减少碳排放,应对全球气候变化,从化石能源向可再生清洁能源转型是当今社会最紧迫的主题。储能装置的发展对于太阳能和风能等清洁能源的保存以及零排放电动汽车(EV)的普及具有至关重要的作用。自1991年索尼公司首次商业化以来,锂离子电池 (LIB) 凭借高能量和功率密度、持久的循环稳定性和环境友好性的结合,在储能市场占据领先地位。锂离子电池的电化学性能在很大程度上取决于电池结构的升级和电极材料的选择。至于正极材料,以较好的安全性和结构耐受性而著称的LiFePO4,以及具有高功率和能量密度的层状氧化物(例如LiNi0.8Co0.15Al0.05O2和Li(Ni,Mn,Co)O2)已得到极大提升,以满足不断增长的市场中的多样化情况。负极方面,石墨仍占据主流材料市场。石墨理论上提供 372 mAh g-1的比容量。基于插层的机制使石墨能够保持其结构完整性并在重复的Li+插入和脱出过程中发生小的体积变化,并且在低电位下形成的固体电解质界面 (SEI) 可以有效地保护石墨不被剥落通过碳酸盐电解质。此外,低而平的工作电位(0.1 V vs. Li+/Li)可以保证全电池的最大输出电压。然而,由于石墨迟钝的Li+动力学,这种接近锂沉积层的电势也意味着锂枝晶的高风险,这严重威胁电池的安全。合金化型(Si、Sn、Ge、P等)和大部分转化型(Fe3O4、MnO2、MoO3、CoO等)可以提供高理论容量,而这些负极剧烈的体积振动、高不可逆容量和较差的动力学导致不可阻挡的容量衰减、严重的极化,并导致电池快速失效。为了缓解这些问题,合金类材料需要与大量的碳添加剂复合或设计成精细的纳米级结构,这反过来会大大降低堆积密度并加剧界面副反应并增加制造成本。就能量密度而言,锂金属是负极的最佳选择。然而,枝晶和循环稳定性差的问题仍然阻碍了它的实际应用。与合金型和锂金属相比,插层型负极材料可以提供适当的空位来容纳Li+,晶格体积膨胀更小,因此具有优异的循环稳定性。除石墨外,Li4Ti5O12(LTO)作为一种插层型负极,由于其优越的安全性、零应变特性、相对较高的体积容量和优异的低温性能(例如,0 至 -30 °C),近年来也引起了人们的广泛关注。尽管如此,相对较低的理论容量(175 mAh g-1) 和过高的工作电位 (1.55 V vs.Li+/Li) 阻碍了 LTO 的应用。因此,需要继续努力寻找合适的具有高容量和安全潜力双重特性的Li+宿主框架。已经开发出一系列具有优异电化学性能的插层型钛(Ti)基和铌(Nb)基材料来替代LTO。例如,具有Wadsley-Roth剪切结构的TiNb2O7可提供超过300 mAh g-1的高可逆容量,这大大超过了LTO。具有层状结构的T-Nb2O5(斜方晶系)具有更高的电导率(3.4 × 10 -6 S cm-1对比LTO 在300 K时的10 -8至 10 -13 S cm -1)和更高的理论容量(200 mAh g-1)。由于Li+在结晶剪切和类青铜结构中的快速扩散,铌钨氧化物 Nb16W5O55和Nb18W16O93可以实现前所未有的体积倍率容量。然而,随着Ti4+/Ti3+、Nb5+/Nb4+、Nb4+/Nb3+氧化还原对的变化,它们中的大多数表现出与LTO相似的高工作电位(>1.5 V)和W6+/W5+。如此高的电势会影响结合正极后的工作电压。通常,在不考虑非活性成分(如导电炭黑和粘合剂)、电解液、隔膜和电池外壳的质量的情况下,单体电池的能量密度可以计算如下:![]()
其中ΔV是全电池的工作电压;Vc和Va分别为正极和负极的工作电位;E是能量密度;Cc和Ca分别是正极和负极的比容量。Vc的增加可以降低ΔV的值,从而使能量密度呈指数下降,例如T -Nb2O5/LiNi0.8Co0.1Mn0.1O2全电池仅输出2.12 V的平均电压。与水系电池相比,如此低的工作电压使锂离子电池失去了优势。因此,寻找工作电位低于1 V的稳定主体框架对于负极的应用具有重要意义。大多数过渡金属氧化物和硫化物会在低电位范围(0 - 1 V vs. Li + /Li)发生剧烈的相变,体积膨胀很大。迄今为止,仅发现少数负极材料可在低电压范围内稳定储锂。图1首先总结了这些稳定的主体负极材料,平均电位在 1 V 左右或以下。在这些负极中,一些具有相对平坦的电压曲线(例如 LiEuTiO4、 Li1+xVO2),而另一些则显示倾斜的电压曲线(例如,Li0.5La0.5TiO3 , SrVO3)。每个负极的具体电压-容量图将在以下部分讨论。这些材料根据其元素组成通常可分为两类:钛 (Ti) 基材料和钒 (V) 基材料。当基于储锂机制时,这些负极可分为嵌入型和转换型。这里值得注意的是,本文讨论的转换型材料是指那些能够提供稳定的储锂性能且体积变化相对较小的材料,不像大多数转换型材料在嵌锂/脱嵌过程中体积变化很大。![]()
