点击蓝字 关注我们
全文刊载于《前瞻科技》2022年第3期"集成电路科学与工程专刊,点击文末“阅读原文”获取全文。
李冰
-北京科华微电子材料有限公司首席专家
陈昕(通信作者)
-北京科华微电子材料有限公司董事长
集成电路芯片在社会生活及国民经济的发展中起着越来越重要的作用,同时芯片制造能力成为衡量一个国家科技水平的重要因素。受瓦森纳协定限制,中国无法引进极紫外(EUV)光刻技术,因此氟化氩(ArF)浸没式光刻与多重图形技术成为集成电路技术发展的关键,这也给多重图形技术中用的光刻材料提出了更高的要求。文章在回顾光刻技术发展的基础上,总结了多重图形技术的不同路线及其涉及的光刻材料,针对ArF浸没式光刻胶、图形收缩材料及三层工艺用旋涂碳材料、旋涂硅材料等先进光刻材料的技术发展与挑战进行分析。通过对技术发展的回顾与展望可以看出,光刻材料的开发已由原先设备推动的被动模式转变为材料创新与设备工艺协同发展的模式,特别是在中国设备受限的大环境下,更需要以材料的创新为驱动力,走出有中国特色的集成电路工艺路线。
先进光刻工艺及发展趋势
从5G、物联网、大数据、云计算到航空航天,芯片在社会生活及国民经济的发展中起着越来越重要的作用。运行速率、存储容量、功耗及成本作为芯片性能的代表性指标,与芯片的集成度息息相关。在摩尔定律的推动下,芯片的集成度不断提高,关键尺寸(Critical Dimension, CD)不断缩小,在这一过程中光刻技术的发展起着关键作用。
根据瑞利判据(公式(1)),可以从以下3方面提高光刻系统的分辨率。
一是降低曝光系统的波长。整个光刻设备与材料的发展是以波长不断变短为主线进行的,从以高压汞灯为光源的G线(436 nm)、I线(365 nm)光刻机到以氟化氪激光器为光源的KrF(248 nm)光刻机和以氟化氩激光器为光源的ArF(193 nm)光刻机及以软X射线为光源的极紫外(Extreme Ultra-Violet, EUV, 13.5 nm)光刻机,光刻系统的分辨率不断提升;同时与之对应的光刻材料也不断发展,光刻胶的发展经历了从传统的酚醛树脂/重氮奈醌(Novolac/DNQ)体系到化学放大体系(Chemical Amplify Photoresist, CAR),再到最新的金属氧化物光刻胶体系的过程。在这一过程中,通过材料与化学的创新,提升了光刻胶的分辨率;在芯片工艺节点的发展过程中,不断有新的材料、新的技术引入,材料、设备与工艺创新协同作用,将光刻系统的分辨率不断推向其物理极限(图1)。
式中,R为分辨率;k1为与工艺相关的参数,包括光刻胶性能、工艺制造能力及光学系统的解析度;λ为曝光波长;NA为镜头的数值孔径,NA=nsinθ。
BARC:Bottom Anti-Reflection Coating,底部抗反射涂层;CMP:Chemical Mechanical Polishing,化学机械抛光;TARC:Top Anti-Reflection Coating,顶部抗反射涂层;SOG:Spin on Glass,旋涂硅;SOC:Spin on Carbon,旋涂碳;NTD:Negative Tone Development,负显影。
图1 光刻材料在不同技术节点的引入
二是提高光刻机的数值孔径(Numerical Aperture, NA)。为了提高镜头的数值孔径及光场大小,光刻机厂商不断在镜头的设计、制造及组装环节引入新的技术,如非球面透镜、运动学光机组装等技术,将镜头的数值孔径从0.4(G线)、0.6(I线)、0.8(KrF)提高到0.93(ArF),而基于ArF发展而来的ArFi(ArF Immersion)技术则通过在镜头与光刻胶之间引入水将光刻系统的NA提高到了1.35。
