纳米复合相变材料焓值的不利影响
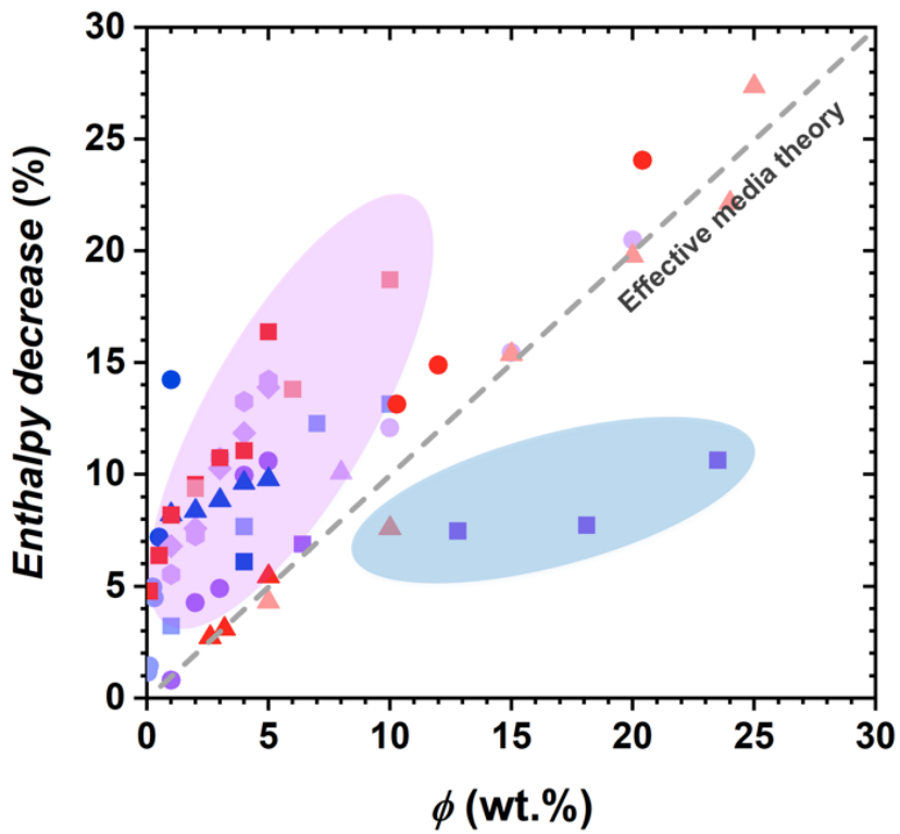
相变材料之所以能够被广泛用于工业余热回收、可再生能源利用、电子元器件冷却等领域的根本原因是因为具有较高的焓值。然而,引入储热能力较差的纳米添加剂会导致纳米复合相变材料的整体储热容量下降。这意味着复合相变材料热导率的显著提升总是伴随着潜热和显热的减少,即牺牲了其储热能力。这一负面影响目前也被一些研究工作所关注。
在大多数的研究中,焓值的损失要远高于有效介质理论的预测值。在过去的工作中,含有5 wt.%微米石墨片的复合相变材料的熔化潜热比基底相变材料降低了近20%。可以看出,焓值的实际下降比例远远超过了纳米添加剂的加载量。一般来说,除了由于碳基纳米添加剂占据了原来高焓值相变材料空间所造成的影响外,导致焓值额外下降的原因可能是:(1)纳米添加剂的引入影响了基底相变材料分子结构进而导致了焓值降低。纳米添加剂通过范德华力吸引附近的相变材料分子,进而形成一个更加有序且密集的固体层。由于周围分子中分子键的拉伸,该层在熔化的过程中所需分离分子键的能量会下降。(2)布朗运动。纳米添加剂在基底液体相变材料中的随机运动将导致基底相变材料分子键的减弱,因此在相变的过程中所需要的能量也会随之下降。此外,当纳米添加剂的加载量过高时,粒子团聚的问题也会直接导致焓值的显著下降。3. 纳米添加剂所带来的隐藏负面效应:粘度的急剧增长实际上,相变储热系统的充/放热过程非常复杂,热传导只是传热机制之一。以充热过程为例,大多数相变储热容器中的传热过程可分为三个阶段:(1)热传导占据主导阶段;(2)热传导向热对流过渡阶段;(3)热对流占据主导阶段。该阶段的划分也可以直观地从熔化过程中固液相界面的演变体现出,对于热传导主导阶段,固液相界面的形状与加热边界相对平行;对于热对流主导阶段,随着熔化过程的推进,液相区域逐渐增加,自然对流逐渐产生,因此固液相界面呈现出不规则的曲线形状。由此可见,与热导率相关的热传导过程只影响了相变过程的部分阶段,而热对流机制对熔化过程也有着重要的影响。对于三维骨架式的纳米添加剂中,虽然相变材料被封装在网格式的碳骨架中,热传导机制在大多时间内影响着充热过程,但随着熔化过程的推进,热对流依旧会发生。也就是说,虽然针对不同的结构配置,热传导和热对流两种传热机制对功率密度的贡献比例会有所差异,但均会在一定程度上影响着功率密度。虽然在相变材料中引入具有高热导率的碳基纳米添加剂会显著强化热传导过程,但也会随之造成材料粘度的指数级增长。根据格拉晓夫数,粘度的增长会显著影响自然对流的强度。同时,在纳米复合相变材料的制备过程中,高粘度会影响纳米添加剂在基础相变材料中的分散均匀性,甚至导致结块和沉淀,这种现象对一维和二维的碳基纳米添加剂尤为严重。进一步比较碳基纳米添加剂在不同添加量下对纳米复合相变材料粘度的影响表明,纳米复合相变材料的粘度随着加载量的增加而呈现出指数级的增长。在现有的工作中,当纳米添加剂加载量低于8 wt.%时,粘度甚至增长了8000倍。