上海交通大学变革性分子前沿科学中心杨立教授和章正熙副研究员首先将这些刚性负极统一到低压材料的范围内。强调了图 2中这些低压稳定负极材料在时间轴上的突破和关键进展。由于这些负极的结构和性能各不相同,将分别讨论其结构特征、电化学性能和嵌锂机制,在此基础上总结改性方法。
![]()
【图2】稳定宿主框架作为低压负极的关键发现和进展。
该综述以题目为“Search for Stable Host Materials as Low-voltage Anodes for Lithium-ion Batteries: A Mini-review”的论文发表在能源领域国际顶级期刊《Energy Storage Materials》。![]()
1. 首先介绍了几种钛基和钒基化合物类型的稳定的负极材料,其平均工作电位在 1 V 左右或低于 1 V vs. Li+/ Li。通过结合各种表征技术,讨论了稳定储锂的机制和低工作电位的起源。总结了提高电化学性能的关键障碍和相应的方法。
1. 钛基材料
钛基材料,例如 Li4Ti5O12、TiO2和 TiNb2O7,由于其相对于Li+/Li高于 1 V 的高工作电势,已作为高安全性负极材料得到广泛研究。在这里,将重点关注工作电压低于 1 V 的不寻常的钛基材料。这些负极可分为三类:Li2TiSiO5及其衍生物、稀土钛酸盐和Li(V1-xTix)S2硫化物。将在以下部分讨论这三类材料的低电压特性、储锂机制和改性策略的原因。1.1 Li2TiSiO5及其衍生物
1.1.1 用于低压储锂的LTSO 的发现和机理
聚阴离子硅酸盐材料最初在正极领域引起了人们的关注。Li2MSiO4 (M = Fe, Co, Mn) 化合物。由于其优异的安全性、不含原材料和环境友好性。SiO4四面体稳定 Li2MSiO4骨架并诱导M3+/M2+的电位升高,这是LiFePO4中聚阴离子PO4的作用。作为聚阴离子硅酸盐的一员,Li2TiSiO5(LTSO)最初被Masquelier等人研究为正极材料。2002年,Li2TiSiO5的晶体结构由无限互连的共角SiO4四面体和TiO5方形金字塔组成,其中锂离子位于三维隧道的八面体位置,如图3a所示。从b轴看,TiSiO5 2-由垂直于 [001] 方向的锂离子层隔开。然而,LTSO在放电截止电压为1.0 V vs Li + /Li(图3b)下,每个结构式只能插入0.15个锂离子,对应的比容量仅为23 mAh g-1,这使得它很难用于实际应用。![]()
【图 3】(a) LTSO 沿 c 轴的晶体结构。(b) LTSO 与 Li+/Li的电位-组成曲线。 (c) LTSO 在 0 V 截止电位下前 2 个循环的电压-容量曲线。(d) 0.5 A g-1下的长循环性能和LTSO 的倍率性能。(e) LTSO 电极在不同电荷状态下的非原位 XRD,每个 XRD 曲线由 Log(强度)与2θ图显示,放电产物Li4SiO4和TiO分别由蓝色圆圈和橙色三角形标记。(f) LTSO 的反向感应效应与锂化过程中TiO5方形金字塔的配位变化。
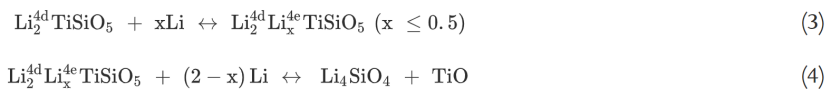
直到2017年才报道了LTSO作为负极的研究。夏永姚课题组首先报道了LTSO作为锂离子电池的低压负极材料。当放电至 0 V 时,LTSO 可以在0.02 A g-1的电流密度下提供 308 mA hg -1的高比容量,如图3c所示。LTSO 的放电-充电曲线显示,明显的电压平台在 0.28 V 左右,明显低于 LTO。此外,具有不规则形状和亚微米尺寸的碳包覆 LTSO 颗粒表现出优异的循环稳定性,在 1000 次循环后几乎没有发生容量衰减,并且在 1 A g-1的电流密度下容量保持率约为 70% (图3d)。为了阐明 LTSO 的机理,进行了原位同步辐射X 射线衍射 (XRD) 和非原位XRD(图3e )。当从 3 V 放电到 0.28 V 时,相应的 XRD变化很小,表明固溶过程具有轻微的结构变化。当进一步从 0.28 放电到 0.1 V 时,对应于 TiO 和 Li4SiO4的新峰的出现和消失表明发生了转化转变。因此,他们提出了固溶过程与伴随双电子(T4+/Ti2+)转移的转化反应相结合的机理。锂化/脱锂过程可描述如下:![]()
