以下文章来源于中国物理学会期刊网 ,作者陈澄 王健
中国物理学会期刊网(www.cpsjournals.cn)是我国最权威的物理学综合信息网站,有物理期刊集群、精品报告视频、热点专题网页、海内外新闻、学术讲座,会议展览培训、人物访谈等栏目,是为物理学习和工作者提供一站式信息服务的公众平台。
|作者:陈 澄1 王 健1,2,3,†
(1 北京大学物理学院 量子材料科学中心)
(2 中国科学院大学 中国科学院拓扑量子计算卓越创新中心)
(3 北京量子信息科学研究院)
本文选自《物理》2020年第7期
1937 年,意大利物理学家埃托雷·马约拉纳(Ettore Majorana)发现描述费米子基本运动的狄拉克方程在特定系数下可以给出实数波动方程解(可改写为马约拉纳方程),以此预言了一种不带电荷且反粒子是其自身的神奇费米子——马约拉纳费米子(Majorana fermion)[1]。此后 80 多年来,无数物理学家一直致力于寻找这类神秘莫测的马约拉纳费米子。在粒子物理领域,不带电的中微子被认为很可能是马约拉纳费米子,但至今仍未有定论。而在凝聚态物质中,预测也存在着符合马约拉纳方程的准粒子,即凝聚态物质中的“对应物”马约拉纳准粒子。凝聚态物质中的马约拉纳准粒子在零维受限下表现为马约拉纳零能束缚态或零能模(Majorana zero-energy bound state/zeromode),其在隧穿实验中的典型信号为零能量的微分电导峰。
近年来,研制超越经典计算机运算能力的量子计算机,已成为国际科技领域的前沿焦点和实现量子超越(quantum supremacy)的核心方向。然而量子计算面临的最大问题是因退相干效应的存在,量子比特的运算需要更多比特数来纠错。因此,探索可容错的量子计算,也即对环境细节不敏感的拓扑量子计算,成为最终实现规模化量子计算的重要途径。马约拉纳零能模遵循非阿贝尔统计,具备抗局域干扰和高容错的特性,可用于实现拓扑量子比特,因此备受重视[2,3]。
马约拉纳零能模被理论预言存在于二维无自旋p+ip拓扑超导体的磁通涡旋中心或一维无自旋p波拓扑超导的端点处[4,5]。由于自然界中存在的本征拓扑超导体极为稀少,Fu和Kane提出人工拓扑超导异质结构也可以承载马约拉纳准粒子[6]。实验上,当前主流的研究方法是在三维拓扑绝缘体/s波超导体异质结的磁通涡旋态处[7],或是一维强Rashba自旋—轨道耦合半导体纳米线/s波超导体异质结的线端观测零压电导峰[8 - 10]。然而,构造这类人工异质结构需要复杂的制造工艺,并且实验观测需要极低温和外加磁场,这些条件都给马约拉纳零能模可能的应用带来了极大的困难和挑战。
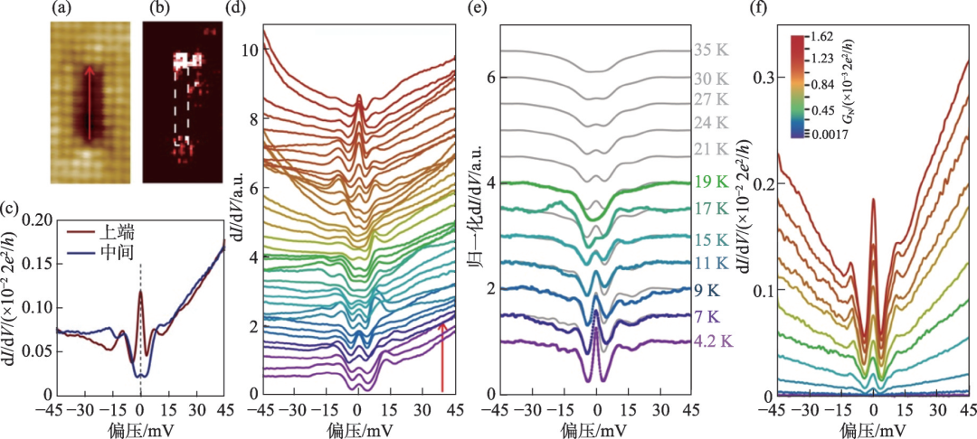
近期,我们与波士顿学院汪自强教授团队合作,在二维铁基高温超导体中的一维原子缺陷链两端发现马约拉纳零能模证据[11],为实现较高温度下、无外加磁场的拓扑零能激发态提供了一种可行性平台。通过分子束外延生长技术,我们在钛酸锶(SrTiO3)衬底上成功制备出大尺度、高质量的单层铁碲硒(FeTe0.5Se0.5)高温超导薄膜,厚度仅为0.59 nm。通过原位4.2 K低温下的扫描隧道显微镜和扫描隧道谱技术,可以看到薄膜表面的超导谱型呈现出良好的“U”型双峰结构,两对相干峰的位置约为10.5 meV和18 meV,其超导转变温度 Tc ≈ 62 K,远高于块材Fe(Te, Se) ( Tc ≈ 14.5 K )[12]。非常有趣的是,我们在薄膜表面发现了一种在生长过程中自发形成的由最上层Te/Se原子缺失导致的一维原子缺陷链。在较长的一维原子缺陷链(约15个Te/Se原子长度)两端,我们同时观测到了零能束缚态(图1(a—c));而在一维原子缺陷链的非端点处,依然是超导带隙的谱形(图1(d))。更有意思的是,我们发现在较短的一维原子缺陷链(约8 个Te/Se原子长度)两端的零能束缚态发生了一定程度的耦合(图2(a—d)),其峰高随缺陷长度的依赖关系在统计中展现出正相关关系。随后,我们做了一系列验证实验来研究这种零能束缚态的特性。如图1(e)、2(e)所示,随着温度升高,零能束缚态的峰高逐渐降低,最终在远低于Tc时消失(约20 K)。随着针尖逐渐逼近薄膜表面,即隧穿势垒电导变大,零能束缚态峰迅速升高且没有发生劈裂,展现出良好的抗干扰性(图1(f)和2(f))。这些零能束缚态的谱学特性与马约拉纳零能模的特征相符合。譬如:峰值在远低于Tc时消失;随着温度增加,峰值高度和半高宽分别遵循指数规律迅速衰减和变宽;针尖逼近原子缺陷链端点处的一系列隧道谱表明零能束缚态没有发生劈裂;一维原子缺陷链两端的零能束缚态被发现可以成对出现,并与缺陷链的长度在统计上呈正相关依赖;当两条缺陷链彼此靠近时,相邻的两个零能束缚态一定程度上会相互耦合等。因此,我们可以基本上排除近藤(Kondo)效应、杂质缺陷束缚态或有节点的高温超导体中安德列夫(Andreev)零能束缚态等其他可能性。