三是降低与工艺相关的参数k1。k1是一个综合的参数,其中光刻胶的相关内容将在后文重点讨论。此处简单介绍一下光学系统解析度的提升,主要以分辨率增强技术(Resolution Enhancement Technique, RET)为代表,包括离轴照明(Off Axis Illumination, OAI)、相移掩膜(Phase Shift Mask, PSM)及光学临近效应修正(Optical Proximity Correction, OPC)等。
在上述技术的综合作用下,目前最为先进的EUV光刻系统,分辨率可达13 nm(NXE3600D)。而根据2021年发布的国际设备和系统路线图(Inter-national Roadmap for Devices and Systems Roadmap, IRDS),EUV光刻技术已在7 nm工艺制程引入,且在5 nm及以下成为关键层的主要技术,同时结合多重图形(Multi-Patterning, MP)技术将芯片制造推向3 nm和1.5 nm的工艺极限,如图2所示。
图2 IRDS 2021关于线条图形的技术路线预测
由于瓦森纳协定,中国无法引进EUV光刻技术,只能以ArF浸没式为主进行工艺开发,而ArF浸没式曝光机的单次曝光分辨率最低为38 nm,针对28 nm及以下工艺节点的开发需要采用多重图形技术。本文将从多重图形技术入手讨论先进工艺制程对光刻材料的需求及挑战,其中包括ArF浸没式光刻胶、CD缩小技术、三层工艺用旋涂碳材料与旋涂硅材料等,在此基础上对中国先进光刻材料的发展进行总结与展望。
多重图形技术研究进展
目前主流的多重图形技术主要基于两种双重图形化方式发展而来,分别是光照—刻蚀—光照—刻蚀(Litho-Etch-Litho-Etch, LELE)和自对准双重图形技术(Self-Aligned Double Patterning, SADP)。LELE形式的双重图形工艺进行重复可以得到(LE)3、(LE)4等多重图形技术,而将SADP工艺重复则可以得到自对准三重图形技术(Self-Aligned Triple Patterning, SATP)、自对准四重图形技术(Self-Aligned Quadruple Patterning, SAQP)等多重图形技术。
其中,LELE工艺将设计图形中密集的线条分解为两个稀疏的线条,通过两次曝光—刻蚀工艺来实现,通过这种方式实现了光刻图形间距(Pitch)尺寸的缩小,图3给出了其典型的工艺流程。理论上通过多次LE过程可以将图形间距不断缩小,通过计算机辅助设计,可以将原始图形设计中违反设计规则或难以量产的图形分解为简单的、易于量产的图形,由于其设计的灵活性,多用于逻辑制程中。但是LELE工艺的主要挑战是多次LE间的套刻精度、关键尺寸均匀性(Critical Dimension Uniformity, CDU)控制及由多次光刻工艺引入的成本提高。
图3 LELE工艺流程示意图
图4给出了SADP工艺示意图。首先作出尺寸较大的辅助图形(Mandrel),然后利用沉积工艺在辅助图形周围形成侧墙(Spacer),实现图形间距的缩小,再利用侧墙作为掩膜实现图形的转移。利用隔离层围绕辅助图形的特点实现了自对准,具有较好的套刻宽容度。工艺过程中只用到一次关键光刻步骤,同时刻蚀次数相对较少,具有工艺简单、成本低的优点。但受限于其本征技术特点,只能用于结构简单的图形,因此最早在存储器工艺中应用,近年来在逻辑制程的金属层中也有应用。
图4 SADP工艺示意图
LELE与SADP有各自的特点及适用场景,因此对技术路线的选择更多是从器件的设计与工艺整合的角度出发,结合前层工艺特点,从减小工艺复杂度及提高CDU等方面综合考虑。但是无论LELE还是SADP都具有较高的工艺复杂度,对光刻工艺中的材料提出了更高的要求,下面重点分析多重图形技术对光刻材料的需求及挑战。