针对 PO4 3+提高LiFePO4中Fe3+/Fe2+氧化还原电位的诱导效应,他们认为LTSO骨架中与TiO5方锥相邻的SiO4四面体起到反向诱导作用,这降低Ti4+/Ti3+在电化学过程中的氧化还原电位。这种反向诱导效应可能与Ti从四棱锥TiO5配位到锂嵌入时扭曲的八面体配位有关(图3f),因此导致 LTSO 的低工作电压。由于以下优点,LTSO 开始受到持续关注: (1) LTSO 具有高比容量 (308 mA hg-1),大大超过LTO;(2)LTSO的主要工作电位范围在石墨和Li4Ti5O12之间,可以在防止锂枝晶的同时避免输出电压的过大损失;(3)虽然嵌锂过程中发生转化反应,但LTSO的循环稳定性优于大多数转化型负极材料;(4) Si、Ti等组成元素成本低廉,便于大批量生产。基于以上优势,LTSO有望成为下一代负极材料的候选者。然而,TiO 和 Li4SiO4 之间的这种双电子转换在锂化/脱锂过程中不可避免地引起相分离和晶粒畸变,并伴随着不稳定的SEI形成,导致在长循环过程中缓慢变化但仍然致命的颗粒破裂和粉碎。此外,LTSO 还存在固有的低电子电导率,相变会阻塞离子传输通道,导致倍率性能不佳。
1.1.2 性能改进策略
到目前为止,已经应用了几种改性策略来进一步改善 LTSO 的电化学性能。第一个是 LTSO 与碳材料的复合材料。该策略已被证明是增强电子电导率和限制转换材料体积膨胀的有效策略。例如,通过溶胶-凝胶法轻松合成了 LTSO 和膨胀石墨 (EG) 的纳米复合负极。所制备的 LTSO-EG 负极的倍率性能得到极大改善,在 4 A g-1的高电流密度下仍保持 60% 的容量。郑等提出了一种由石墨化碳纳米管(CNT)和无定形碳组成的双改性碳策略,以形成 3D 碳网络,以便更充分地封装 LTSO。因此,C@LTSO@CNT 负极在超过 10 C (3.15 A g-1 ) 时表现出超过 125 mAh g-1的优异高倍率性能和 1500 次循环无任何衰减的持久循环性能。在与 LiFePO 4 (LFP)配对后,全电池显示出超过 3 V 的输出电压和在7.5 C 165.8 mAh g-1和在 10 C113.0 mAh g-1的高倍率容量,分别展示了卓越的功率性能。为了降低合成成本,Tao及其同事采用一锅法,以沥青为碳源,合成了软碳结合的 LTSO 复合材料负极在 3.2 A g -1时表现出 127 mAh g -1的可逆容量,在 0.5 A g-1时1500次循环后保持 273 mAh g -1。然而,这些具有高碳纳米复合材料含量的负极通过传统的浆料涂覆方法会在电极内部产生丰富的微孔,显著降低电极的振实密度并降低体积能量密度。因此,Hersam 等提出了一种致密的石墨烯功能化 LTSO (G-LTSO) 电极,通过热解乙基纤维素来压实电极。电极压实密度达到超常的80%,超过了大多数报道的负极材料(例如,Nb16W5O55、Nb2O5/G、T-Nb2O5、LTO/C 和石墨)。当致密的电极密度与Li2TiSiO5的低电压特性相结合时,与其他嵌入型负极材料相比,G-LTSO 在扩展的电流密度范围内表现出极高的体积能量密度。形貌调控是调节离子扩散路径、增加电解液渗透、缓冲LTSO负极体积膨胀的另一种有效方式。对于Li2O-TiO2-SiO2三相体系,由于LTSO的成相温度高(>800℃),传统的水热反应很难直接合成特定的形貌。相反,最近出现的方法包括静电纺丝、化学气相沉积 (CVD)和原子层沉积(ALD)用于控制形态。刘等通过静电纺丝法合成氮掺杂碳封装的 LTSO (LTSO-NDC) 纳米纤维。Hu通过结合静电纺丝和 ALD 方法获得了涂有原位生长的 Li-Ti-O 层的 LTSO 纤维。然而,上述这些方法合成过程复杂,难以实现LTSO的量产。为此,Yu 等通过简便的熔盐策略开发了具有 (001) 平面优先曝光的结晶LTSO。获得的 LTSO 薄片随后通过水热反应和煅烧工艺进行处理,以原位形成“相框”,如TiO2纳米晶体和碳涂层。引入TiO2纳米晶可以加速Li+扩散,抑制体积膨胀。具有某些晶面暴露的TiO2改性LTSO在500 mA g-1下提供196 mAh g-1的容量在 500 次循环后具有 99.4% 的容量保持率。应用非原位 TEM 和相应的 SAED直接观察 LTSO 在各种放电/充电状态下的微观结构演变。除了在锂化/脱锂过程中表面 TiO2向LiTiO2的可逆相变外,LTSO 晶格没有表现出明显的变形或转变,证明了双层涂层 LTSO 负极的高稳定性。1.1.3 LTSO 衍生物