基于肖克利缺陷态的能带理论在超导体中的表现,可以给出可能的理论解释。一维原子缺陷链处缺失的Te/Se原子会形成电子掺杂从而导致电子型能带下降至穿过费米面。并且由于垂直薄膜方向的镜面对称性破缺,沿缺陷链方向产生的强Rashba自旋—轨道耦合作用将自旋简并的费米点劈裂成两个。当超导配对能隙函数在这两个劈裂的费米点之间反号时,单层FeTe0.5Se0.5薄膜表面的一维原子缺陷链就可以看作是衍生一维拓扑超导体,其每个端点都会产生受时间反演对称性保护的一对马约拉纳零能模(Majorana Kramers pair)[13]。然而仅仅通过STM实验结果,我们也不能完全排除时间反演对称性在缺陷链处破缺的可能性。即使当时间反演对称性沿缺陷链破缺时也可产生一维原子缺陷链拓扑超导体,其两个端点各产生一个马约拉纳零能模。
我们的工作首次揭示了二维极限下的高温超导体FeTe0.5Se0.5单层薄膜中的一类拓扑线缺陷端点处的零能激发,具备单一材料、较高工作温度和无外加磁场等优势。同时,这一发现可能是首次实验上实现受时间反演对称性保护的一维拓扑超导体系,其每个端点处分别存在一对马约拉纳零能模,并满足非阿贝尔统计[14,15],这就为实现可应用的拓扑量子比特提供了一种可能的方案。美国德克萨斯大学达拉斯分校Fan Zhang教授在Science Bulletin上发表研究亮点文章,以《高温超导之马氏孪生子》为题高度评价了我们的工作[16]。Fan Zhang教授指出,这一工作“代表了实现高温拓扑超导和成对马约拉纳零能模的重要进步,其结果是真正渴望和鼓舞人心的”。
致 谢 感谢波士顿学院汪自强教授、蒋坤,中国科学院卡弗里理论科学研究所张燚,北京大学刘超飞、刘易等对本工作的贡献。
参考文献
[1] Majorana E. Nuovo Cimento,1937,5:171
[2] Nayak C et al. Rev. Mod. Phys.,2008,80:1083
[3] Alicea J,Oreg Y,Refael G et al. Nat. Phys.,2011,7:412
[4] Read N,Green D. Phys. Rev. B,2000,61:10267
[5] Kitaev A Y. Phys. Usp.,2001,44:131
[6] Fu L,Kane C L. Phys. Rev. Lett.,2008,100:096407
[7] Xu J P et al. Phys. Rev. Lett.,2015,114:017001
[8] Mourik V et al. Science,2012,336:1003
[9] Das A et al. Nat. Phys.,2012,8:887
[10] Deng M T et al. Nano Lett.,2012,12:6414
[11] Chen C et al. Nat. Phys.,2020,16:536
[12] Hanaguri T,Niitaka S,Kuroki K et al. Science,2010,328:474
[13] Zhang F,Kane C L,Mele E J. Phys. Rev. Lett.,2013,111:056402
[14] Liu X J,Wong C L M,Law K T. Phys. Rev. X,2014,4:021018
[15] Zhang F,Kane C L. Phys. Rev. B,2014,90:020501(R)
[16] Bao Z Q,Zhang F. Sci. Bull.,https://doi.org/10.1016/j.scib.2020.04.029
● 量子互联网到底是什么?中美竞争走到了哪一步?| 墨子沙龙
●【蔻享科讯】极度深寒下的原子操纵:中国科学家取得量子计算与模拟重大突破
● 天文学世界
欢迎大家提供各类学术会议或学术报告信息,以便广大科研人员参与交流学习。