多重图形技术用光刻材料的技术挑战
光刻材料的发展是以曝光波长的缩短为主线进行的,随着曝光波长的缩短,光刻工艺的CD不断变小,对光刻胶的性能提出了一系列挑战:一是树脂的透光性,为了实现垂直的形貌,需要光刻胶成膜树脂在曝光波长下具有良好的透光性,这也是光刻胶树脂从酚醛树脂、对羟基苯乙烯改性树脂变为丙烯酸类树脂的原因;二是感光速度的提升,波长变短,意味着单个光子的能量变大,相同的能量密度下光刻胶可用的光子数目变少,因此需要光刻胶能更有效地利用有限的光子,这也是KrF及ArF光刻胶采用化学放大机理的原因;三是随着CD的变小,光刻胶中的随机(Stochastic)过程效应越来越明显,这主要体现在边缘粗糙度(Line Edge Roughness, LER)变差,需要通过配方优化,降低光致产酸剂(PAG)的扩散长度来改善,但光致产酸剂的扩散长度的降低又影响了光刻胶的感光速度;四是随着CD的变小,图形倒塌(Pattern Collapse)成为影响工艺的主要因素,这限制了光刻胶图形的宽高比(Aspect Ratio),需要降低光刻胶膜厚来确保光刻胶形貌的稳定;五是由于NA的提高也是分辨率提升的主要推动力之一,根据公式(2),NA的提升引起了焦深(Depth of Focus, DOF)的降低,需要降低光刻胶膜厚以达到所需的工艺窗口。最后两个挑战都涉及光刻胶的厚度变薄,而厚度变薄则对光刻胶的抗刻蚀能力提出了挑战。
式中,k2为工艺相关的参数。
3.1 ArF光刻胶
随着曝光波长由248 nm变为193 nm,由于苯环在193 nm处有特征吸收现象,传统的酚醛树脂及对羟基苯乙烯树脂不再适用,国际商业机器公司(IBM)的研究人员最早提出了基于丙烯酸酯体系(图5)的化学放大光刻胶,最初被应用于电子束光刻,后来被证明在193 nm处有良好的透光性,但由于其抗刻蚀能力较差,在早期主要被用于ArF光刻机的验证。根据日本电气(NEC)的工程师Ohnishi的研究,树脂的抗刻蚀能力与其结构中的碳、氢、氧比例有关,碳含量越高,其抗刻蚀能力越强,因此研究人员提出了图6所示的以降冰片烯为主体,在侧链上引入不同保护基团的树脂体系,由于降冰片烯的多元环结构,其碳含量相比第一代ArF光刻胶树脂有了明显的提升。随着ArF光刻技术的发展,CD不断减小,光刻胶显影后的缺陷成为影响其使用的主要原因,导致显影后缺陷的主要因素在于:一方面树脂脱保护反应后的溶解速度偏低,无法快速溶解;另一方面在于ArF光刻胶树脂的疏水性使其与显影液的浸润性较差,因此第三代ArF光刻胶树脂采用了混合路线,一部分单体采用丙烯酸树脂,在其侧链上引入金刚烷类高碳氢比的基团提高其抗刻蚀性;另一部分单体引入内酯结构与马来酸酣,在光酸的催化下生成羧酸,提高了体系的溶解速度与亲水性(图7)。
图5 第一代ArF光刻胶树脂(MAA/MMA/tBAMA)
图6 第二代ArF光刻胶树脂(降冰片烯类树脂)
图7 第三代ArF光刻胶树脂(混合类)
随着ArF光刻技术由干法向湿法的转变,光刻胶在曝光过程中直接与水接触,这对光刻胶提出了两个挑战:一是有较大的动态接触角,可以在曝光过程中完成水的快速注入与吸取,同时不能有残留水渍;二是光刻胶中的组分特别是光致产酸剂和添加剂不能被水溶出,一旦被溶出将会污染曝光系统。早期由干法向湿法的转变主要通过引入一层疏水的顶部涂层(Top Coat)来实现接触角及低溶出的要求,但顶部涂层的引入增加了工艺复杂度及成本。目前主流的浸没式光刻胶为无顶部涂层(Topcoatless)技术,主要是在光刻胶中加入了一种如图8所示的含氟的添加剂嵌入阻挡层(Embed Barrier Layer, EBL),该添加剂在前烘时一方面可以扩散到光刻胶表面,自发形成疏水层,降低顶部涂层的工艺复杂度;另一方面通过提高PAG分子的空间位阻,采用将PAG通过反应接枝在树脂侧链的方法降低其被水溶出的概率。