Li2TiGeO5作为LTSO的另一种衍生负极材料,具有 0.5 V vs. Li/Li+的工作电位。Li2TiGeO5具有与LTSO相似的结构,由角连接的TiO5四角锥体和位于夹层的GeO4四面体和锂离子组成。碳包覆的 Li2TiGeO5具有1021 mAh g-1的高初始放电容量,初始充电容量保持为691 mAh g-1,具有 68% 的低初始 CE。高初始放电容量可归因于转化反应和随后的锂-锗合金化过程。与其他转化负极一样,结构转变产生的部分Li2O在充电过程中不能参与脱合金过程,导致初始CE较低。然而,与大多数容量快速衰减的转化或合金负极不同,具有不规则亚微米尺寸的碳包覆Li2TiGeO5显示出稳定的循环性能,在1 A g-1下循环 600 次后实现406 mAh g-1的放电容量,对应于91% 的容量保持率。分解产物包括无定形TiO和Li2O 可能充当缓冲层以释放循环期间Li-Ge 合金化/脱合金的体积变化。综上所述,Li2TiSiO5及其衍生物包括Na2TiSiO5、Li2TiGeO5、Na2TiGeO5和LiNbGeO5表现出低于1 V的工作电压,并在锂化/脱锂过程中发生转化反应。这些负极在没有精致的纳米结构或高含量碳添加剂的情况下实现了出色的循环稳定性,表明这种转化过程不会像其他过渡金属氧化物(例如Fe3O4、 MoO3,氧化钴,氧化镍)那样经历剧烈的体积变化。此外,转化反应过程中原位形成的无定形产物均匀分散在活性晶粒周围,进一步缓冲了体积变化。对于原始的Li2TiSiO5负极,主要工作电压范围在 0.2 和 1 V 之间以及 TiO 和 Li4SiO4之间的双电子(T4+/Ti2+氧化还原对)转换过程。在 0.02 A g-1的电流密度下,放电电压平台位于 0.28 V,充电电压平台位于 0.7 V。即使在小电流密度下,0.02 A g-1下超过 0.4 V 的电压差也显示出严重的电压极化,表明 Li+扩散动力学,包括形貌调整、涂层和离子掺杂在内的几种改性策略被应用于增强电化学性能并取得了一些进展,例如,石墨烯功能化的Li2TiSiO5电极具有高堆积密度(2.122 g cm-3)显示出优异的体积能量密度在10 1和10 4 mA g-1之间的宽比电流范围内; TiO2包覆的Li2TiSiO5具有 (001) 平面暴露,在 10000 次循环后表现出 66% 容量保持率的超长循环性能。作为最近兴起的新型负极,LTSO及其衍生物具有成为下一代负极的潜力。为此,需要解决几个问题:(1)首次锂化过程中低电压范围内相变和SEI形成引起的低初始库仑效率(<75%);(2)高倍率下致密电极严重极化;(3)厚电极的电化学性能较差。需要应用更先进的技术和策略来挖掘 LTSO 和 NTSO 作为低压负极的潜力。1.2 稀土钛酸盐
稀土 (RE) 元素被指定为从镧到镥的一组VI元素,通常钇和钪也被视为稀土元素,因为它们通常与稀土一起存在于矿物中。在锂离子电池领域,稀土通常作为微量元素掺杂到活性材料或表面涂层中,以改善负极的电化学性能。例如,Dy3+掺杂的Li4Ti5O12在100 C的电流密度下表现出165 mAh g-1的比容量。关于以稀土为主要组成元素的化合物用于负极材料的报道很少,其中两个系列的钛基钙钛矿氧化物显示出低电压特性。1.2.1 钛酸镧锂
钙钛矿型钛酸镧锂3x La (2/3)-x TiO3 (0 < x < 0.16) 在室温和广泛的电化学稳定性窗口(8 V vs. Li/Li +)具有高体积电导率 (10-3 S cm -1)。它们源自钙钛矿型 ATiO3结构,其中阳离子 A 部分被 Li 和 La 原子取代,因此为 Li +传输提供大量空位。1.2.2 ALnTiO4(A = Na 或 Li,Ln = 稀土)
除了钛酸锂镧,Goodenough等报道了另一种钙钛矿型层状氧化物ALnTiO4(A = Na 或 Li,Ln = 稀土)用于可逆的锂插入/脱出。NaLnTiO4的结构来源于正交晶系La2CuO4的结构,由碱金属离子取代Ln3+和Ti4+取代Cu2+位点,含有NaO和LnO交替的两层岩盐层具有共角TiO6八面体层。LiLnTiO4具有与NaLnTiO4相似的斜方晶系结构,除了较小的锂离子形成反萤石层。由正(LnO)2 2+层和负(NaO)2 2-或(Li2O2) 2-层产生的内部电场垂直于双层并导致TiO6八面体从中心位置位移。1.3 Li(V1-xTix)S2硫化物
