作者✏章鱼烧
编辑✂章鱼烧
同学们晚上好!
今天章鱼烧给大家分享一周内被询问次数最高频的数学题!
小伙伴快来动手试试,看看自己会犯“经典的错误”吗?
(今日题目由橙子友情赞助)
高频错题
经典题目
大家可以先试着做,再看后面答案噢!
题目来源
《660 数学一》第19题
被问频率
>30次
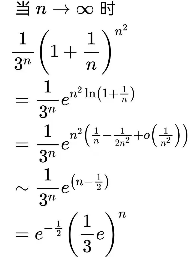
经典的错误
点击下方空白查看
出错原因
不能对底数进行等价代换(这一点很多小伙伴初学的时候都会不注意)
正确思路
对于此类存在指数不为常数的极限式,我们考虑将式子改写成e指数的形式。
正确解答
点击下方空白查看
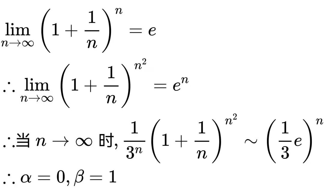
举一反三
通过上一道题目的学习,下面大家可以再看这道类似习题,也是先自己做再看后面的解答噢。
练习题目
标准的零分
点击下方空白查看
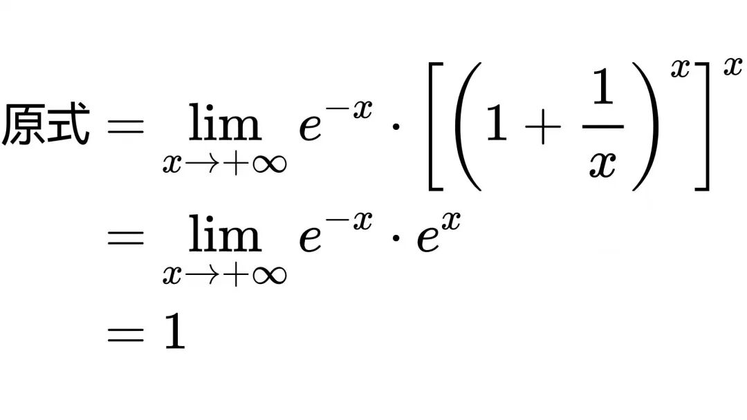
正解
点击下方空白查看
关于极限的计算,是高数里非常重要的部分,大家在学习的时候一定要非常注意等价代换的使用条件,不犯经典的错误。
同学们如果觉得这期【高频错误】对你有用的话,大家点个“赞”和“在看”告诉我们,后续定期更新~