图8 ArF浸没式光刻胶中含氟添加剂结构
随着ArFi光刻技术的不断发展,CD越来越小,在这一过程中,光刻胶面临着分辨率、线条粗糙度、感光速率困境(RLS Trade Off)。其中,R代表Resolution,即光刻胶的分辨率;L代表LWR(Line Width Roughness),即线宽粗糙度;S代表Sensitivity,即光刻胶的感光速度。这一困境指的是这3个参数是相互作用的,无法同时达到最优。如前所述,通过降低光致产酸剂的扩散长度,可以有效地改善LWR,同时得到较好的分辨率,但不可避免地会引起感光速度的降低。改善感光速率困境可以从两方面考虑。一是改变光刻胶材料的本征特性,降低光刻胶体系的不确定性。对树脂而言,可以通过聚合方法及工艺的优化降低树脂的分子量分布,使分子量更为均匀,进而降低在反应过程中受随机过程的影响程度。对PAG而言,可以通过结构设计及优化,提高其量子效率,使得在相同的能量密度下,有更多的酸产生,减少随机过程的影响。二是通过光刻后处理的方式进行修正,如重点优化光刻胶的分辨率及感光速度,通过光刻处理来降低LWR与LER,这其中包括特定的显影冲洗工艺、光刻后续工艺处理及结合下面讨论的化学收缩工艺优化。
3.2 图形收缩材料与工艺
第2部分中介绍的多重图形技术,其主要作用是可以实现图形间距的缩小,线条或孔的尺寸则很难通过多重图形技术缩小,而通过本节讨论的图形收缩工艺,则可以实现关键转型的CD的减小,结合多重图形技术实现图形间距和CD的同时减小。
图形收缩技术是在光刻系统达到极限分辨率而新的光刻技术尚未成熟时开发的工艺,根据机理可以分类为物理收缩与化学收缩,其中物理收缩包括热回流(Thermal Flow)与等离子体辅助(Plasma Assisted),其中热回流适用于接触孔(Contact Hole, C/H)与沟槽(Trench)图形,利用材料的热流动实现图形收缩;等离子体辅助则适用于线条(Line)的收缩。化学收缩同样分为适用于孔和沟槽的收缩及线宽的收缩。
针对孔与沟槽的收缩的主要原理是在原图形的基础上进行涂层处理,利用原图形的化学组成引发涂层的化学反应,使材料在水平方向生长,达到侧壁增厚,孔或沟槽尺寸缩小的效果。1990年,西门子公司的科学家开发了一种光刻胶线条化学放大(Chemical Amplification of Resist Line, CARL)技术,利用I线光刻胶通过化学图形收缩实现了150 nm的沟槽,其机理是在光刻胶树脂中引入马来酸酐,在正常曝光后用含胺类添加剂的水溶液进行处理。图9所示为胺类添加剂与马来酸酐水解后的酸反应,以类似化学沉积的方式实现侧壁的增长,通过控制CARL处理的时间可以控制侧壁增长的程度,进而控制最终图形的尺寸。此外,在R2中引入硅氧烷可以在原图形表面及侧壁形成聚硅烷,提高光刻胶的抗干法刻蚀能力。
图9 CARL反应机理
针对CARL体系需要特殊溶液进行处理的问题,安智公司的科学家在2000年开发了利用化学收缩来实现分辨率增强(Resolution Enhancement Lithography Assisted by Chemical Shrink, RELACS)工艺,如图10所示。该工艺适用于采用化学放大机理的光刻胶,通过在原图形上涂布RELACS试剂,在加热条件下原图形中的酸扩散到RELACS材料中引起交联,实现侧壁的增长,即沟槽的收缩,该研究展示了用KrF光刻胶结合RELACS材料实现100 nm C/H的工艺。Terai等将RELACS材料扩展到193 nm光刻中,通过优化RELACS材料的交联反应与光刻胶中反应物扩散速率实现了10~50 nm可控的沟槽收缩。