二元过渡金属硫化物MS(M=Ti、V、Cr、Fe和Co)在低电位下发生转化反应,生成M和Li2S作为Li+插入。Goodenough等研究了Li+到锂过渡金属硫化物LiMS2(M = Ti、V 和 Cr)中的电化学插入。他们证实,对应于LiTiS2中的Ti3+/Ti2+氧化还原对的电压平台为0.5 V vs. Li+/Li,而LiVS2中的V3+/V2+在1.0 V vs. Li+/Li。LiTiS2和LiVS2中Ti3+/Ti2+和V3+/V2+氧化还原对的低电压特性很有吸引力。然而,对于LiVS2,虽然放电电压平台为1.0 V,但即使在20 mA g-1的低电流密度下,随后的Li+脱出充电过程也会在1.4 V发生,导致严重的极化。对于LiTiS2,它在初始循环时遇到大量不可逆容量损失(180 mAh g-1),在循环过程中容量快速衰减,其中仅经过五个周期容量降至120 mAh g-1。为了提高循环稳定性并减少极化,Bruce等提出调整Ti/V的固溶比以优化Li(V1-xTix)S2的电化学性能。与 LiV0.6Ti0.4S2相比, LiV0.5Ti0.5S2在第一个循环时显示出更高的可逆容量,在 100 个循环后显示出更好的循环性能。LiV0.5Ti0.5S2和LiVS2之间的充放电曲线比较表明LiV0.5T0.5S2的电压平台明显降低,电压极化更小。此外,LiV0.5T0.5S2的循环性能明显优于LiTiS2。这种双重优点使LiV0.5T0.5S2作为低压负极的有前途的候选者。然而,普通电解质(碳酸亚乙酯-碳酸二甲酯 1:1 中的 1 M LiPF6)仍然存在 11% 的首次容量损失和连续容量衰减,这意味着在循环过程中会发生不间断的界面反应。需要做进一步的工作来形成强大的 SEI 并减少副反应。但目前还没有相关研究报道。2. 钒基材料
多年来,钒基化合物在储能领域得到了深入研究。钒作为VB族的过渡金属元素,具有从+2到+5的多个价态,这意味着在离子插入/脱出过程中可以发生多次电子转移过程,可以获得高比容量。此外,由于钒的价态变化灵活,钒基族由大量具有不同组成、晶体结构和电化学性质的化合物组成。基于钒的多种价态和多样的晶体结构,近年来对锂以外金属离子电池的钒基材料进行了持续和大量的研究。在锂离子电池负极材料领域,已经开发了多种钒基材料,但其中包括MxVyOz (M = Co, Cu, Mn, Fe, Zn, Ni)在内的大部分属于对于具有剧烈体积变化和相变的转换型材料不在本综述范围内。在这篇综述中,回顾了几种稳定的钒基框架的重要进展,重点是低压性能。2.1 Li3VO4
2.1.1 对 LVO 作为低压嵌入负极的基本理解
Li3VO4 (LVO)自2013年由周豪慎课题组首次提出作为嵌入式负极以来,受到了极大的关注,先后发表了数十篇论文,报道了其在储锂性能方面的进展。它之所以受到青睐是因为:(1)嵌入/脱嵌机制,与其他合金化或转化型材料相比,在经历长期锂离子嵌入和脱嵌时体积变化小,结构稳定性高; (2) 主要工作电压介于 0.5 和 1 V 之间(图 9a) 、与石墨相比有效避免锂枝晶倾向,与LTO相比输出电压减半;(3)比LTO相对更高的比容量(394 mAh g-1 vs. 175 mAh g-1 );(4) V资源丰富,合成方法简便,成本低。这些优点可能归因于 LVO 的独特结构和储锂机制。![]()
【图9】(a) LVO 与 LTO 和石墨在工作电压、比容量和能量密度方面的比较。(b) 固态反应制备的LVO的XRD图;插图显示了β型LVO的晶体结构,其中氧原子用蓝色球标记,LiO4 和VO4 四面体分别用绿色和红色表示。(c) LVO在20 mA g-1的电流密度下在0.2-3 V 与 Li+/Li 之间的前三个恒电流放电-充电曲线。(d) LVO在20 mA g-1的电流密度下在0.2-3 V之间的循环性能。(e) 在第一次放电/充电过程中,LVO 电极在不同充电状态下的非原位XRD。
用于储锂的LVO属于β-Li3VO4,它在较低温度(<700°C)下稳定,而另一种多晶型γ-Li3VO4可以在温度降低时转移到β-Li3VO4。如无特殊说明,以下LVO均指β- Li3VO4。作为 Li3PO4的同构氧化物,LVO具有正交结构,XRD可以用标准PDF卡(JCPDS No.38-1247)索引,如图9b所示。LVO 由角连接的 LiO4和 VO4四面体组成,形成空心灯笼状 3D 框架(图9b 插图)。中空的3D结构可以提供许多空位点和锂迁移通道。Zhou及其同事首先发现 LVO 可以在第一个循环中提供 302 mAh g -1 的充电容量,平均放电电压低于 1 V(图9c)。此外,当在 0.2-3 V 之间以20 mA g-1循环时,25 个循环后可实现 87% 的容量保持率(图 9 d)。初步的电化学测试表明,Li3VO4作为低压正极材料具有巨大的潜力。为了弄清楚这一机制,他们进一步使用 ex XRD 来确定充电/放电过程中的结构演变。如图 9e 所示,在 17.5°、33.5° 和 49° 附近出现三个新峰并增强,直到放电至 0.2 V,表明产生了第二相。充电时,出现的新峰减弱并最终在充电回 3V 时消失,只留下 LVO 的原始 XRD,证明了可逆的插入机制。