值得一提的是,在对于纳米复合相变材料的数值研究中,通常使用Brinkman关联式来预测悬浊液的粘度。但事实上,实测的粘度却远远超过了Brinkman的相关预测。另一方面,对于相变储热系统的实际充热过程,热导率的增加确实造成了充热过程开始阶段的高功率密度(当热传导占主导地位时),在充热过程的后期(当热对流占主导地位时),这部分的强化效果可能会被由于粘度增长造成的对流效应的恶化效应所部分抵消,甚至超过高热导率带来的增益。同时,不同形状的储热容器其内部的传热机制也存在一定的差异。也就是说,在一些储热容器的充热过程中,由于粘度对传热过程的负面影响,高热导率并不意味着高功率密度。这种问题在基于一维和二维的碳基纳米添加剂的复合材料中尤为常见。因此,对基于纳米复合相变材料的储热系统的功率密度研究应结合具体的容器形状和内部传热机制进行分析。现有的一些实验研究工作也证明在高纳米颗粒加载量下,纳米复合相变材料的熔化速率甚至还要慢于纯相变材料。
4. 获取兼具高功率密度和高能量密度的纳米复合相变材料的策略展望为了给纳米添加剂引入所造成的两点负面影响提供解决思路,本本从微观层面的分子间相互作用和宏观层面的传热结构优化设计两个方面,提出了对实现高性能的基于纳米复合相变材料的相变储热系统的展望。实际上,开发兼具高能量密度和高功率密度相变材料是非常具有挑战性的,特别是对于中低温范围的有机相变材料(例如烷烃和醇)。幸运的是,多元醇类相变材料的特定分子结构为解决能量密度和功率密度间的权衡问题提供了一条可行的解决途径。分子动力学研究表明,多元醇类相变材料中的羟基基团所形成分子间和分子内氢键是其具有高能量密度原因之一。因此在分子层面上,通过化学改性等表面功能化或掺杂等手段在碳基纳米添加剂表面引入含氧官能团,以使其与基底相变材料分子间可以主动地形成氢键,该手段在现有研究中已被证明可以明显弥补纳米复合相变材料的潜热损失。此外,表面功能化和掺杂的手段也可以有效地加速晶格振动和声子传输,并减少声子散射,在一定程度上提升复合材料的功率密度。同时,这种策略还可以防止碳基纳米添加剂的团聚问题,使纳米复合相变材料更具有应用潜力。在另一方面,虽然不能避免碳基纳米添加剂负载对相变材料粘度的负面影响,但通过合理的换热器设计和对储热装置内部传热机制的调控,可以削弱甚至避免高粘度引起的自然对流强度的恶化对总功率密度的影响。接触熔化作为一种微液膜传热模式,因为其通过外力(如重力等)的作用,可以将整个熔化过程中的热阻均限制在一层百微米级的液膜中,显著加速充热过程。现有研究也证实了通过对相变储热装置内部结构的优化设计可以成功构建接触熔化区域,提升相变储热系统的功率密度。因此,在相变过程中引入接触熔化机制,可以将传热过程限制在微液膜内,造成整个充热过程中这种近距离接触熔化的机制均占主导地位,从而最大程度发挥纳米复合相变材料高热导率的优势,有效避免纳米添加剂负载所带来的高粘度的负面影响,使获得兼具高能量密度和高功率密度的相变储热系统成为可能。作为相变储热技术的关键材料,开发具有高能量密度和高功率密度的相变材料是提高能源效率,减少化石能源利用,助力碳中和的有效途径。