The following article is from 能源学人 Author Energist
能源学人,打造最具影响力的能源科技服务平台!
【研究背景】
锂金属电极具有较高的能量密度,作为下一代负极活性材料受到越来越多的关注。然而,锂枝晶的形成是阻碍其应用的主要挑战。基于此,韩国科学技术院Sanha Kim和韩国机械材料研究院Jae Young Seok等人提出了一种增强锂金属负极结构尺寸和分层特性的设计策略,以稳定枝晶的形成,从而延长其循环寿命和提高可逆性。通过控制结构的不同尺度来设计制造不同的结构集流体(CC),并将其作为为锂金属电池负极。分层(即微腔内的纳米结构)不仅可以降低整个负极表面的电流密度,还可以将局部电场集中到微结构的内表面,优先诱导微腔内的Li成核并促进Li的限定生长。结果表明,引入结构分层特性可以使循环寿命提高364%,维持库仑效率(CE)>90%的循环圈数提高了266%。
图1. 该工作中Cu CC的示意图。
【内容详情】
1、微结构铜集流体上的锂聚集
为了研究2.5D微结构Cu CCs(2.5DM Cu CCs),作者通过光刻,硅的各向异性刻蚀和电铸的连续过程制备了具有微腔阵列的Cu薄膜。倒锥体型空腔具有相同的深度(20 μm),但宽度不同,分别为30、40、50、80和200 μm,分别简称为M30,M40,M50,M80和M200。通过改变阵列之间的间距以获得相同的间距与宽度之比。
作者使用0.5 mA cm−2和1 mA h cm−2下的恒电流充放电(GCD)方法对2.5DM Cu CCs进行了电化学表征并比较了反复循环过程中的Li沉积行为。图2显示了有和无微结构阵列的Cu CC上的Li沉积行为的差异。2D Cu CCs在沉积过程中,每个表面上都会形成苔藓/多孔Li沉积物和SEI层(图2a)。在剥离过程中,SEI层阻碍锂金属和电解质之间的反应,导致沉积锂的不均匀和不完全剥离。然而,2.5DMCu CC在微观尺度上引入额外的结构尺寸会导致Li晶粒在沉积过程发生中聚集(图2b)。封闭形式的微腔迫使Li晶粒在预定空间内融合。这种受限制的锂沉积可以最大限度地减少剥离/电镀周期中表面积的变化,因而形成较少的SEI。
图2. 2.5D微结构Cu CC内的锂聚集抑制枝晶的形成。
SEM证实了2D Cu CCs上树枝状和苔藓状锂在相对较短的周期内快速形成(图3a)。相比之下,2.5DM Cu CCs的SEM图显示了Li的向内生长和聚集,即使在长循环后也会发生致密的Li沉积(图3b)。这支持了微尺度表面结构的引入抑制了锂枝晶形成的观点。此外,SEM表征过程中的电荷效应越小,表明死Li的量越小。经过几个循环后,2.5DM Cu的SEI形成量相对小于2D Cu。由此证实,通过在CC中引入微腔来抑制枝晶的形成和电解质的消耗,并提高电极的可逆性。
图3. 有和无微表面结构的Cu CCs的Li沉积/剥离行为比较。
根据结构尺寸不同,初始Li沉积的差异强烈影响循环后的锂枝晶形成。M50为诱导锂聚集提供了最有效的空腔。此外,在高纵横比和低纵横比结构的情况下,Li的向内沉积较少。因此,在M30和M200中枝状Li生长占主导,而M50保留了直径较厚的苔藓状Li生长。由于Li+的浓度是锂生长从苔藓状到枝状转变的关键因素之一,故M50 Cu CC延迟了锂离子的耗尽,进而抑制了Li枝晶的产生(图4)。
图4. 不同尺寸微结构Cu CCs的锂沉积行为。
GCD测试结果证明了使用2.5DM Cu CCs可以抑制锂枝晶的形成,进而提高循环寿命和CE(图5)。循环寿命和CE都随着Cu CC的微观结构引入而增加;当纵横比最佳时,增强效果最大(如在M50结构中)(图5c,d)。虽然M30在微观结构中具有最大的表面积,但M50结构显示出最长的寿命,因为该结构可以有效地诱导Li颗粒的聚集。