然而,这些峰属于哪个阶段需要进一步研究。此外,深度放电(< 0.2 V)下的结构变化需要澄清。郑等通过ex XPS分析发现,当放电至 0.1 V 时,锂化 LVO 中存在V2+,表明从 V5+到V2+的可能变化。通过结合第一性原理计算和原位XRD,计算出两个可能的 Li 插入位点(2a 和 4b 位点),以在每单位 LVO 中稳定容纳三个锂离子。插入三个锂离子意味着当放电至 0.1 V 时可以获得更高的可逆比容量。进一步的原位 XRD 结果揭示整个嵌锂过程可分为三个阶段。第一阶段属于固溶过程,直至放电至0.8 V,此时LVO的所有典型峰都略微向低角场移动,没有新的峰出现,表明晶面间距增加,原始结构完整。第二阶段是双相变过程,对应几个新峰的出现。当深度放电至 0.1 V 时,所有形成的峰都减弱,除了两个峰出现在 17.4° 和 37.5°,表明另一个新相形成(第三阶段)。然而,峰的强度相对较弱,粗糙的背景掩盖了充电/放电过程中一些重要的 XRD 信息。此外,需要弄清楚新形成的典型峰属于哪些阶段。因此,孙等再次进行原位 XRD 研究相变,并揭示了一些新见解。在初始循环结束时出现两个新相并且其中一个不消失的事实证明在放电结束时存在不可逆的相变。此外,原位EIS也验证了第一个循环期间SEI的形成。SEI 和不可逆相变会导致容量损失 (30%),从而降低 ICE。通过密度泛函理论研究了嵌锂机制和各种Li3+xVO4构型。基于优化结构,原始 LVO 具有六边形封装结构,记为H1结构。嵌锂后,稳定的中间相H2-Li5VO4在0.7 V 下形成。模拟的XRD与实验结果一致。H1和H2之间的紧密结构关系呈现适度的结构转变,具有4%的低体积膨胀。然而,随着第三次锂插入,H2结构将重构为Li6VO4的反萤石型C结构,体积膨胀 20%。在低预测电压范围(0.14 V vs. Li+/Li)中发生的H 到 C 的转变使得第三个锂离子的可逆插入不太可能。结果部分解释了初始容量损失。然而,三个锂离子是否插入到 Li3VO4仍然存在争议,因为大多数报告的容量值在每单位 LVO 1.5-2.5个Li 之间。尽管从一些基于溶液的方法获得的 LVO@C或纳米级 LVO可提供超过 500 mAh g-1的容量,但高容量可能并非全部来自V5+/V2+氧化还原但由于碳的存在和纳米结构的大比表面积可能会通过表面或赝电容锂存储引起巨大的容量贡献。此外,Yu 等进一步计算了两个Li +插入位点(2a和4b)的能垒。计算结果显示,原始 LVO 中 2a 位点和 4b 位点的能垒分别为 0.49 eV 和 0.66 eV,与高倍率插层型负极材料相当,表明锂的快速扩散动力学。孙等使用原位同步辐射X射线衍射 (SR-XRD) 来识别LVO在充电/放电过程中的实时结构变化。对应于Li3+xVO4和Li3+yVO4 XRD谱的新峰在放电期间连续出现并在充电期间消失,证明了 LVO 的可逆插入/脱出机制。![]()
【图 11】(a)原始-LVO/MWCNT (60/40) 复合半电池在 0.25 C (1 C = 394 mAh g-1 ) 下的充放电曲线(从第 1次循环到第 20次循环)。插图:过电位(ΔV) 与循环次数的关系。(b) 锂扩散系数图和相应的恒电流间歇滴定技术 (GITT) 锂化曲线,用于活化和未活化的原始LVO/MWCNT。(c) 没有(左)和有(右)激活过程的LVO的整体氧化还原机制。在没有激活的情况下,通过移出 Td 环境的中心来确保可逆 5+/4+ 钒价态调节。随着激活减少到 V3+诱导V向Oh位点的不可逆迁移,并主要通过局部变形进一步进行脱锂/锂化。
上述机理研究主要集中在前两次充放电过程中LVO的结构变化。Naoi 及其同事通过结合原位/原位 X 射线衍射和 X 射线吸收精细结构 (XAFNS) 分析进一步阐明了循环过程中的结构和电化学特征变化。LVO的前 20 个循环图中观察到极化 (ΔV) 的明显减少,伴随着从第一个到第十个循环的恒电流曲线的连续变化。电化学特征表明 LVO 在重复的锂插入和脱出过程中经历了一个激活过程,这也通过锂扩散系数在原始 LVO 和激活后的 LVO 之间增加了 2 个数量级来证明(图11b)。通过原位 X 射线和 XAFNS比较原始β -LVO 和 20 个循环后的结构演变,提出了阳离子紊乱机制(图 11 c)。随着两个 Li 的重复插入和脱出,Li 和 V 离子从四面体位置逐渐且不可逆地迁移到八面体位置,导致在循环过程中形成阳离子无序 LVO。因此,与原始 LVO 负极相比,在循环过程中形成的阳离子无序 LVO 负极可以更平滑、可逆地容纳两个 Li +并减少极化,并提高 Li+传输能力。新的见解为 LVO 提供了更多用于高倍率储能的机会。2.3 无序岩盐Li3+xV2O5
