作者✏章鱼烧
编辑✂章鱼烧
各位同学大家好,
高频错题到这周已经出了3期
章鱼烧在大家的留言和其他平台的评论中发现,还有许多小伙伴对于知识的理解不够透彻,所以今天出这期专门给大家答疑。
答疑助教章鱼烧开始上班!
题目
大家没看过之前文章的可以先点下面的文章去看经典错误和解法哦!
《一周被问30多次的数学题》
答疑环节
Q1
不理解为什么不能对底数进行等价替换?
A1
我们知道
那么是否有
这是无法得到的,原因在于进行了无穷多次等价代换,这是不被允许的!
经典错误1:无穷多次等价代换是经典的错误。
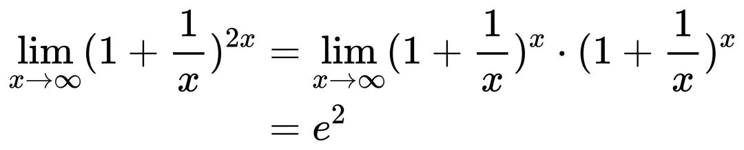
这里还会有同学有疑惑,这里是等于e呀,并不是等价代换呀,章鱼烧举个例子给大家说明:
那么是否
相信大家马上就能说出来这是错的,这结果显然等于e而不是1,出错的原因正是进行了无穷多次等价代换。
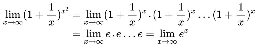
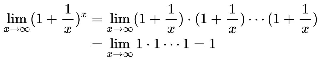
在举一反三中的练习题中,如果题目中没有e的负x次方,是不是就可以直接对底数进行等价无穷小代换了?
A2
上面给大家详细解释了为什么不能对底数进行等价代换,因为这是无穷多次等价,所以就算没有e的负x次方,也不能等价代换哦。
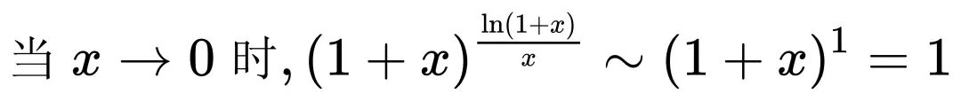
需要说明的是,我们上面一直说的都是无穷多次等价是错的,但有限次的等价是对的哦(如下图)!
Q3
经典题目正解中,改写成e指数后,为什么不能直接对ln(1+1/x)进行等价代换,只能使用泰勒公式?
A3
部分同学对等价代换的理解不到位,章鱼烧再给大家仔细讲解一下:
这是对的!这里就是当x→0时,将ln(1+x)等价为x。
或许就有同学问:为什么这里可以,而在经典错题里不行呢?
不急,大家再判断一下,这个等价代换对不对呢?
这里大家可能就迷惑了,
为什么啊?
凭啥e可以!
是我1+x不配了咯?
需要告诉大家的是,
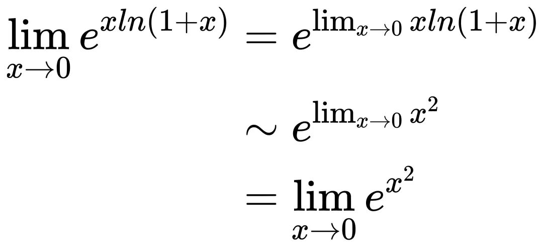
经典错误2:直接对指数进行等价代换!
严格的证明不在考研要求内,所以大家需要记住这个点。
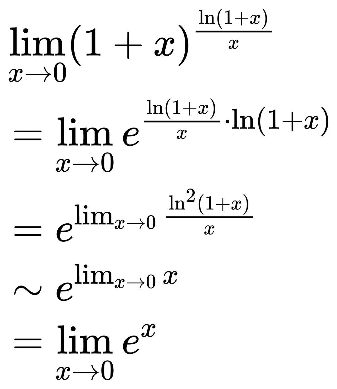
它的正确过程如下:
e指数为什么可以等价?
那为什么我们经常对e指数上做等价代换呢,最关键的地方是:e指数的极限可以把极限号放到指数上。
这才是它完整的过程,相信看到这里,大家一定对于等价代换有了更深的理解。
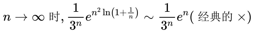
有了上面的基础,我们再回看,
为什么这道高频错题里,没法对e指数做等价代换呢?
原因在于,这里极限并不单单只是e指数,还带有了3^n,所以我们没法把极限号放到e的指数上,也就不能等价代换。
本期解答结束,章鱼烧希望通过这样的解答形式能解决同学们最核心的困惑!
如果大家觉得章鱼烧的答疑有帮到你的话,希望可以在右下角多多点赞,你们的点赞就是我最大的动力!
本生产队的驴这就去更新后续问答(呜呜)。