图10 RELACS工艺示意图
针对线条收缩的代表工艺是Dow Chemical公司的研究人员开发的化学修饰涂层(Chemical Trimming Overcoat, CTO)工艺,如图11所示。该工艺首先利用光刻得到较大尺寸的图形,然后进行CTO涂层处理,在加热条件下,CTO材料产生H+,H+扩散到原图形中引起树脂的脱保护反应,最后经过显影工艺将脱保护的树脂溶解,实现了线条图形的收缩。该工艺可以通过控制CTO处理的温度来控制反应程度,实现对最终图形的尺寸的控制。
图11 CTO工艺示意图
此外,Global Foundry公司的Uzo博士提出了一种亲水涂层(Hydrophilic Overlayer, HOL)的工艺,如图12所示。首先进行光刻胶涂布、烘烤及曝光,曝光后在光刻胶上涂布一层低玻璃化转变温度的亲水性涂层,然后在加热的情况下,该亲水性涂层扩散到曝光区及部分未曝光区。由于该材料的玻璃化转变温度较低,在光刻胶中起了增塑剂的作用,可以将整个光刻胶体系的玻璃化转变温度降低,因此提高了曝光区产生的酸的扩散长度,进而催化更多的树脂发生脱保护反应,经显影后形成比原图形更细的线条。
图12 HOL工艺示意图
3.3 三层工艺用光刻材料
如前文讨论,随着ArFi光刻工艺的发展,CD不断变小,光刻胶膜不断变薄,这给光刻胶的抗刻蚀能力提出了更高的要求,而3层工艺的推出则将传统的光刻胶所代表的光与刻两个特性进行了功能上的分离,即光刻胶只关乎与光学相关的性能,如分辨率、工艺窗口、感光速度等,而与刻蚀相关的功能则由硬掩膜(Hard Mask, HM)或底部涂层(Underlayer)来实现。如图13所示,3层(Trilayer)工艺包括光刻胶层、SOG和SOC。首先通过光刻将图形从掩膜板转移到光刻上,再通过选择性刻蚀将光刻胶中的图形转移到SOG上,然后利用SOG与SOC的刻蚀选择比将图形从SOG转移到SOC上,最后利用SOC作为刻蚀掩膜将图形转移到基底上。在这一工艺中,从光刻胶到SOG,再到SOC,材料的膜厚逐渐变厚,刻蚀后的图形也逐渐变深,也称为刻蚀放大工艺。
图13 3层工艺流程示意图
3.3.1 旋涂硅材料
旋涂硅材料除了在刻蚀工艺中提供抗刻蚀能力外,还需要具备抗反射性能。由于ArFi的NA较大,NA的提升使得光刻胶表面的入射光角度变大(>44°),入射角度变大更易于在界面发生反射;同时为了提高系统的光学分辨率,在ArFi中采用了偏振成像(Polarized Imaging)技术。偏振成像的引入使得光刻胶与SOG界面的反射更为复杂,X方向和Y方向的偏振引起的界面反射行为出现了差异。因此,需要在材料的设计过程中针对不同的折射率、消光系数、膜厚进行模拟,计算出最佳参数,然后进行材料的合成与验证。
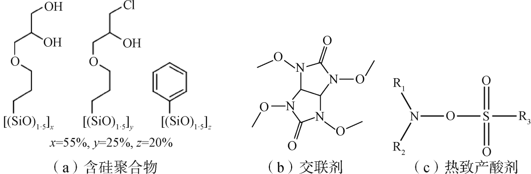
SOG一般由3种组分构成,如图14所示。一是含硅的聚合物,该聚合物上含有吸光基团(苯环)、交联官能团(羟基)及透光性单元;二是交联剂,根据聚合物结构不同,交联反应的机理也不同;三是热致产酸剂,在加热条件下引发交联剂与聚合物的交联反应。
图14 SOG的组成
3.3.2 旋涂碳材料
旋涂碳材料一般是含碳量较高的高分子组合物,同时需具备一定的吸光特性,与SOG共同作用实现对入射角度较大的光线及偏振光的反射率控制在1%以内。旋涂碳材料的配方主要包括含碳量较高的树脂(碳含量>85%)、交联剂、热致产酸剂。其中,树脂主体结构包括奈环、蒽环、富勒等芳香环结构(图15),其交联剂与SOG交联剂类似,以胺基树脂为主,热致产酸剂则以碘鎓盐或硫鎓盐为主。