![]()
【图 15】(a) 石墨、Li4Ti5O12和无序岩盐 Li3+xV2O5在0.1 A g-1电流密度下的电压曲线。(b) 无序岩盐Li3V2O5的晶体结构。红色球代表O,蓝色四面体代表四面体位点中的Li,绿色八面体代表Li/V共享八面体位点。(c) 无序岩盐Li3V2O5和锂化无序岩盐Li3+xV2O5的中子衍射花样。(d) 锂在岩盐Li3+ xV2O5中快速扩散的0-TM和1-TM 机制。(e) 无序岩盐 Li3V2O5的电化学性能。
富锂无序岩盐 (DRS) 氧化物是有前途的正极材料,因为与层状对应物相比,它具有更高的结构稳定性和更快的 Li 通过渗滤网络的扩散。然而,在正极领域对DRS氧化物嵌锂的研究很少。德尔马斯等发现当插入到三个锂中时层状V2O5将不可逆地转化为岩盐Li3V2O5。最近,刘和同事应用这种无序岩盐Li3+xV2O5作为锂离子电池的快充负极。岩盐 Li3+xV2O5从层状V2O5的电化学锂化中获得。如图15a所示,Li3+xV2O5可以在 0.01 V 和 2 V 之间的电压范围内以 0.6 V 的平均放电电压进行可逆循环,并在以下条件下提供266 mAh g-1的比容量。中子衍射和 X 射线衍射的 Rietveld 精修证实了Li3+xV2O5具有无序的岩盐结构,八面体4b位被Li和V离子无序占据,其他少量Li离子(4%)填充到由O离子组成的立方晶格中的四面体位点(图15b)。不同荷电状态下的原位 XRD 和中子衍射证明了Li3+xV2O5用于锂存储的嵌入型机制(图15c)。DFT 计算表明,Li 离子首先倾向于插入被 LiO 6八面体包围的空四面体位置,没有相邻的 VO 6八面体,如图15d所示。与1-TM(一种过渡金属环绕)结构相比,这种 0-过渡金属 (0-TM) 环绕结构在能量上有利于锂嵌入。该结果与之前对无序岩盐正极的研究一致,后者由于 0-TM 构型而提供快速锂扩散通道。因此,无序岩盐Li3+xV2O5不仅在1000次循环后表现出容量衰减可忽略不计的长稳定性,而且还表现出非凡的倍率性能(图15e),例如,在20 A g-1极高的电流密度下实现了0.1 A g-1容量的41 %为(109 mAh g-1)。与LiNi0.8Mn0.1Co0.1O2正极配对后,全电池在0.5 A g-1时仍可释放153 mAh g-1的比容量,平均电压为3.15 V,1000圈后仍保持86.9%的容量。
这些用于低压负极的新型稳定材料完全是通过反复试验发现的,这通常依赖于研究人员的经验和直觉。这种实验方法耗时、通量低且不确定性高。近年来,随着计算材料科学的快速发展,理论计算可以用来解释结构-性能机理,指导实验设计,设计合成路线,甚至预测有前景的候选材料。例如,通过第一性原理计算 (DFT)或分子动力学 (MD)获得的具有少量物理参数的原子模型可用作高通量筛选 (HT)的输入数据或机器学习(ML)过滤掉材料项目数据库中即将出现的电极材料,之后可以通过反馈循环中的验证实验进行选定的候选材料。稳定低压负极的筛选是一个受多个物理参数约束的复杂过程。约束因素不仅包括电池电位区间(例如,0.25 V vs. Li+/Li <电池电位 < 1 V vs. Li+/Li)和最大体积膨胀(例如,20%),还涉及晶体稳定性、安全性、毒性、质量和体积容量、放电和充电倍率以及成本。虽然目前还没有专门针对稳定低压正极材料筛选的相关研究,但搜索过程可以分为三个步骤。首先,它从建立化学成分开始,包括活性金属氧化还原、非活性阳离子成分和配位阴离子(氧化物、硫化物、磷化物、氮化物、碳化物)。对于插层型负极,晶体结构对电化学性能具有至关重要的影响。然后进行 DFT 计算以确定每个候选物的晶体结构稳定性。通过 DFT 计算的热力学稳定性的结构信息和参数化由一个数据集组成,该数据集包含化学式、空间群、空位、形成能、能量、晶胞体积、密度和带隙。其次,为了兼顾能量密度和安全性,低压负极的平均电位可以规定在 0.25-1 V vs. Li+/Li 的范围内,以进一步筛选候选者。负极和锂金属之间的平衡电池电压与不同充电状态下锂化产物之间吉布斯自由能的差异有关。在不考虑熵贡献的情况下,反应自由能可以近似等于内能。然而,基于局部密度近似 (LDA)或广义梯度近似 (GGA)的标准 DFT 泛函由于忽略了金属中心周围的强相关电子,可能会产生很大的系统误差来预测电池电势。一些成本较低的方法,包括 DFT+U 校正和混合泛函,可用于电压预测中低压负极材料的广泛筛选,已被证明可有效降低LDA的自交互误差/GGA用于正极材料的电压预测。