本工作系统性总结并客观评价了不同维度的碳材料对纳米复合相变材料功率密度和能量密度的影响。引入碳基纳米添加剂以制备纳米复合相变材料可以显著提升热导率,但同时也带来了两个负面影响,即焓值的损失造成的能量密度的下降以及粘度的增长带来的对总功率密度的影响。为解决上述两点问题,本文从微观层面分子间相互作用和宏观层面传热结构的优化设计两个方面,提出了对实现兼具高功率密度和高能量密度的基于纳米复合相变材料的相变储热系统的展望。希望能为合理设计和开发高性能纳米复合相变材料提供思路,并进一步推动相变储热技术的实际应用。Zi-Rui Li, Nan Hu, Li-Wu Fan, Nanocomposite phase change materials for high-performance thermal energy storage: A critical review, Energy Storage Materials, 2022. https://doi.org/10.1016/j.ensm.2022.12.03第一作者-李梓瑞 浙江大学能源工程学院热工与动力系统研究所2019级直博生。主要从事纳米复合相变材料的固液相变传热特性与储热过程换热器优化研究,以第一作者在Energy Storage Mater., Int. J. Heat Mass Transfer, ASME J. Heat Transfer和J. Energy Storage等国际传热与能源领域的权威期刊上发表论文6篇。获浙江大学竺可桢奖学金、浙江大学“十佳大学生”、中国大学生自强之星等奖励荣誉。共同作者-胡楠 浙江大学能源工程学院热工与动力系统研究所2018级直博生。主要从事储能过程中微尺度多相流动和传热研究,以第一/通讯作者(含共同)在Nature Commun., Renew. Sustain. Energy Rev., Int. J. Heat Mass Transfer, ASME J. Heat Transfer和Energy等国际传热与能源领域的权威期刊上已发表论文11篇,受邀担任多个高水平国际期刊和国际会议的独立审稿人。获浙江大学竺可桢奖学金、浙江省“十佳大学生”、浙江大学“十佳大学生”等奖励荣誉。通讯作者-范利武 浙江大学长聘副教授、百人计划研究员,能源工程学院热工与动力系统研究所所长,能源清洁利用国家重点实验室和浙江省清洁能源与碳中和重点实验室固定成员。围绕节能降碳国家重大需求,长期从事能源转化、利用与存储过程中的复杂多尺度相变传热传质与流动现象研究。以第一/通讯作者发表高水平国际期刊论文100余篇,共被SCI他引逾4500次,5篇曾入选ESI高被引论文,H-Index为33。入选国家级青年人才计划,获中国工程热物理学会第14届吴仲华优秀青年学者奖,并连续入选斯坦福大学颁布的全球Top 2%顶尖科学家“生涯影响力”和“年度影响力”两大榜单。曾任中国工程热物理学会传热传质分会青工委首届委员,并受邀担任J. Therm. Sci., J. Zhejiang Univ.-Sci. A和Processes等SCI收录期刊的编辑/编委。