新同学 点击上方 蓝字 关注我哦~~
00
序言
本期为异动归因的最后一期,前两期中,小火龙和大家分享了「指标异动排查思路」,以及步骤中的核心环节「如何快速定位异常维度」。本期会和大家分享「针对不同类型指标,如何量化对大盘的贡献度」,下面以三个问题开启本期分享。
问题三:“「不同类型指标」指的是什么?量化方式会不同吗?”。
01
「加法型指标」贡献度拆解
「加法型指标」指不同维度值之间可直接累加,例如:页面pv。加法型指标计算相对简单,可采取「直接拆解法」计算贡献度。
① 加法型-直接拆解法
1、方法介绍
核心思想:贡献度 = 维度值绝对DIFF / 大盘绝对DIFF。
2、案例分析
某日大盘pv -520,拆解各年龄段对大盘降幅的贡献程度:
步骤一:[19-25]岁,pv -200。
步骤二:[19-25]岁,贡献度 = (-200) / (-520) = 38%。
3、方法总结
加法型可以精确的计算贡献度,同一维度下的维度值相加为100%。
02
「除法型指标」贡献度拆解
「除法型指标」指比值型指标,例如:ctr = 点击/展现。除法型相比加法型的计算复杂一些。需注意:在计算除法型指标时,需要同时考虑「指标变化」和「流量变化」。举个栗子:
对比周期
【大盘】ctr=1.4,【性别-男】ctr=1.7
当前周期
1、指标变化影响:【性别-男】ctr提升至2,会将大盘指标往上拉。
2、流量变化影响:【性别-男】ctr不变,但【性别-男】流量上涨,由于【性别-男】指标本身大于大盘,因此当其流量上涨时,同样会将大盘指标往上拉。
因此在计算除法型指标细分维度值贡献度的时候,一定要同时关注「指标变化」和「流量变化」。小火龙将分享两种计算贡献度方式,大家可以自行选择。
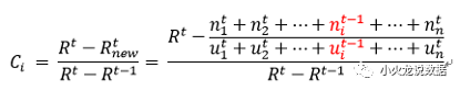
① 除法型-控制变量法
1、方法介绍
核心思想:仅将度量的维度值发生改变,其他维度值保持不变,从而评估仅在该维度值发生变化的时,对大盘变化的影响程度。和大家简单介绍一下流程:
这样解释可能比较抽象,仍然以ctr(点击/展现)为例,给大家举个栗子。
2、案例分析
步骤一:分别计算大盘和各维度值,过去和当前的ctr指标。
步骤二:分别计算各维度控制变量计算出来的Rt_new(ctr_new),以[1-18]为例:
步骤三:分别计算各维度指标变化的贡献度,贡献度加和≈100%。以[1-18]为例,变化贡献度为7%,其余年龄段如上图红色部分。
3、方法总结
该方式可以较好地量化相对值变化的贡献程度,由于分子分母均发生改变,因此即考虑了「指标变化」又考虑到了「流量变化」。
② 除法型-拆解因素法
1、方法介绍
核心思想:该方式相对第一种方式最大的优势在于,可以将贡献度拆解到「指标变化」还是「流量变化」所导致。其方式的核心为,当计算指标变化时,假设流量不发生变化;当计算流量变化时,假设指标不发生变化。和大家简单介绍一下流程:
含义说明
步骤一:计算维度值「指标变化」折合大盘绝对变化(假设流量没有变动)。
步骤二:计算维度值「流量变化」折合大盘绝对变化。先计算维度值指标相对大盘是更高还是更低,然后根据流量的变化,折合这个变化对于整体的影响。(选择历史指标进行计算,假设指标没有变动)。
步骤三:汇总「指标变化」和「流量变化」。
步骤四:计算维度值对大盘贡献度。
公式有些抽象,来个案例。
2、案例分析
仍然以指标ctr,年龄段维度为例,选择[1-18]岁区间变化对大盘贡献度。
步骤一:计算「指标变化」折合大盘,A = (1.053 - 1.101) × 1900 / 8560 = -0.011。
步骤二:计算「流量变化」折合大盘,B = (1.101 - 1.055) × (1900 - 1200) / 8560 = 0.004
步骤三:汇总「指标变化」和「流量变化」,S = A + B = -0.011 + 0.004 = -0.007
步骤四:计算[1-18]岁区间变化对大盘贡献度,C = -0.007 / (1.012 - 1.055) = 16%
3、方法总结
该方式的优势是可以计算出贡献程度,并可以将「指标变化」和「流量变化」进行有效拆解。此种方式较推荐大家使用。
03
乘法型指标贡献度拆解
「乘法型指标」指可以通过乘法拆解的指标,例如:详细页访问次数 = 首页DAU×详细页渗透×详细页访问次数。拆解的目的是为了解释,详细页访问次数的变化,后面三者分别贡献了多少?
乘法型指标贡献度拆解有两种方式,在实战中结果相差不大,大家可以选择其中一种方式进行应用。
① 乘法型-相对diff转化法
1、方法介绍
核心思想:将「指标绝对乘法」转变成「指标相对加法」,转变为加法型计算方式。
S = A × B
▼转化为
△S = △A + △B(△为相对DIFF)
推导过程可以参考下图(纯公式看着会头疼,可以直接跳到案例分析):
该方式是有一定前提的,通过上面这个表达式,大家应该也可以发现,只有在△x△y ≈ 0 的时候,此约等式才成立。因此,如果当两个相对DIFF的相乘较大时,此种方式会出现偏差。这点,大家在使用的过程中要注意一些。
2、案例分析
举一个栗子,大家量化看一下效果:
步骤一:计算整体指标及各因子的相对DIFF,详细页渗透 = 65% / 70% = -7.1%。(绿色为整体,蓝色相乘为绿色)
步骤二:根据相对DIFF计算对于整体的贡献程度,详细页渗透贡献度= -7.1% / 5.4% = -131%
3、方法总结
该方法相对简单,但如果遇到上述踩坑问题,可能各因子贡献度加和会偏离100%。
② 乘法型-log转化法
1、方法介绍
核心思想:将「乘法型指标」log转变成「加法型指标」。
S = A × B
▼转化为
logS = logA + logB
2、案例分析
举一个栗子,大家量化看一下效果:
步骤一:将乘法型指标进行log转化,分别计算出before和now的各个因素值。
步骤二:直接计算各因素的绝对DIFF,和对于整体指标变化的贡献度。首页DAU贡献度 = (4.04 - 4)/(4.66-4.64) = 180%
3、方法总结
该方法可以精确的计算贡献度,因子间贡献度加和为100%。
以上就是本期的内容分享,希望通过三期的「归因分析」专题,可以帮你对这个领域有一个更加清晰的认识。码字不易,如果觉得对你有一点点帮助,欢迎「关注」「点赞」「分享」哦,我会持续为大家输出优质的「原创内容」~~
END
【下期预告】下面几期「经验」类文章,会和大家体系化的分享「AB实验」,作为数据分析在其中所承担的角色。网络上有很多AB实验的内容,但是将AB实验从 实验设计→实验上线→实验分析→实验放量→实验归档,整套流程体系化说清楚的却不多,希望通过我的分享,可以帮助你捋顺整条链路。静待下期分享~~
【作者简介】互联网大厂数据分析专家,本系列「经验」类文章,会和大家分享一些近些年从事数据分析工作的一些心得体会,希望能够帮助到同行的同学,同时也渴望和大家在此沟通探讨。
往期推荐
点个在看你最好看