图15 典型SOC树脂结构
三层工艺材料的设计挑战主要包括以下几点:①光刻胶、SOG、SOC的光学参数(折射率与消光系数)的匹配,以达到界面反射率<1%的要求;②3种材料的刻蚀选择比的优化,即通过主体树脂的元素含量的变化,达到最优刻蚀选择比;③材料的相容性,特别是SOG材料与光刻胶的相容性,需要考虑SOG材料对光刻形貌的影响。
中国多重图形技术用光刻材料发展建议
近年来,中国在集成电路芯片制造技术上发展迅速,以中芯国际为代表的逻辑制程已实现14 nm工艺的量产;以长江存储为代表的3D NAND存储芯片制程通过其创新的Xtacking 3.0 X3-9070技术已实现232层产品技术突破;以长鑫存储为代表的DRAM存储芯片制程已实现19 nm工艺的量产。以上进展表明多重图形技术已在中国先进工艺制程中大量应用。与之对应的多重图形技术用光刻材料则绝大部分依赖进口。一方面ArFi光刻胶、图形收缩材料、SOC、SOG及 BARC等材料均处于研发及客户测试阶段,先进光刻材料的开发已成为制约中国集成电路制造自主发展的瓶颈。另一方面,先进光刻材料是一个复杂的配方系统,其开发过程中面临着资本投入高、技术难度大、应用场景复杂、上游产业欠缺等挑战。从技术发展及产业链安全的角度出发,有如下建议。
(1)中国集成电路芯片设计与制造势必要走自主创新之路,在这一过程中,需要根据制造工艺的发展开发相应的光刻材料,同时以材料创新推动芯片制造的发展,如无顶部涂层ArFi光刻胶、高碳含量旋涂碳材料、工艺稳定可控的图形收缩材料等。
(2)在光刻材料开发过程中引入模拟计算,通过高通量模拟计算提高材料设计与开发的速度,利用计算化学深入理解光刻材料的作用机理,建立材料结构与性能的构效关系,以化学机理为基础进行材料的创新。
(3)在光刻材料开发的过程中关注上游原料的国产化,如单体、聚合物、光致产酸剂、溶剂等。通过上下游合作开发,提升产业链技术水平,建立安全可靠的全产业链供应系统。
(4)产学研结合,充分发挥高校及研究院所的理论研究与材料创新能力,利用企业对产业需求的理解及工程化放大的优势进行光刻材料的快速开发与产业化,重点关注工程化放大技术,如光刻材料的提纯工艺、生产过程中金属离子与微小颗粒的控制技术、生产自动化技术等。
(5)建立具有公信力的光刻材料评估与测试平台,有效地利用资源,减少重复投资。同时引导企业间相互协作,差异化发展,避免同质化竞争。
结束语
回顾ArFi光刻工艺及多重图形技术的技术路线可以发现,光刻技术的持续发展与设备、工艺及材料的创新密不可分,材料的创新使得新工艺成为可能,新工艺又可以将设备的性能向极限推进。除了备受关注的光刻胶,图形收缩材料、用于降低LER的光刻后清洗材料、旋涂硅材料、旋涂碳材料及抗反射材料等都是先进工艺节点必不可少的材料,也是充满创新机遇的领域。在EUV技术受限的情况下,中国应加大对集成电路材料与工艺创新的投入,在先进光刻材料领域布局,将设备、工艺与材料有机结合,开拓出自主可控的集成电路制造工艺。
END
往期推荐
关于本刊
《前瞻科技》是由中国科学技术协会主管,科技导报社主办、出版的科技智库型自然科学综合类学术期刊,于2022年创刊。
办刊宗旨:围绕国家重大战略任务、科技前沿重要领域和关键核心技术,刊载相关研究成果的综述和述评,促进学术交流,推动科技进步,服务我国经济社会高质量发展。
常设栏目有“前瞻”“综述与述评”“聚焦”“论坛”“文化”“书评”等,其中“前瞻”“综述与述评”为固定栏目,其他为非固定栏目。
期刊官网:www.qianzhankeji.cn
长按识别二维码关注我们
点击“阅读原文”直达期刊官网,查看全文精彩内容