作者✏章鱼烧
编辑✂章鱼烧
各位同学大家好
今天章鱼烧给大家带来高频错题第二期的问答!
在解答之前,先问一下,有多少同学已经搞懂:“保号性”、“点和区间的关系”这两个知识点。
题目
讲解
大家没看过之前文章的可以先点下面的文章去看经典错误和解法哦!
《经错标零系列(二)》
答疑环节
Q1:
(x₀-δ,x₀)这个区间内是f(x)<f(x₀)吗?
A1:
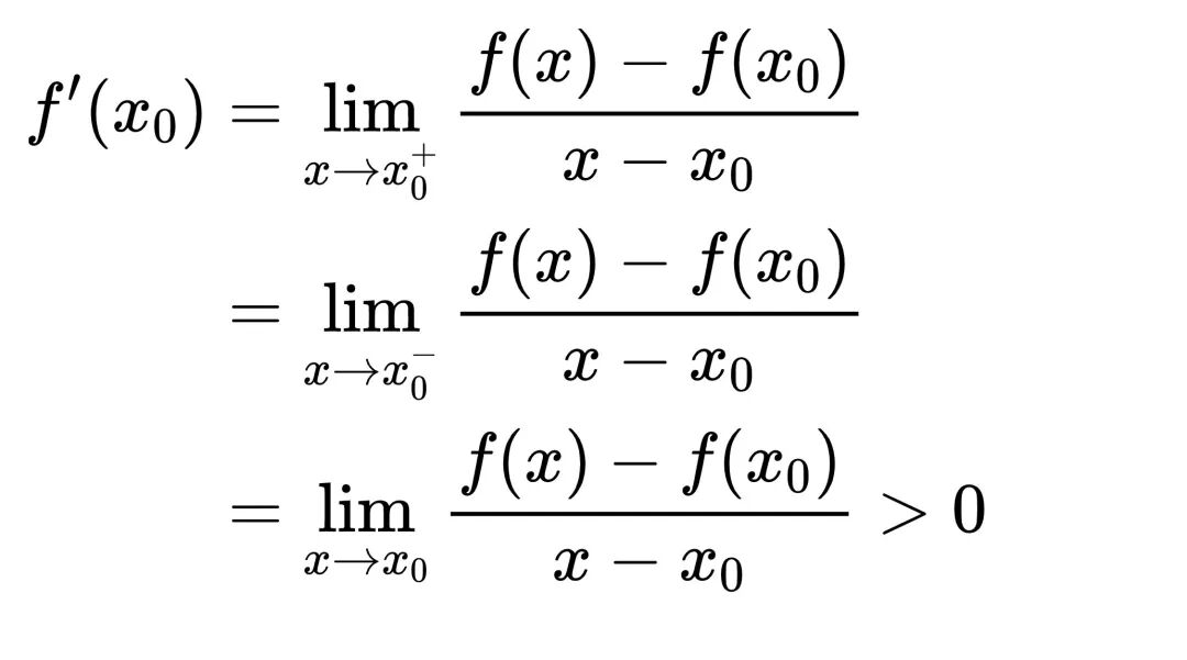
这个是对的哦,某一点导数值大于0,根据导数的定义有:
根据极限的保号性,我们可以得到:
Q2:
振荡就没有单调区间了吗?
A2:
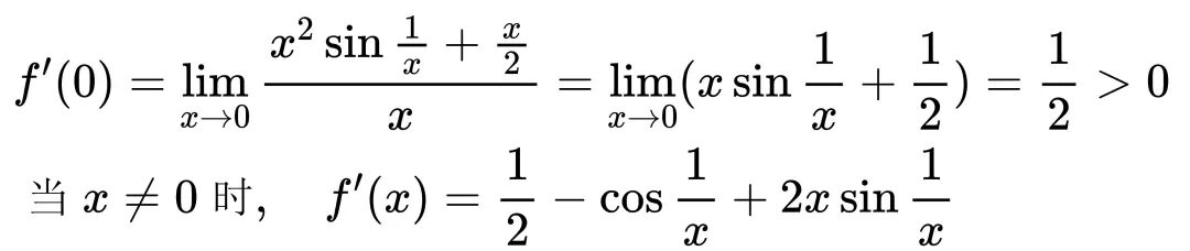
章鱼烧在之前的文章里给大家举的例子是这个:
当时章鱼烧举例的时候,不是特别恰当,因为这个函数的导数,在x→0时是大于等于0的。
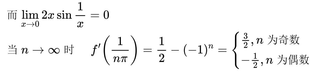
为了更好地说明,我们对上面所举的例子稍作变化:
也就说明,在x=x0的任意邻域内,导数值都是有正有负的,不存在单调区间。
Q3:
为什么在极限的保号性那里,不就是点推的区间吗?
为什么在这就不行呢?
A3:
这个问题问得挺好,这道题如果加一个条件,那么A就是对的了,什么条件呢?
如果加f(x)的导数连续这一条件
那么根据连续函数的局部保号性,由f'(x0)>0,可以推得在x0的邻域内,均有f'(x)>0,A选项也就正确了。
而经典错误(三)里使用极限的保号性正是因为题目里给的条件是,函数二阶导数连续。
今天这期大家主要要注意的地方是点和区间的关系:点不能推区间,还有不要和保号性使用混淆噢!
大家觉得章鱼烧的答疑有帮到你的话,多多点赞!
下期的题目比较经典,章鱼烧会以视频方式讲解,这不期待一下嘛。
戳“阅读原文”
报名武老师免费直