从工作到社交活动,我们日常生活的方方面面都离不开互联网连接。万一互联网宕机会发生什么?断网又会给我们造成多大的损失呢?
一旦Facebook、推特、微信等主流社交社交宕机掉线,全世界都会陷入懊恼沮丧。那如果我们压根儿连不上互联网,会是什么感觉?面对全球互联网宕机的情况,很多人都会迷茫惶惑,而且许多人还会损失巨额金钱。
为探索互联网宕机的潜在经济损失,市场调研公司Merchant Machine深入研究了全世界多个国家在连接中断情况下到底会损失多少钱,估算了互联网企业遭遇互联网宕机时的每小时损失金额。
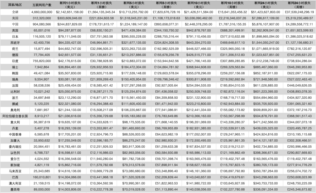
互联网宕机24小时可致全球经济损失370亿英镑
别说一天,仅仅一小时上不了网,都会产生不良影响。研究发现,60分钟无法接入网络空间会造成世界经济损失15亿英镑。10小时无法接入,损失金额上升至150亿英镑,24小时后,损失金额高达370亿英镑。
但世界上哪个地方在互联网大宕机中会遭遇最严重的经济影响呢?
1. 美国
美国拥有3.1亿互联网用户,一旦遭遇互联网全面宕机,其所面对的经济损失风险无疑全球第一。作为初创公司和全球科技公司扎堆的硅谷坐落的地方,24小时的互联网宕机可令美国付出超过50亿英镑的代价。
互联网用户数:312,320,000
断网1小时损失:£221,634,604
断网5小时损失:£1,108,173,019
断网10小时损失:£2,216,346,037
断网24小时损失:£5,319,230,489
2. 中国
中国人口数量14亿,其中超过9亿人使用互联网。如果遭遇10个小时的互联网宕机,这个东亚大国预计会损失17.87亿英镑。断网一整天,中国会遭受42.90亿英镑(约390亿人民币)的损失。
互联网用户数:904,080,566
断网1小时损失:£178,731,615.17
断网5小时损失:£893,658,077.31
断网10小时损失:£1,787,316,155.35
断网24小时损失:£4,289,558,772.11
3. 英国
如果经历全球互联网大宕机,英国会成为第三大苦主。仅仅一小时断网,英国的经济就会遭受6800万英镑的巨大损失。
互联网用户数:904,080,566
断网1小时损失:£178,731,615.17
断网5小时损失:£893,658,077.31
断网10小时损失:£1,787,316,155.35
断网24小时损失:£4,289,558,772.11
4. 日本
日本有1.16亿用户上网冲浪。如果该国掉线超过5小时,其经济遭受的损失将达2.88亿英镑。
互联网用户数:116,505,120
断网1小时损失:£57,751,064
断网5小时损失:£288,755,316
断网10小时损失:£577,510,633
断网24小时损失:£1,386,025,519
5. 西班牙
西班牙拥有超过4200万互联网用户,发生网络崩溃时受到的经济损失可排到世界第五。如果断网持续一天以上,西班牙经济将遭受11亿英镑的损失。
互联网用户数:42,400,756
断网1小时损失:£46,964,862
断网5小时损失:£234,824,309
断网10小时损失:£469,648,617
断网24小时损失:£1,127,156,680
6. 荷兰
作为全球幸福感指数最高的国家之一,荷兰遭受互联网宕机时也会经历巨大的损失。10个小时断网,荷兰经济将损失掉3.25亿英镑。
互联网用户数:15,877,494
断网1小时损失:£32,596,505
断网5小时损失:£162,982,525
断网10小时损失:£325,965,050
断网24小时损失:£782,316,121
7. 德国
德国人口8300万,是欧洲人口第二多的国家。如果遭遇互联网宕机5小时,德国有7700万互联网用户会受到影响,经济损失可达1.55亿英镑。
互联网用户数:77,794,405
断网1小时损失:£31,135,651
断网5小时损失:£155,678,257
断网10小时损失:£311,356,513
断网24小时损失:£747,255,631
8. 印度
印度位于南亚次大陆,网民数量7.55亿。仅仅一小时断网,印度的经济就会遭受高达3070万英镑的巨大损失。
互联网用户数:755,820,000
断网1小时损失:£30,788,929
断网5小时损失:£153,944,643
断网10小时损失:£307,889,286
断网24小时损失:£738,934,286
9. 瑞士
受影响最大的十个国家中排倒数第二的是瑞士。瑞士位于意大利、法国、德国、奥地利和列支敦士登之间,10个小时的互联网宕机可造成2.69亿英镑的经济损失。
互联网用户数:7,942,864
断网1小时损失:£26,932,957
断网5小时损失:£134,664,782
断网10小时损失:£269,329,564
断网24小时损失:£646,390,954
10. 韩国
韩国互联网用户数量超过4900万,位列互联网大宕机经济影响榜单的第十位。24小时的互联网宕机可致使韩国损失超过6.22亿英镑。
互联网用户数:49,421,084
断网1小时损失:£25,920,716
断网5小时损失:£129,603,578
断网10小时损失:£259,207,156
Ω网24小时损失:£622,097,175
如果互联网宕机一小时,亚马逊可能会损失3200万英镑。
互联网宕机影响的不仅仅是国家的经济。Merchant Machine调研了全球主流互联网企业,试图揭示互联网宕机情况下哪家企业遭受的经济损失最严重,这些企业各自预计会损失多少收入。
不出预料,在16个国家开展业务,售卖商品超过1200万种的全球最大在线市场平台亚马逊,会成为互联网宕机事件中收入损失最惨重的公司。据估测,只要全球互联网宕机24小时,亚马逊就会损失7.72亿英镑之多,相当于每小时损失3200万英镑,每分钟损失超过50万英镑(£536,111)。
谷歌母公司Alphabet在受互联网宕机影响企业排行榜上位列第二,中国电子商务网站京东排第三。
人类对互联网的依赖,意味着甚至是一秒钟的断网,都会给全球造成巨大的经济影响。随着这种依赖的加重,我们有必要探索互联网宕机对世界会造成怎样的影响。
研究方法
为算出全球互联网宕机的经济损失,Merchant Machine采用了Netblocks.org的工具分别计算出无网可用1小时、5小时、10小时和一天可能造成的损失。
为得出断网会致使企业损失多少收入,Merchant Machine查询各家公司的年收入,换算出断网一天、一小时、一分钟可能带给企业的经济损失。
信息来源
https://netblocks.org/cost/
https://en.wikipedia.org/wiki/List_of_countries_by_number_of_Internet_users
https://www.statista.com/statistics/578364/countries-with-most-instagram-users/
https://worldpopulationreview.com/country-rankings/facebook-users-by-country
https://www.statista.com/statistics/272014/global-social-networks-ranked-by-number-of-users/
https://www.statista.com/statistics/242606/number-of-active-twitter-users-in-selected-countries/
https://www.statista.com/statistics/289778/countries-with-the-most-facebook-users/
https://en.wikipedia.org/wiki/List_of_largest_Internet_companies
关键词:新兴技术;网络安全;成本节约