![]()
欢迎关注凯莱英药闻
2022年12月7日,Replimune宣布,与罗氏已就在结直肠癌(CRC)和肝细胞癌(HCC)中共同开发RP2
/ 3溶瘤病毒项目,签订了临床试验合作和供应协议。
根据协议条款,两家公司将分担成本,共同开展三线治疗(3L)CRC、一线和二线治疗(1L和2L)HCC的临床试验;罗氏将提供获批药物阿替利珠单抗(atezolizumab)和贝伐珠单抗(bevacizumab),用于与RP3联合用于2L HCC、3L CRC、1L HCC;以及与RP2联合用于3L CRC。每个队列中将招募大约 30 名患者,Replimune将负责实施临床试验。![]()
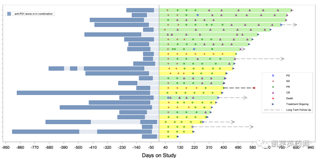
此外,Replimune有望在2023年上半年启动针对RP2 / 3的2期其它临床开发计划,适应症包括头颈部鳞状细胞癌(SCCHN),肝细胞癌(HCC)和结直肠癌(CRC)。RP2是一种基因工程改造的选择性复制能力强的1型单纯疱疹病毒(HSV-1), 并在病毒上添加了密码子优化的人粒细胞-巨噬细胞集落刺激因子(GM-CSF)、R序列缺失的长臂猿白血病病毒表面糖蛋白(GALV-GP R-),以及 CTLA-4 抗体样分子。通过这些修饰来增强通流能力,增强全身免疫激活,以实现对肿瘤的“组合拳”式打击。作用机制上,RP2在癌细胞内能够选择性复制增殖,从内部“爆破”肿瘤细胞,其表达的 GM-CSF 和 GALV-GP-R 能够额外激活免疫系统来对抗肿瘤;此外,CTLA-4 抗体样分子通过阻断 CTLA-4 ,释放免疫系统刹车,进一步增加免疫系统对肿瘤的杀伤能力。根据2022 ESMO公布的数据,在接受 RP2 溶瘤病毒和PD-1 抑制剂纳武尤利单抗(nivolumab) 联合治疗的30名晚期癌症患者中,结果显示:有7名患者从治疗中受益,包括4名黑色素瘤皮肤癌患者、2名葡萄膜黑色素瘤眼癌患者、1名头颈癌患者。肿瘤在直流后停止生长或缩小,在治疗后14个月时,有6人癌症没有进展。在安全性上,最常见的不良事件(1-2级)是发热、寒战、流感样疾病、疲劳和瘙痒。未观察到4-5级事件。RP3是一款被设计为能够同时靶向四种分子,即GALV-GP R- 、CTLA-4,CD40L和4-1BBL的溶瘤单纯疱疹病毒,旨在通过免疫共刺激途径激活进一步刺激抗肿瘤免疫反应。它是在 RP2 的基础上增加了 4-1BBL 和 CD40L,有望增加溶瘤效力、细胞间扩散、免疫原性细胞死亡和全身免疫激活。近日,公司展示了RP3与纳武利尤单抗联合用于软组织肉瘤患者的1期临床试验的数据。在5名多发性软组织肉瘤患者中接受了 RP3 联合纳武利尤单抗治疗,包括平滑肌瘤、骨肉瘤、软骨肉瘤和上皮样肉瘤,这些患者均未通过标准治疗(化疗和其他疗法)。在数据截止日期,5 名患者中有 3 名有足够的随访进行反应评估,且所有 3 名患者都在没有可行的替代治疗选择的情况下对治疗有反应,这表明 RP3 在治疗这种难以治疗的肿瘤类型方面具有潜在的效用。Replimune成立于2015年,其使命是通过开创新型肿瘤靶向溶瘤免疫疗法的开发来改变癌症治疗。公司专有的RPx平台基于强大的HSV-1骨架,并添加了有效载荷,以最大限度地提高免疫原性细胞死亡并诱导全身抗肿瘤免疫反应。RPx平台具有独特的双重局部和系统作用机制(MOA),包括直接选择性病毒介导的肿瘤杀伤,导致肿瘤衍生抗原的释放和肿瘤微环境(TME)的改变。Replimune正在开创一类新型肿瘤定向溶瘤免疫疗法(TDOI),旨在局部杀死肿瘤,改变肿瘤微环境,并引发强大的患者特异性免疫反应。这些变革性的新疗法正在开发中。除RP2、RP3外,RP1旨在治疗更具免疫反应性的肿瘤类型,编码的GALV-GP R-蛋白增强了病毒的肿瘤杀伤能力,增加了免疫原性细胞死亡;初始数据显示,RP1 在局部和全身上破坏肿瘤,包括先前接受抗 PD1 治疗后进展的患者。溶瘤病毒(OVs) 是指可以选择性感染并杀死肿瘤细胞,而不损害正常细胞的一类病毒,它们往往具有良好的溶瘤作用和靶向性。OVs感染肿瘤细胞后可在宿主细胞内复制,释放的子代病毒可以继续感染周围的肿瘤细胞,同时激活局部或全身抗肿瘤免疫效应,改变肿瘤微环境,进一步提高抗肿瘤效应。OVs 包含众多种类及特征。根据病毒基因组核苷酸类型的不同,OVs 载体可分为DNA 病毒载体和RNA病毒载体。其中,DNA病毒主要以单纯疱疹病毒(HSV)、腺病毒(AdV)、牛痘病毒(VV)和细小病毒H1(parvovirus
H1)为主;RNA 病毒主要以呼肠孤病毒(RV)、柯萨奇病毒(CV)、脊髓灰质炎病毒(PV)、麻疹病毒(MV)、NDV 及水泡性口炎病毒(VSV)为主。目前,全球共有4款产品获批上市,预测未来可到达超百亿美元的市场。根据头豹研究院数据,中国溶瘤病毒药物市场规模将以16.2%的年复合增长率继续保持增长,到2024年,市场规模有望上升至14.3亿元。
感谢关注、转发,转载授权、加行业交流群,请加管理员微信号“hxsjjf1618"。![]()
![]()