目录:
5.3 混合型基金业绩表现
6. FDR精选FOF组合业绩
实习生江子扬对此报告亦有贡献。
2月,股票市场小幅反弹,大宗商品、上游原材料相关行业领涨。受海外需求持续维持高位以及国内“稳增长”政策推动原材料需求回升的共同影响,大宗商品、上游原材料价格维持上行态势。从行业板块来看,大宗商品、上游原材料相关行业如有色金属、采掘、化工、钢铁等行业大幅上涨。其中有色金属和采掘行业分别上涨18.41%和15.71%。受益于“稳增长”预期、基建投资走高的建筑装饰行业上涨6.26%。另外受俄乌冲突影响,国防军工行业上涨5.85%。
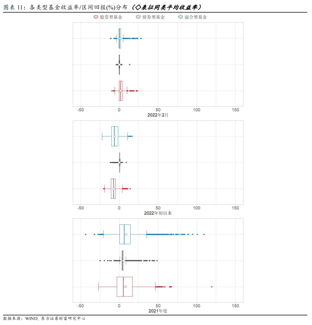
2月,各大指数均有不同程度反弹。其中沪深300指数、中证500指数、万得全A指数分别上涨0.39%、4.15%与2.81%,中小盘风格表现强于大盘风格。股票型基金总指数与混合型基金总指数2月分别上涨1.73%与0.81%。受国债收益率上行和部分地产债暴雷的影响,本月债券型基金指数下跌0.02%。
从平均收益率来看,除债券型基金和国际(QDII)基金外,其他基金均录得正收益。其中股票型基金、混合型基金的中位收益率分别为1.25%和0.23%。70.72%的股票型基金盈利,但仅有37.00%跑赢业绩基准。
2022年2月,受益于新能源行业的反弹,2021年绩优基金中高配新能源行业的股票型及混合型基金业绩有所回升,部分基金录得5%以上的正收益,当月收益排名进入前5%。2021年债券型绩优基金中的可转债基金大部分表现不佳,月收益排名仍位于后50%。
2月股市回暖,大宗商品、上游原材料相关板块大幅上涨,新能源相关板块也有所反弹。去年投资于新能源行业的绩优基金华夏能源革新与汇丰晋信低碳先锋2月进入普通型股票基金业绩top20。被动指数型基金中业绩排名靠前的均为有色金属ETF。
2月,受国债利率回升和部分地产债暴雷的影响,约半数中长期纯债基金出现亏损。短期纯债型基金业绩表现较稳定,绝大部分实现盈利。
2月,超半数混合型基金录得正收益。偏股混合型基金、平衡混合型基金、灵活配置型基金中位收益率分别为0.51%,0.18%和0.30%。偏债混合型基金表现不佳,盈利比例仅为51.63%,虽然配置以固收资产为主,但2月盈利比例低于偏股型混合基金。
与股票型基金类似,2月混合型基金绩优基金主要由配置新能源及原材料的混合型基金构成。
基金经理投资业绩同时受到能力与运气的影响,我们采用基于FDR方法的框架来控制运气对业绩的影响,筛选出一组具有显著投资能力的绩优基金。然后基于主观判断对初筛组合进行精选。在每年初根据模型得到该年度基金组合,等权持有各子基金,年度调仓。该FOF组合的投资目标为通过定量加定性的基金精选力图获得强于偏股混合型基金指数表现的长期平均收益。(具体方法可参考前期报告《基金研究 | 基金业绩持续性归因:靠本事还是凭运气?》,组合仅包含权益型公募基金。)
截止2022年2月28日,FDR精选FOF组合累计收益为-8.61%,同期普通股票型基金指数、偏股混合型基金指数、万得全A指数累计收益分别为-8.91%、-9.08%与-6.91%。2月份FDR组合月度收益为0.96%,盈利基金占比61.53%,盈利基金平均收益为2.33%,亏损基金占比38.46%,亏损基金平均收益为-1.19%。
END
东方证券股份有限公司经中国证券监督管理委员会批准,已具备证券投资咨询业务资格。本报告仅供东方证券股份有限公司客户使用,本公司不会因接收人收到本报告而视其为客户。
市场有风险,投资需谨慎。本报告所载信息、意见、推测或观点仅反映本部门于发布报告当日的判断,且不构成对任何人的投资建议,非作为或被视为出售或购买证券或其他投资标的的邀请或向人发出邀请。投资者应通过正规渠道获取产品服务,根据个人风险承受能力评估结果、个人投资目标、财务状况和需求来判断是否借鉴、参照报告所载信息、意见或观点,独立作出投资决策并自行承担相应风险