此外,为了实现稳定和可逆的锂嵌入/脱嵌,具有用于Li+的层或隧道的主体结构迁移可以是优选的,其中锂插入期间晶格畸变尽可能小。第三,在对电极电位和循环稳定性进行筛选后,剩下的候选者可以通过决定电极材料充放电倍率的离子电导率进一步筛选。然而,无论是从头计算还是微动弹性带 (NEB) 方法来评估 Li+扩散的能垒都非常复杂且昂贵,并且难以进行高通量筛选。为了降低计算难度并确保预测准确性,应将基于高通量和机器学习的新理论模拟与实验观察相结合,提出合理的模型和特征描述符来评估低电压候选离子迁移率。(1)半电池中这些负极材料的电化学评估有时会产生误导。半电池是指在标准的双电极电池中,正极材料被视为正极,而金属锂被用作对电极。正极材料的放电/充电过程与全电池相反。当使用全电池时,放电容量取决于负极的脱锂和正极的锂化,这意味着负极的脱锂对于实际应用至关重要。脱锂对应于半电池中负极的充电过程。因此,半电池中负极的充电电位应受到更多关注。对于低电压候选材料,本征电子导电性差,Li+反应迟缓扩散动力学可能会引起严重的极化和过电压,从而导致放电和充电曲线之间的分离。应采用离子掺杂、粒径控制、碳复合以及表面和界面工程等多种改性策略来增强电子和离子电导率,以降低过电压。(2)应仔细考虑电压窗口对记录负极比容量的影响。负极的主流研究将电压窗口设置为 0-3 V vs. Li+/Li以确定容量。与主要在具有平坦电压平台的窄电压范围内提供容量的正极不同,大量负极通常表现出倾斜的容量-电压曲线和赝电容行为,导致容量与电位窗口的范围成正比。较高电压范围内的容量(2-3 V vs. Li+/Li)可能占总容量的很大一部分。然而,在实际的锂离子电池中,负极很难达到 2 V vs. Li+/Li。此外,截止电压也是影响负极性能的关键。某些负极在极低电压范围内可能产生不可逆相变。例如,根据理论计算,单位Li3VO4可以容纳2个锂离子,在0.2 V以上与Li+/Li相比体积膨胀4%,而进一步锂化到0 V与Li+/Li相比会诱导第三次Li插入,发生相变,体积膨胀20%。因此,在测试低压负极时,电压窗口的选择应更加谨慎。(3)在判断应用前景时,应更加重视初始CE。这些新兴的低压负极通常在没有针对性优化的情况下表现出较差的初始CE。在使用碳酸盐电解质后,不可避免的副反应会在低工作电位下在电极表面形成SEI膜,从而降低负极的初始CE。此外,对于转换型负极,相变本身会在第一次锂化过程中消耗部分锂。由此产生的不稳定界面会进一步加剧副反应,导致初始CE较差。一些改性策略(例如纳米化)可能会导致更多的暴露表面形成更多的 SEI 膜,从而进一步降低初始 CE。预锂化已被广泛研究以补偿不可逆的锂损失并改善初始 CE。直接添加超活性锂,如稳定锂金属粉或与锂箔的机械混合可以改善这些低压负极的初始CE。此外,一些基于溶液工艺的化学或电化学预锂化可用于实现更均匀的预锂化。预锂化处理可以帮助低压负极具有更高的可逆充电容量,从而提高初始CE。(4)对于低压负极,虽然大多数文献仅从可逆容量的角度报道电化学性能,但能量密度是实际应用中比可逆容量更重要的参数,它是容量和电压的乘积。然而,半电池中低压负极的能量密度估计很困难,因为负极的平均电势与能量密度成反比。设置通用正极参考电位以预测半电池装置中这些负极的能量密度,或直接与主流正极配对以计算能量密度可能是可行的。(5)这些负极材料的成本在推动规模化生产时需要慎重考虑。上述低压负极均为稀土类化合物或含有稀有元素,如LiEuTiO4、SrVO3等,推广前需审视其成本。另一个考虑因素是合成成本。例如,Li1+xVO2必须在还原气氛(H2/Ar)下合成,大大提高了制造成本。一般来说,要对这些稳定的主体低压负极进行统一识别是相当困难的,因为每种类型都具有其独特的锂存储特性。对于每一个有希望的候选者,都需要多层次和跨学科的表征与理论计算相结合,以阐明结构演变、嵌锂机制和潜在高电压的起源。在此基础上,有望提出一些有针对性的改性策略来提升性能。
Yun Zhang, Jun Huang, Nagahiro Saito, Zhengxi Zhang*, Li Yang*, Shin-ichi Hirano, Search for Stable Host Materials as Low-voltage Anodes for Lithium-ion Batteries: A Mini-review, Energy Storage Materials, DOI: 10.1016/j.ensm.2022.11.030
https://doi.org/10.1016/j.ensm.2022.11.030