图5. 2D Cu CC和微结构Cu CC的循环寿命和CE。
2、微/纳米结构Cu集流体的均匀向内生长
2.5DM Cu在较强结构稳定性的基础上,通过聚集Li的方式表现出抑制死Li生成和Li耗尽的效果。然而,引入具有高比表面积的纳米结构可以通过促进Li的成核和生长来进一步提高结构化CCs的性能。纳米结构的引入可以进一步提高微腔内Li聚集的有效性。尽管具有平衡纵横比的M50结构使腔内的Li均匀生长,但电解质离子和电极电流密度的变化仍然存在。
本文制备了纳米棒仅位于微腔内的2.5D分层CCs,以验证增强向内生长(图6a)。图6b显示了微腔内电沉积纳米棒的结构分层特征。与2.5DM Cu CCs(图3b)相比,在初始循环期间,Li在2.5DMN Cu CC空腔中的向内电沉积非常突出。结果表明,在2.5DMN Cu CC中,Li聚集效应有利于保持更长的循环。这种聚集能有效抑制锂生长过程中死Li的产生,进而显著提高电化学可逆性和延缓Li表面因SEI形成导致的锂离子消耗,最终抑制Li生长从苔藓到树枝状转变。因此,2.5DMN Cu CCs的循环寿命和CE显著增加(图6d,e)。
图6. 2.5DMN Cu CC的制造和电化学表征。
3、结构分层Cu集流体的简单制备
尽管电沉积在纳米尺度铜结构化中具有许多优点,但以前的制造工艺对于实现结构分层的Cu CC效率低下。本文使用商业Cu网(3DM Cu)作为基础微观结构,然后,在Cu上使用一步电沉积制造了一个3D Cu片,在基础结构(3DMN Cu)的长度尺度上具有分层结构特性(图7a,b)。3DM Cu由直径为30 μm,间距为50 μm的Cu微丝组成(图8c)。单步电沉积后,Cu纳米棒覆盖了3DM Cu的所有前表面。然后,3DM Cu的底表面表现出结构分层的Cu表面,微腔内有纳米棒。在图8d中,3DMN Cu顶部暴露的Cu线(黄色虚线)表明纳米棒很好地嵌入到3DM Cu的微腔内。
图7. a)铜枝晶在微网格上的电沉积程序和b)3DMN Cu CC制造中的不对称电沉积特性的示意图。
图8. 3DM Cu和3DMN Cu的Li沉积行为。
根据测量数据得出3DMN Cu孔隙中的最大可接受锂容量高达7.87 mA h cm−2,表明3DMN Cu可用作具有≈4 mA h cm-2高容量正极的全电池的负极CC。3DM Cu微尺度腔空间内的电沉积Cu纳米棒可以通过增加表面积来降低电流密度;Cu纳米棒还通过纳米棒单个顶部的局部电场集中诱导微腔内Li向内生长。Li沉积在微腔内的单个纳米棒上被很好地诱导;这种沉积在低放大倍率下显得很均匀(图8I,j)。因此,SEM结果支持了3DMN Cu CCs表现出与2.5DMN Cu CCs相同的向内生长特征的观点。即使在高沉积容量下,3DMN Cu的向内生长特性也保持良好。
由于3DMN Cu CCs可以在初始电化学循环中成功诱导Li的均匀向内生长,因此随着循环次数的增加,Li可能会在微腔内聚集。这样就可以将体积膨胀量降到最低,有效抑制死锂的积累。图9显示了100次电化学循环后2D和3DM Cu CCs以及与400次循环后的3DMN Cu CC的横截面。在2D Cu CC的情况下,厚厚的死锂层积聚到250μm的厚度;该死锂层包含无数的裂纹,并且该层与CC表面分层。相比之下,积聚在3DM Cu CC上的死Li层厚度仅为≈175 μm,形成的表面裂纹更少。对于在微腔内具有额外纳米棒的3DMN Cu CCs,在400次循环后积累的死锂层厚度仅为70 μm。死Li量越小,表示电化学沉积/剥离循环中的可逆性越大,导致锂枝晶的产生更少。
图9. 结构分层3D Cu CC的死锂积累和电化学表征。
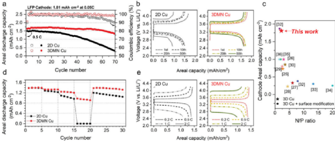
最后,在Li@Cu||LFP全电池中表征了结构分层的3D Cu CCs。如图10a所示,3DMN Cu在初始循环中的面放电容量比2D Cu高9.1%。循环60次后,2D Cu的CE降至94.0%,而3DMN Cu的CE保持在99%。此外,3DMN Cu CC 在70次循环后保持了80%的初始放电容量,而2D Cu仅在35次循环后保持了80%的初始放电容量。图10b显示随着循环的进行,3DMN Cu的过电位增量低于2D Cu的过电位增量,这与3DMN Cu的Cu||Li电池中的低过电位和低电荷转移电阻相一致。尽管3DMN Cu是纯Cu并且没有进行进一步的表面改性,但与之前的报道相比,即使在高负载、N/P比较低的LFP全电池中,3DMN Cu也表现出稳定的循环行为。本文还分析了2D Cu和3DMN Cu的倍率性能(图10d)。在3.5 mA cm−2以上,2D Cu完全失去了其放电容量,而3DMN Cu保留了其初始放电容量的72%。当工作电流密度降低到0.36 mA cm-2时(0.2 C),2D Cu的放电容量恢复。全电池表征结果证实,维度增加、结构分层更好的CC可以提高锂金属电池的电化学可逆性。
图10. 结构分层3D Cu CC的Li@Cu||LFP全电池表征。
【结论】
本文介绍了增加结构维度和分层的Cu CCs,可以提高锂金属沉积在负极的电化学可逆性,提高循环寿命。首先通过使用光刻图案表面模具进行电铸制造2.5D 微结构Cu CC。Li||Cu电池分析结果表明,在CC表面引入微腔阵列能使微腔内的Li颗粒聚集,抑制Li枝晶的形成。通过实验和分析研究了根据微腔大小的电化学行为,并确定具有平衡纵横比和深度为50 μm和20 μm的空腔是微结构内部Li聚集的最有效形状。通过在微腔内电沉积纳米棒进一步增加了结构复杂性。微腔内的纳米棒通过最大化表面积和增强Li+进入微腔的通量来快速降低电极电流密度,导致锂电沉积主要发生在微腔内。此外,引入了一种简单的制造方法,使用商业Cu微网格上纳米结构的简单单步电沉积轻松制造了微纳米结构的3D Cu。3D分层Cu显示出与光刻图案Cu相似的向内生长特性。编织的Cu网结构为微米级孔提供了优异的结构稳定性,而孔内形成的电沉积纳米结构诱导了Li的向内生长。3D分层结构的Cu||Li电池测试表明其循环寿命超过1300 h,是2D Cu的6倍。最后,在电流密度为0.90 mA cm−2(≈0.5 C)下测试了Li@Cu||LFP全电池,证实3DMN Cu保持80%初始容量的循环次数是2D Cu的两倍。总之,该研究表明,通过控制两个不同长度尺度上结构的几何布局来调控锂金属的成核点及其聚集,微结构和纳米结构的组合可以抑制枝晶的形成,并最终实现高性能的锂金属负极。
Inyeong Yang, Ji-hun Jeong, Jae Young Seok,* and Sanha Kim*,Structurally Tailored Hierarchical Cu Current Collector with Selective Inward Growth of Lithium for High-Performance Lithium Metal Batteries,Adv. Energy Mater. 2022.
https://doi.org/10.1002/aenm.202202321